Journal of Agricultural Science and Technology ›› 2024, Vol. 26 ›› Issue (5): 20-29.DOI: 10.13304/j.nykjdb.2024.0190
• BIOTECHNOLOGY & LIFE SCIENCE • Previous Articles Next Articles
Mingdi CHEN1,2(), Guihua HU2, Haiwen ZHANG2(
), Wangtian WANG1(
)
Received:
2024-03-13
Accepted:
2024-03-26
Online:
2024-05-15
Published:
2024-05-14
Contact:
Haiwen ZHANG,Wangtian WANG
陈明迪1,2(), 胡桂花2, 张海文2(
), 王旺田1(
)
通讯作者:
张海文,王旺田
作者简介:
陈明迪 E-mail:251631622@qq.com
基金资助:
CLC Number:
Mingdi CHEN, Guihua HU, Haiwen ZHANG, Wangtian WANG. Bioinformatics and Expression Pattern Analysis of Rice RR Gene Family[J]. Journal of Agricultural Science and Technology, 2024, 26(5): 20-29.
陈明迪, 胡桂花, 张海文, 王旺田. 水稻RR基因家族生物信息学及表达模式分析[J]. 中国农业科技导报, 2024, 26(5): 20-29.
Add to citation manager EndNote|Ris|BibTeX
URL: https://nkdb.magtechjournal.com/EN/10.13304/j.nykjdb.2024.0190
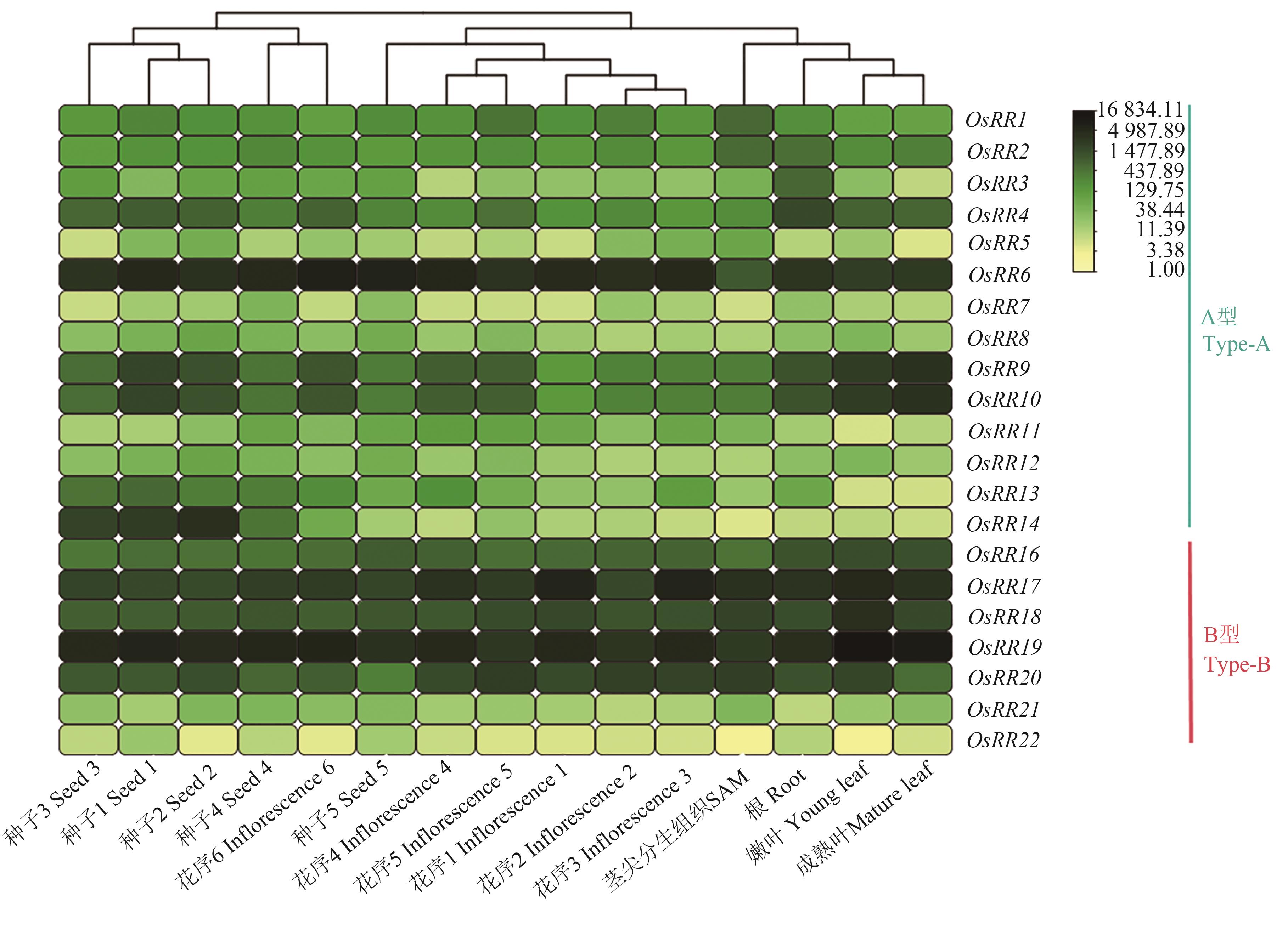
Fig. 4 Differential analysis of tissue-specific expression of rice RR genesNote: The colors in the figure indicate the expression level of the genes, the darker the color the higher the expression.
元件 Component | 序列 Sequence | 数量 Number | 功能 Function | 类别 Category |
---|---|---|---|---|
G-box | CACGTG | 116 | 参与光反应的顺式作用调控元件 Cis-acting regulatory element involved in light responsiveness | 光响应型 Light-responsive |
Box 4 | ATTAAT | 36 | 参与光响应的保守DNA模块 A conserved DNA module involved in light responsiveness | |
GT1-motif | GGTTAA | 31 | 光感应元件 Light-responsive element | |
TCT-motif | TCTTAC | 19 | 光响应元件的一部分 Part of a light-responsive element | |
Sp1 | GGGCGG | 16 | 光感应元件 Light-responsive element | |
GATA-motif | GATAGGA/AAGGATAAGG | 14 | 光响应元件的一部分 Part of a light-responsive element | |
TCCC-motif | TCTCCCT | 13 | 光响应元件的一部分 Part of a light-responsive element | |
Box Ⅱ | ACACGTAGA/CCACGTGGC | 7 | 光感应元件 Light-responsive element | |
I-box | GTATAAGGCC | 6 | 发光元件的一部分 Part of a photoresponsive element | |
AE-box | AGAAACTT | 5 | 光响应模块的一部分 Part of a photoresponsive module | |
MRE | AACCTAA | 4 | 参与光响应的 MYB 结合位点 MYB binding site involved in light responsiveness | |
ACE | CTAACGTATT | 3 | 参与光响应的顺式作用元件 Cis-acting element involved in photoresponsiveness | |
3-AF1 binding site | TAAGAGAGGAA | 3 | 光响应元件 Light-responsive element | |
ABRE | GCCGCGTGGC | 109 | 参与光响应性的顺式作用调控元件 Cis-acting regulatory element involved in light responsiveness | 激素响应型 Hormone-responsive |
TGACG-motif | TGACG | 44 | 涉及茉莉酸响应性的顺式作用调控元件 Cis-acting regulatory element involved in jasmonic acid responsiveness | |
CGTCA-motif | CGTCA | 44 | ||
AuxRR-core | GGTCCAT | 10 | 参与生长素反应的顺式调节元件 cis-Regulatory element involved in growth hormone responsiveness | |
TGA-element | AACGAC | 6 | ||
TCA-element | CCATCTTTTT | 9 | 参与水杨酸反应的顺式作用元件 Cis-acting element involved in salicylic acid responsiveness | |
P-box | CCTTTTG | 7 | 参与赤霉素反应的顺式作用元件 Cis-acting element involved in gibberellin responsiveness | |
GARE-motif | TCTGTTG | 6 | ||
TATC-box | TATCCCA | 1 |
Table 1 Cis-acting elements of promoters of rice RR genes
元件 Component | 序列 Sequence | 数量 Number | 功能 Function | 类别 Category |
---|---|---|---|---|
G-box | CACGTG | 116 | 参与光反应的顺式作用调控元件 Cis-acting regulatory element involved in light responsiveness | 光响应型 Light-responsive |
Box 4 | ATTAAT | 36 | 参与光响应的保守DNA模块 A conserved DNA module involved in light responsiveness | |
GT1-motif | GGTTAA | 31 | 光感应元件 Light-responsive element | |
TCT-motif | TCTTAC | 19 | 光响应元件的一部分 Part of a light-responsive element | |
Sp1 | GGGCGG | 16 | 光感应元件 Light-responsive element | |
GATA-motif | GATAGGA/AAGGATAAGG | 14 | 光响应元件的一部分 Part of a light-responsive element | |
TCCC-motif | TCTCCCT | 13 | 光响应元件的一部分 Part of a light-responsive element | |
Box Ⅱ | ACACGTAGA/CCACGTGGC | 7 | 光感应元件 Light-responsive element | |
I-box | GTATAAGGCC | 6 | 发光元件的一部分 Part of a photoresponsive element | |
AE-box | AGAAACTT | 5 | 光响应模块的一部分 Part of a photoresponsive module | |
MRE | AACCTAA | 4 | 参与光响应的 MYB 结合位点 MYB binding site involved in light responsiveness | |
ACE | CTAACGTATT | 3 | 参与光响应的顺式作用元件 Cis-acting element involved in photoresponsiveness | |
3-AF1 binding site | TAAGAGAGGAA | 3 | 光响应元件 Light-responsive element | |
ABRE | GCCGCGTGGC | 109 | 参与光响应性的顺式作用调控元件 Cis-acting regulatory element involved in light responsiveness | 激素响应型 Hormone-responsive |
TGACG-motif | TGACG | 44 | 涉及茉莉酸响应性的顺式作用调控元件 Cis-acting regulatory element involved in jasmonic acid responsiveness | |
CGTCA-motif | CGTCA | 44 | ||
AuxRR-core | GGTCCAT | 10 | 参与生长素反应的顺式调节元件 cis-Regulatory element involved in growth hormone responsiveness | |
TGA-element | AACGAC | 6 | ||
TCA-element | CCATCTTTTT | 9 | 参与水杨酸反应的顺式作用元件 Cis-acting element involved in salicylic acid responsiveness | |
P-box | CCTTTTG | 7 | 参与赤霉素反应的顺式作用元件 Cis-acting element involved in gibberellin responsiveness | |
GARE-motif | TCTGTTG | 6 | ||
TATC-box | TATCCCA | 1 |
元件 Component | 序列 Sequence | 数量 Number | 功能 Function | 类别 Category |
---|---|---|---|---|
ARE | AAACCA | 47 | 厌氧诱导所必需的顺式调节元件 Cis-regulatory elements essential for anaerobic induction | 胁迫响应型 Stress-responsive |
MBS | CAACTG | 19 | 参与干旱诱导的 MYB 结合位点 MYB binding site involved in drought induction | |
GC-motif | CCCCCG | 17 | 参与缺氧特异性诱导的增强子样元件 Enhancer-like elements involved in hypoxia-specific induction | |
LTR | CCGAAA | 10 | 参与低温反应的顺式作用元件 Cis-acting elements involved in low temperature responsiveness | |
TC-rich repeats | GTTTTCTTAC | 4 | 参与防御和应激反应的顺式作用元件 Cis-acting elements involved in defense and stress responses | |
CAT-box | GCCACT | 18 | 与分生组织表达有关的顺式调控元件 Cis-acting regulatory elements associated with meristematic tissue expression | 生长发育响应 Growth and Development Response |
O2-site | GATGA(C/T)(A/G)TG(A/G) | 17 | 参与调节酵母蛋白质代谢的顺式调节元件 Cis-regulatory elements involved in the regulation of yeast protein metabolism | |
Circadian | CAAAGATATC | 7 | 参与控制昼夜节律的顺式调节元件 Cis-regulatory elements involved in the control of circadian rhythms | |
RY-element | CATGCATG | 3 | 参与种子特异性调控的顺式调控元件 Cis-acting regulatory elements involved in seed-specific regulation | |
GCN4-motif | TGAGTCA | 3 | 参与胚乳表达的顺式调控元件 cis-acting regulatory elements involved in endosperm expression | |
MBSI | aaaAaaC(G/C)GTTA | 2 | 参与类黄酮生物合成基因调控的 MYB 结合位点 MYB binding site involved in flavonoid biosynthesis gene regulation | |
NON-box | AGATCGACG | 1 | 参与韧皮部特异性激活的顺式作用调控元件 Cis-acting regulatory element involved in phloem-specific activation | |
MSA-like | TCAAACGGT | 1 | 参与细胞周期调控的顺式作用调控元件 Cis-acting regulatory element involved in cell cycle regulation | |
Motif I | gGTACGTGGCG | 1 | 顺式作用调控元件根特异性 Cis-acting regulatory element root specificity |
Table 1 Cis-acting elements of promoters of rice RR genes
元件 Component | 序列 Sequence | 数量 Number | 功能 Function | 类别 Category |
---|---|---|---|---|
ARE | AAACCA | 47 | 厌氧诱导所必需的顺式调节元件 Cis-regulatory elements essential for anaerobic induction | 胁迫响应型 Stress-responsive |
MBS | CAACTG | 19 | 参与干旱诱导的 MYB 结合位点 MYB binding site involved in drought induction | |
GC-motif | CCCCCG | 17 | 参与缺氧特异性诱导的增强子样元件 Enhancer-like elements involved in hypoxia-specific induction | |
LTR | CCGAAA | 10 | 参与低温反应的顺式作用元件 Cis-acting elements involved in low temperature responsiveness | |
TC-rich repeats | GTTTTCTTAC | 4 | 参与防御和应激反应的顺式作用元件 Cis-acting elements involved in defense and stress responses | |
CAT-box | GCCACT | 18 | 与分生组织表达有关的顺式调控元件 Cis-acting regulatory elements associated with meristematic tissue expression | 生长发育响应 Growth and Development Response |
O2-site | GATGA(C/T)(A/G)TG(A/G) | 17 | 参与调节酵母蛋白质代谢的顺式调节元件 Cis-regulatory elements involved in the regulation of yeast protein metabolism | |
Circadian | CAAAGATATC | 7 | 参与控制昼夜节律的顺式调节元件 Cis-regulatory elements involved in the control of circadian rhythms | |
RY-element | CATGCATG | 3 | 参与种子特异性调控的顺式调控元件 Cis-acting regulatory elements involved in seed-specific regulation | |
GCN4-motif | TGAGTCA | 3 | 参与胚乳表达的顺式调控元件 cis-acting regulatory elements involved in endosperm expression | |
MBSI | aaaAaaC(G/C)GTTA | 2 | 参与类黄酮生物合成基因调控的 MYB 结合位点 MYB binding site involved in flavonoid biosynthesis gene regulation | |
NON-box | AGATCGACG | 1 | 参与韧皮部特异性激活的顺式作用调控元件 Cis-acting regulatory element involved in phloem-specific activation | |
MSA-like | TCAAACGGT | 1 | 参与细胞周期调控的顺式作用调控元件 Cis-acting regulatory element involved in cell cycle regulation | |
Motif I | gGTACGTGGCG | 1 | 顺式作用调控元件根特异性 Cis-acting regulatory element root specificity |
1 | 李恩宇,陈光辉,方希林,等.不同种植模式对水稻生长发育与产量品质的影响[J].湖南农业科学,2023(11):14-18, 29. |
LI E Y, CHEN G H, FANG X L, et al.. Effects of different cropping patterns on growth, development and yield quality of rice [J]. Hunan Agric. Sci., 2023(11):14-18, 29. | |
2 | HWANG I, CHEN H C, SHEEN J. Two-component signal transduction pathways in Arabidopsis [J]. Plant Physiol., 2002,129(2):500-515. |
3 | DU L M, JIAO F C, CHU J, et al.. The two-component signal system in rice (Oryza sativa L.): a genome-wide study of cytokinin signal perception and transduction [J].Genomics, 2007,89(6):697-707. |
4 | KIM H J, KIEBER J J, SCHALLER G E. Overlapping and lineage-specific roles for the type-B response regulators of monocots and dicots [J].Plant Signal Behav., 2012,7(9):1110-1113. |
5 | KITOMI Y, ITO H, HOBO T, et al.. The auxin responsive AP2/ERF transcription factor CROWN ROOTLESS5 is involved in crown root initiation in rice through the induction of OsRR1, a type-A response regulator of cytokinin signaling [J].Plant J., 2011,67(3):472-484. |
6 | CHO L H, YOON J, PASRIGA R, et al. Homodimerization of Ehd1 is required to induce flowering in rice [J]. Plant Physiol., 2016, 170(4):2159-71. |
7 | CHENG X, JIANG H, ZHANG J, et al.. Overexpression of type-A rice response regulators, OsRR3 and OsRR5, results in lower sensitivity to cytokinins [J]. Genet Mol. Res., 2010,9(1):348-359. |
8 | HIROSE N, MAKITA N, KOJIMA M, et al.. Overexpression of a type-A response regulator alters rice morphology and cytokinin metabolism [J]. Plant Cell Physiol., 2007,48(3):523-539. |
9 | BHASKA R A, PAUL L K, SHARMA E, et al.. OsRR6, a type-A response regulator in rice, mediates cytokinin, light and stress responses when over-expressed in Arabidopsis [J]. Plant Physiol. Biochem., 2021,161:98-112. |
10 | JAIN M, TYAGI A K, KHURANA J P. Molecular characterization and differential expression of cytokinin-responsive type-A response regulators in rice (Oryza sativa) [J]. BMC Plant Biol. 2006 Feb 13;6:1. |
11 | WANG W C, LIN T C, KIEBER J, et al.. Response regulators 9 and 10 negatively regulate salinity tolerance in rice [J]. Plant Cell Physiol., 2019, 60(11):2549-2563. |
12 | YAMBURENKO M V, WORTHEN J M, ZEENAT A, et al.. Functional analysis of the rice type-B response regulator RR22 [J/OL]. Front. Plant Sci., 2020,11:577676 [2024-04-01]. . |
13 | LIU Y, PENG X, MA A, et al.. Type-B response regulator OsRR22 forms a transcriptional activation complex with OsSLR1 to modulate OsHKT2; 1 expression in rice [J]. Sci. China Life Sci., 2023,66(12):2922-2934. |
14 | 郝爱平,韩雪杨,薛巨坤,等.水稻RR基因家族的生物信息学分析[J].西南农业学报,2023,36(10):2135-2143. |
HAO A P, HAN X Y, XUE J K, et al.. Bioinformatics analysis of DBB gene family in rice [J]. Southwest China J. Agric. Sci., 2023,36(10):2135-2143. | |
15 | 赵晶晶,詹万龙,周浓.非生物胁迫下植物体内活性氧和丙酮醛代谢的研究进展[J].南方农业学报,2022,53(8):2099-2113. |
ZHAO J J, ZHAN W L, ZHOU N. Research progress on the metabolisms of reactive oxygen species and methylglyoxal in plants under abiotic stresses [J]. J. Southern Agric., 2022,53(8):2099-2113. | |
16 | 王新永,蔺祯,王鹏程.植物激素脱落酸受体偶联途径研究进展[J].植物生理学报,2023,59(4):741-758. |
WANG X Y, LIN Z, WANG P C. Recent advances in phytohormone abscisic acid receptor-coupled pathway [J]. Plant Physiol. J., 2023,59(4):741-758. | |
17 | 焦龙,陈勋,谭荣荣,等.植物茉莉酸与水杨酸信号途径互作研究进展[J].植物生理报,2023,59(8):1489-1504. |
JIAO L, CHEN X, TAN R R, et al.. Research progress on the interaction between jasmonic acid and salicylic acid signaling pathways in plants [J]. Plant Physiol. J., 2023,59(8):1489-1504. | |
18 | 王小菁,萧浪涛,董爱武,等.2016年中国植物科学若干领域重要研究进展[J].植物学报,2017,52(4):394-452. |
WANG X J, XIAO L T, DONG A W, et al.. Research sdvances in plant science in china in 2016 [J]. Chin. Bull. Bot., 2017,52(4):394-452. | |
19 | 赵曼如,胡文忠,于皎雪,等.茉莉酸甲酯对果蔬抗性、抗氧化活性及品质影响的研究进展[J].食品工业科技,2020,41(4):328-332. |
ZHAO M R, HU W Z, YU J X, et al.. Research progress on effects of Methyl jasmonate on resistance,antioxidant activity and quality of fruits and vegetables [J]. Sci. Technol. Food Ind., 2020,41(4):328-332. | |
20 | 徐金龙,张文静,向凤宁.植物盐胁迫诱导启动子及其顺式作用元件研究进展[J].植物生理学报,2021,57(4):759-766. |
XU J L, ZHANG W J, XIANG F N. Advances in stress inducible promoter and cis-acting elements in higher plants [J]. Plant Physiol. J., 2021,57(4):759-766. | |
21 | 李泓阳,刘震,曾钰婷,等.马铃薯StCytb5基因家族的全基因组鉴定及表达分析[J/OL].甘肃农业大学学报,2024, 1-18 [2024-01-07]. |
LI H Y, LIU Z, ZENG Y T, et al.. Genome-wide identification and expression analysis of StCytb gene family in potato (Solanum tuberosum L.)[J/OL]. J. Gansu Agric. Univ.,2024, 1-18[2024-01-07]. | |
22 | 李堂,曹华盛,熊亮,等.水稻粒型调控基因功能研究进展[J].广东农业科学, 2023,50(12):12-28. |
LI T, CAO H S, XIONG L,et al.. Research progress on the function of rice grain type genes [J]. Guangdong Agric. Sci., 2023,50(12):12-28. |
[1] | Zhien LIU, Yong HE, Zhicheng WANG, Xiaokang ZHAN, Tingbao WANG, Yaowei LIU, Zhihong TIAN. Identification and Bioinformatics Analysis of Growth Regulating Factor GRF Gene Family in Rice [J]. Journal of Agricultural Science and Technology, 2025, 27(8): 18-27. |
[2] | Zhining YANG, Xuke LU, Yapeng FAN, Yuping SUN, Xin YU, Liang WANG, Yongjian GAO, Gulijiayinashen Habuli, Gulishaxi Nasiyi, Wumuer Abudu, Hui HUANG, Menghao ZHANG, Lidong WANG, Xiao CHEN, Lei XIAO, Xinrui ZHANG, Shuai WANG, Xiugui CHEN, Junjuan WANG, Lixue GUO, Wenwei GAO, Wuwei YE. Response Mechanism of Cotton GhDMT7 Gene to 5-azacytidine [J]. Journal of Agricultural Science and Technology, 2025, 27(8): 28-35. |
[3] | Jinxian LIU, Lijuan WANG, Jie LIU, Xianyu FU, Guangheng WU. Identification and Expression Analysis of Calmodulin-binding Transcription Activator (CAMTA) Family Genes in Tea Plants [J]. Journal of Agricultural Science and Technology, 2025, 27(3): 71-82. |
[4] | Xiaorong GUO, Ying LIU, Jiazhen FAN, Tao HUANG, Rong ZHOU. Bioinformatics Analysis of Porcine CREBRF Gene and Its Expression Pattern [J]. Journal of Agricultural Science and Technology, 2024, 26(9): 44-53. |
[5] | Xinyue BAO, Hongmin CHEN, Weiwei WANG, Yimiao TANG, Zhaofeng FANG, Jinxiu MA, Dezhou WANG, Jinghong ZUO, Zhanjun YAO. Cloning and Expression Analysis of Wheat TaCOBL-5 Genes [J]. Journal of Agricultural Science and Technology, 2024, 26(6): 11-21. |
[6] | Zhanqing WU, Wei CHEN, Zhan ZHAO, Hailiang XU, Haoyuan LI, Xingxing PENG, Dongxu CHEN, Mingyue ZHANG. Genome-wide Identification and Bioinformatics Analysis of GRAS Gene Family in Maize [J]. Journal of Agricultural Science and Technology, 2024, 26(3): 15-25. |
[7] | Bo LIU, Wangtian WANG, Li MA, Junyan WU, Yuanyuan PU, Lijun LIU, Yan FANG, Wancang SUN, Yan ZHANG, Ruimin LIU, Xiucun ZENG. Identification and Characterization of IPT Gene Family in Brassica rapa L. [J]. Journal of Agricultural Science and Technology, 2024, 26(2): 56-66. |
[8] | Nigela Abuduwaili, Xiuzhen WEI, Jingjie MEN, Lingna CHEN, Yongkun CHEN, Gengqing HUANG. Bioinformatics and Expression Pattern Analysis of JAZ and MYC2-like Gene Family in Lavandula angustifolia [J]. Journal of Agricultural Science and Technology, 2024, 26(11): 79-90. |
[9] | Yurong DENG, Lian HAN, Jinlong WANG, Xinghan WEI, Xudong WANG, Ying ZHAO, Xiaohong WEI, Chaozhou LI. Identification of SOD Family Genes in Chenopodium quinoa and Their Response to Mixed Saline-alkali Stress [J]. Journal of Agricultural Science and Technology, 2024, 26(1): 28-39. |
[10] | Zompur CHU, Guangfeng MAO, Min WU, Hongkai WU. Relationship Between Electrical Conductivity of Seed Soaking Solution and Seed Vigor in Rice (Oryza sativa L.) [J]. Journal of Agricultural Science and Technology, 2023, 25(1): 35-41. |
[11] | Jun XU, Ting LI, Minjun HU, Yugen JIANG, Huili YAN, Wenxiu XU, Yijun YU, Zhenyan HE. Development and Utilization of KASP Marker LCd-38 for Cadmium Accumulation in Rice Grain [J]. Journal of Agricultural Science and Technology, 2022, 24(3): 40-47. |
[12] | Qinqin WANG, Xiugui CHEN, Xuke LU, Shuai WANG, Yuexin ZHANG, Yapeng FAN, Quanjia CHEN, Wuwei YE. Bioinformatics Analysis and Functional Verification of GhPKE1 inUpland Cotton [J]. Journal of Agricultural Science and Technology, 2022, 24(1): 38-45. |
[13] | GUAN Sijing, WANG Nan, XU Rongrong, GE Tiantian, GAO Jing, YAN Yonggang, ZHANG Gang, CHEN Ying, ZHANG Mingying. [J]. Journal of Agricultural Science and Technology, 2021, 23(12): 66-75. |
[14] | GE Chuan1, YANG Rong2, LI Liujun2, ZHANG Jiancheng2, ZHENG Xingwei2*. Genome-Wide Identification and Characterization of the YABBY Family Genes of Wheat (Trticum aestivum L.) [J]. Journal of Agricultural Science and Technology, 2019, 21(8): 11-18. |
[15] | LI Xia1,2, FAN Xin2, LIANG Chengzhen2, WANG Yuan2, ZHANG Rui2, MENG Zhigang2*, LIU Xiaodong1*, SUN Guoqing2*. Functional Analysis of BS2 Gene in Tobacco [J]. Journal of Agricultural Science and Technology, 2019, 21(11): 43-50. |
Viewed | ||||||
Full text |
|
|||||
Abstract |
|
|||||