中国农业科技导报 ›› 2022, Vol. 24 ›› Issue (2): 115-123.DOI: 10.13304/j.nykjdb.2020.0865

• 生物技术 生命科学 • 上一篇    下一篇

遮阴对烤烟烟碱合成调控的影响

罗俊1,2(), 周宏3, 钱发聪4, 李军营2()   

  1. 1.南京农业大学生命与科学学院, 南京 210032
    2.云南烟草农业科学研究院农艺部, 云南 玉溪 653100
    3.中国烟草总公司湘潭中等专业学校, 湖南 湘潭 411103
    4.云南省烟草昆明市公司, 昆明 650051
  • 收稿日期:2020-10-15 接受日期:2021-01-15 出版日期:2022-02-15 发布日期:2022-02-22
  • 通讯作者: 李军营
  • 作者简介:罗俊 E-mail:2315462902@qq.com
  • 基金资助:
    云南省烟草科技计划项目(2017YN06);云南省科技重点研发项目(2018BB019)

Effects of Shading on Nicotine Synthesis of Flue-cured Tobacco

Jun LUO1,2(), Hong ZHOU3, Facong QIAN4, Junying LI2()   

  1. 1.College of Life and Science,Nanjing Agricultural University,Nanjing 210032,China
    2.Department of Agronomy,Yunnan Academy of Tobacco Agricultural Sciences,Yunnan Yuxi 653100,China
    3.Xiangtan Medium Professional School of China Tobacco Corporation,Hunan Xiangtan 411103,China
    4.Kunming Municipal Company of Yunnan Province Tobacco Company,Kunming 650051,China
  • Received:2020-10-15 Accepted:2021-01-15 Online:2022-02-15 Published:2022-02-22
  • Contact: Junying LI

摘要:

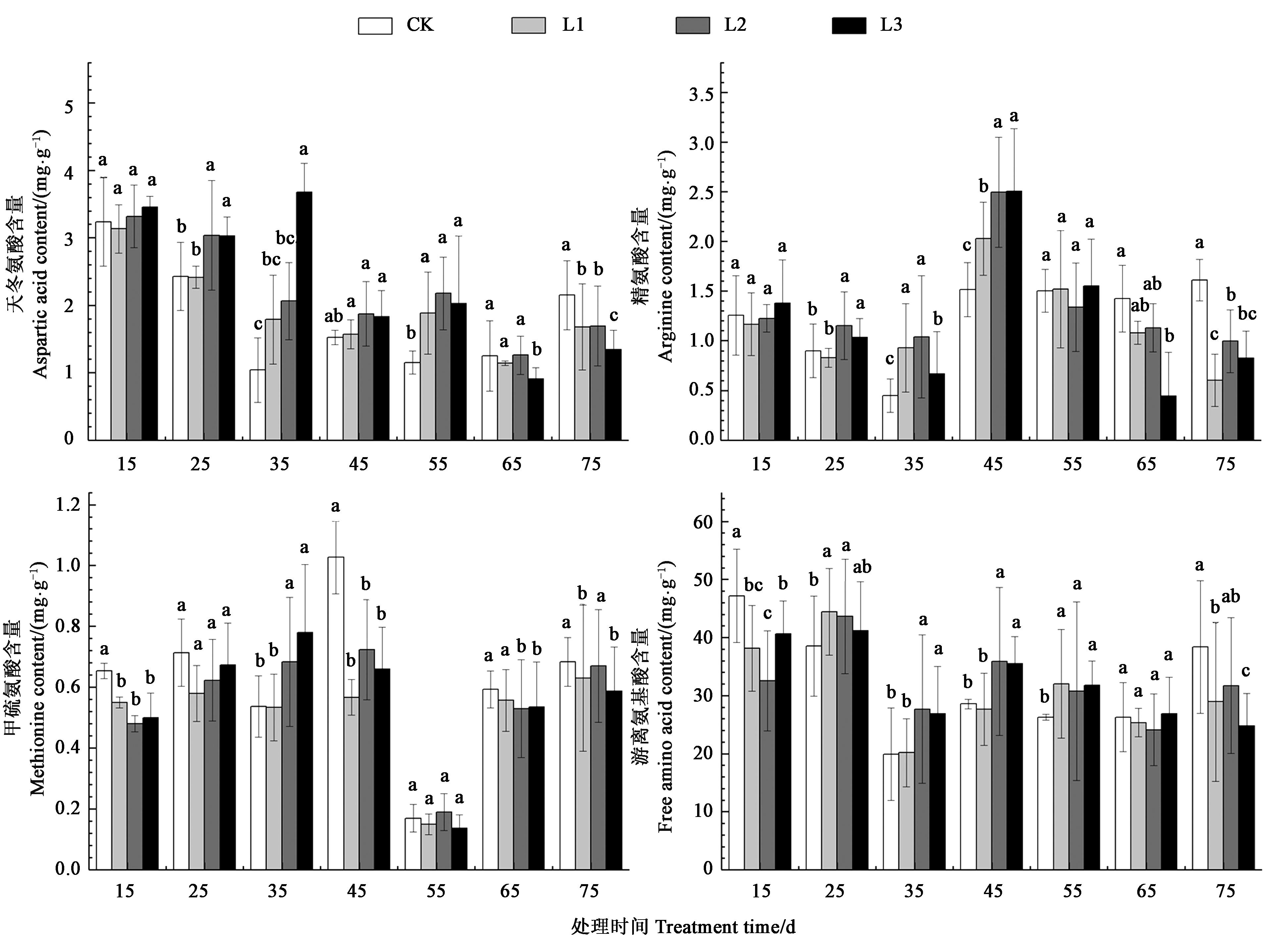
为探究遮阴处理对烤烟各生育期次生代谢的影响,在大田条件下,测定和分析了不同遮阴程度下烤烟烟碱、烟碱前体、中间物质含量及烟碱合成酶基因相对表达量。结果表明:遮阴15~55 d,根部烟碱含量随生育期推进呈现先升高、后降低、再升高、最后降低的趋势,即呈双峰曲线;遮阴25~65 d,与对照相比,中重度遮阴处理显著增加多胺含量,最大增幅分别为40.05%、36.14%、36.27%、23.47%、162.40%;遮阴15~55 d,中重度遮阴处理的烤烟根部天冬氨酸含量都高于对照,最大增幅分别为7.01%、25.65%、253.85%、22.70%、89.28%;遮阴25~55 d,与对照相比,中重度遮阴处理显著增加NtPMT基因相对表达量,最大增幅分别为283.80%、85.97%、67.17%、54.59%,且遮阴15~45 d中重度遮阴显著增加NtADC基因相对表达量,最大增幅分别为85.97%、181.83%、103.93%、54.59%。因此,中重度遮阴通过增加根部游离氨基酸、多胺含量,且有利于NtPMTNtADC基因的表达,从而降低烟碱合成。研究结果可为烟田烟叶烟碱含量的调控提供生产指导。

关键词: 遮阴, 烤烟, 烟碱, 烟碱前体物质, 烟碱中间物质, 烟碱合成酶基因

Abstract:

To explore the effects of different shading treatments on secondary metabolism of flue-cured tobacco at different growth stages, the contents of nicotine, nicotinic precursor, intermediate substance and relative expression of nicotinic synthase gene were determined and analyzed by covering different layers of shading net in the field. The results were followed. After shading 15~55 d, the content of nicotine in the root was increased first, then decreased, then increased, and finally decreased, which showed a bimodal curve. Compared with the control, moderate or severe shading could significantly increase the content of polyamine after shading 25~65 d, with the maximum increased ranges of 40.05%, 36.14%, 36.27%, 23.47% and 162.40%, respectively. The contents of aspartic acid in the root with moderate or severe shading treatments were higher than that of control with the maximum increased ranges of 7.01%, 25.65%, 253.85%, 22.70% and 89.28%, respectively, after shading 15~55 d. Compared with ontrol, moderate or severe shading significantly increased the relative expressions of NtPMT gene by 283.80%, 85.97%, 67.17% and 54.59% respectively, and the relative expressions of NtADC gene were significantly increased with moderate or severe shading for 15~45 d, with the maximum increased ranges of 85.97%, 181.83%, 103.93% and 54.59%, respectively. Therefore, moderate and severe shading could increase the contents of free amino acid and polyamine in the root, and be beneficial to enhance the relative expressions of NtPMT and NtADC genes, reduce the synthesis of nicotine, which provided production guidance for the regulation of nicotine content of tobacco leaves in tobacco field.

Key words: shading, flue-cured tobacco, nicotine, nicotine precursor, nicotine intermediate, nicotine synthase gene

中图分类号: