Journal of Agricultural Science and Technology ›› 2024, Vol. 26 ›› Issue (1): 28-39.DOI: 10.13304/j.nykjdb.2022.0558

• BIOTECHNOLOGY & LIFE SCIENCE • Previous Articles     Next Articles

Identification of SOD Family Genes in Chenopodium quinoa and Their Response to Mixed Saline-alkali Stress

Yurong DENG1(), Lian HAN1, Jinlong WANG1, Xinghan WEI1, Xudong WANG1, Ying ZHAO1,2, Xiaohong WEI1,2(), Chaozhou LI1()   

  1. 1.College of Life Science and Technology,Gansu Agricultural University,Lanzhou 730070,China
    2.Gansu Key Lab of Crop Genetic & Germplasm Enhancement,Gansu Provincial Key Lab of Aridland Crop Science,Gansu Agricultural University,Lanzhou 730070,China
  • Received:2022-07-05 Accepted:2022-10-08 Online:2024-01-15 Published:2024-01-08
  • Contact: Xiaohong WEI,Chaozhou LI

藜麦SOD家族基因的鉴定及其对混合盐碱胁迫的响应

邓玉荣1(), 韩联1, 王金龙1, 韦兴翰1, 王旭东1, 赵颖1,2, 魏小红1,2(), 李朝周1()   

  1. 1.甘肃农业大学生命科学技术学院,兰州 730070
    2.甘肃农业大学,甘肃省作物遗传改良与种质创新重点实验室,甘肃省干旱生境作物学重点实验室,兰州 730070
  • 通讯作者: 魏小红,李朝周
  • 作者简介:邓玉荣 E-mail:2940834096@qq.com
  • 基金资助:
    甘肃农业大学省级大学生创新创业训练计划项目(S202010733077);甘肃农业大学干旱生境作物学重点实验室开放基金课题项目(GSCS-2021-10)

Abstract:

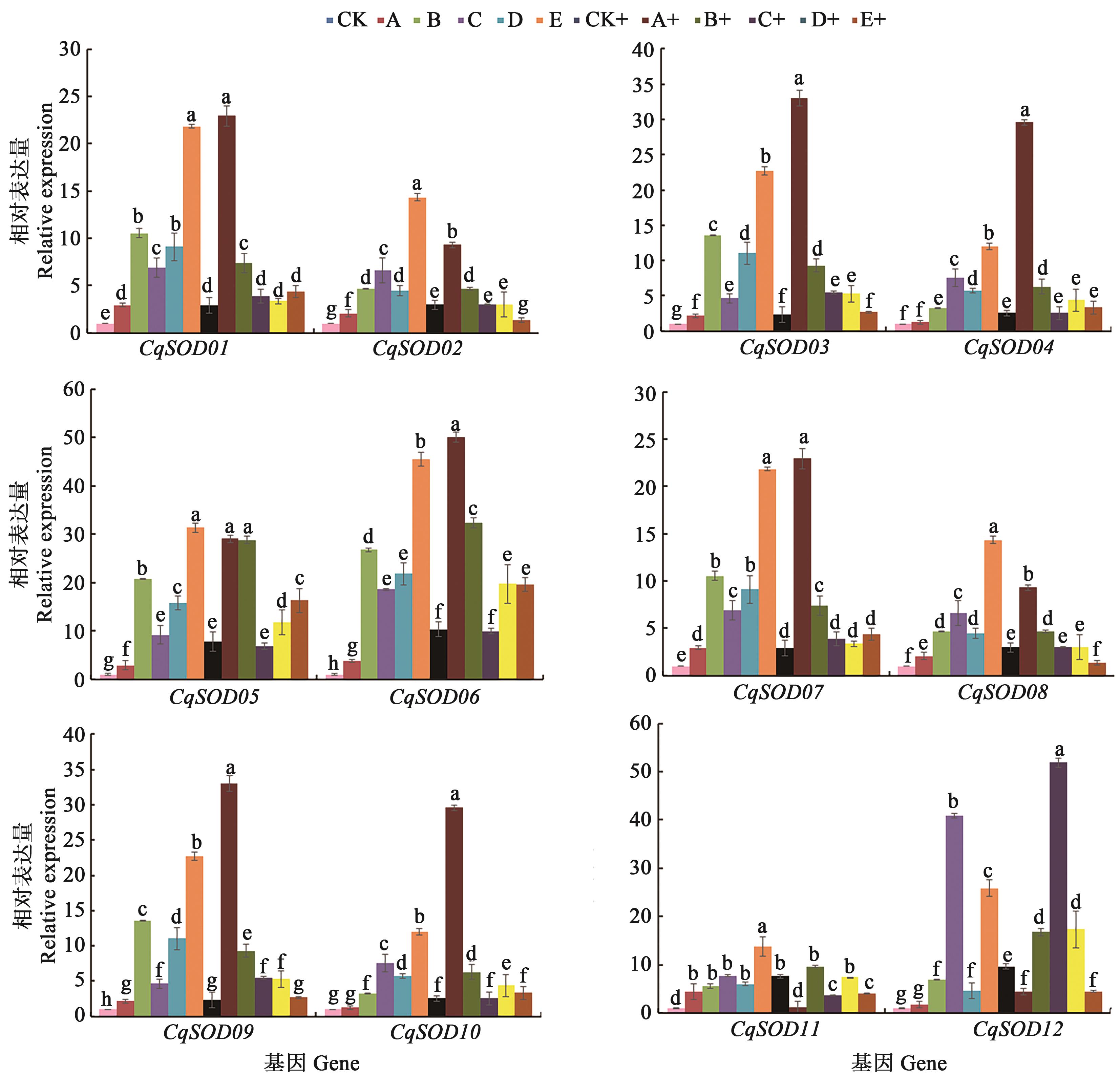
Superoxide dismutase (SOD) is a key enzyme in the antioxidant system of plants and plays a critical role in protecting plants from various biological and abiotic stresses. In this paper, using bioinformatics methods, 12 SOD genes were identified in quinoa by sequence alignment based on Arabidopsis SOD, which localized in the nucleus, microsomes and mitochondria, and distributed heterogeneously on 11 different chromosomes, and the tertiary structure of their encoded proteins showed that Cu/Zn-SODs were homodimers with Fe-SODs and Mn-SODs were homotetramers.The intron/exon distribution patterns of the CqSOD genes were different, with the number of introns ranging from 4 to 7, and the conserved motifs differing significantly. The phylogenetic relationships showed that the SOD proteins could be divided into 3 subfamilies: Cu/Zn-SODs, Fe-SODs and Mn-SODs. In addition, all CqFe-SODs and CqMn-SODs promoter regions contained abscisic acid(ABA)-responsive cis-elements, and CqSOD12 interacted with 11 CqSOD proteins and 4 CqCAT proteins. Expression profiling showed that the 12 CqSOD genes were strongly responsive to both mixed saline-alkali and nitroprusside. Above results laid the foundation for research on the role and molecular mechanism of SOD genes in plant development and stress response.

Key words: Chenopodium quinoa, SOD family genes, salt-alkaline stress, bioinformatics analysis, expression analysis

摘要:

超氧化物歧化酶(superoxide dismutase,SOD)是植物抗氧化系统的关键酶,在保护植物免受生物和非生物胁迫方面发挥重要作用。以拟南芥SOD为基础,通过序列比对在藜麦基因组中鉴定出12个SOD基因,分别定位于细胞核、微体及线粒体,在11条染色体上不均匀分布,其编码蛋白质三级结构显示Cu/Zn-SODs与Fe-SODs为同源二聚体,Mn-SODs为同源四聚体。CqSOD基因内含子/外显子分布模式不尽相同,内含子数介于4~7个,保守基序差异明显。系统发育关系显示,SOD蛋白可分为Cu/Zn-SODs、Fe-SODs及Mn-SODs 3个亚族。此外,所有的CqFe-SODsCqMn-SODs启动子区都含有脱落酸激素反应顺式元件,CqSOD12与11个CqSOD蛋白及4个CqCAT蛋白存在相互作用。表达谱分析表明,12个CqSOD基因对混合盐碱及硝普钠均有较强响应。研究结果为SOD基因在植物发育和胁迫响应中的作用及分子机制研究奠定基础。

关键词: 藜麦, SOD家族基因, 盐碱胁迫, 生物信息学分析, 表达分析

CLC Number: