中国农业科技导报 ›› 2023, Vol. 25 ›› Issue (6): 216-224.DOI: 10.13304/j.nykjdb.2022.0370
刘咏艳1(), 宋正熊2, 金佳威1, 王静1, 徐敏2, 周俊学2(
), 李占民3, 赵世民2, 符云鹏1(
), 代晓燕1
收稿日期:
2022-05-05
接受日期:
2022-07-23
出版日期:
2023-06-15
发布日期:
2023-07-28
通讯作者:
周俊学,符云鹏
作者简介:
刘咏艳 E-mail:2040034810@qq.com
基金资助:
Yongyan LIU1(), Zhengxiong SONG2, Jiawei JIN1, Jing WANG1, Min XU2, Junxue ZHOU2(
), Zhanmin LI3, Shimin ZHAO2, Yunpeng FU1(
), Xiaoyan DAI1
Received:
2022-05-05
Accepted:
2022-07-23
Online:
2023-06-15
Published:
2023-07-28
Contact:
Junxue ZHOU,Yunpeng FU
摘要:
为探究钼、锌营养对烤烟生理特性及品质的影响,以烤烟品系LY1306为试验材料,采用大田试验,设置叶面喷施清水(CK)、0.1%钼酸铵溶液(T1)、0.2%硫酸锌溶液(T2)、0.1%钼酸铵溶液+0.2%硫酸锌溶液(T3)共4个处理,比较钼锌营养对烤烟叶片碳氮代谢关键酶活性、质体色素含量、光合性能、烤后烟叶化学成分及经济性状的影响。结果表明,与CK相比,T1、T2、T3处理均不同程度增强烤烟叶片发育过程中硝酸还原酶(nitrate reductase, NR)、谷氨酰胺合成酶(glutamine synthetase, GS)和蔗糖转化酶(sucrose invertase, INV)活性,提高烤烟净光合速率(net photosynthetic rate,Pn)及质体色素含量,促进烟叶干物质积累,并显著提高烟叶产量、产值、均价及上等烟比例;同时各处理还明显提高烤后烟叶总糖、还原糖和钾含量,提高烟叶糖碱比和钾氯比,改善烟叶化学成分的协调性;各项指标均以T3处理效果最佳。综上所述,钼锌配施最有利于提高烤烟碳氮代谢强度和光合性能,协调烟叶化学成分,改善烟叶品质,为钼锌营养在烤烟生产中的合理应用提供理论依据。
中图分类号:
刘咏艳, 宋正熊, 金佳威, 王静, 徐敏, 周俊学, 李占民, 赵世民, 符云鹏, 代晓燕. 钼锌营养对烤烟生理特性及品质的影响[J]. 中国农业科技导报, 2023, 25(6): 216-224.
Yongyan LIU, Zhengxiong SONG, Jiawei JIN, Jing WANG, Min XU, Junxue ZHOU, Zhanmin LI, Shimin ZHAO, Yunpeng FU, Xiaoyan DAI. Effects of Molybdenum and Zinc Nutrition on Physiological Characteristics and Quality of Flue-cured Tobacco[J]. Journal of Agricultural Science and Technology, 2023, 25(6): 216-224.
图1 不同处理烤烟生长过程中叶片干物质积累量注:同一时期中不同小写字母表示处理间在P<0.05水平差异显著。
Fig. 1 Accumulation of leaves dry matter during flue-cured tobacco growth under different treatmentsNote: Different lowercase letters in the same stage indicate significant differences among treatments at P<0.05 level.
图2 不同处理烤烟生长过程中叶片硝酸还原酶活性注:同一时期中不同小写字母表示处理间在P<0.05水平差异显著。
Fig. 2 NR activity in leaves during flue-cured tobacco growth under different treatmentsNote: Different lowercase letters in the same stage indicate significant differences among treatments at P<0.05 level.
图3 不同处理烤烟生长过程中叶片谷氨酰胺合成酶活性注:同一时期中不同小写字母表示处理间在P<0.05水平差异显著。
Fig. 3 GS activity in leaves during flue-cured tobacco growth under different treatmentsNote: Different lowercase letters in the same stage indicate significant differences among treatments at P<0.05 level.
图4 不同处理烤烟生长过程中叶片蔗糖转化酶活性注:同一时期中不同小写字母表示处理间在P<0.05水平差异显著。
Fig. 4 INV activity in leaves during flue-cured tobacco growth under different treatmentsNote: Different lowercase letters in the same stage indicate significant differences among treatments at P<0.05 level.
图5 不同处理烤烟生长过程中叶片质体色素含量注:同一时期中不同小写字母表示处理间在P<0.05水平差异显著。
Fig. 5 Plastid pigment content in leaves during flue-cured tobacco growth under different treatmentsNote: Different lowercase letters in the same stage indicate significant differences among treatments at P<0.05 level.
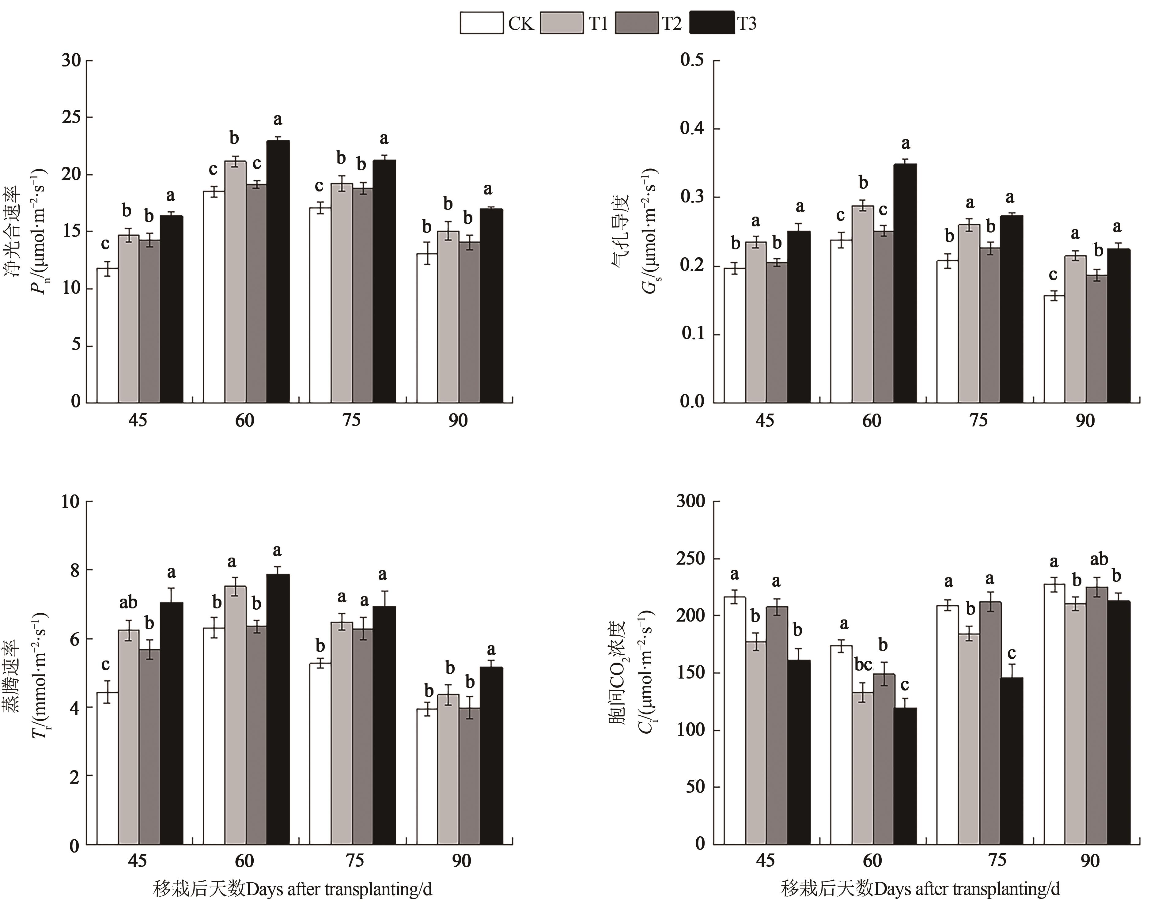
图6 不同处理烤烟生长过程中叶片光合性能注:同一时期中不同小写字母表示处理间在P<0.05水平差异显著。
Fig. 6 Photosynthetic performance in leaves during flue-cured tobacco growth under different treatmentsNote: Different lowercase letters in the same stage indicate significant differences among treatments at P<0.05 level.
处理Treatment | 总糖 Total sugar/% | 还原糖 Reducing sugar/% | 总氮 Total nitrogen/% | 烟碱Nicotine/% | 钾 Potassium/% | 氯 Chlorine/% | 糖碱比 Ratio of reducing sugar to nicotine | 钾氯比 Ratio of potassium to chloride |
---|---|---|---|---|---|---|---|---|
CK | 19.23±0.32 c | 18.70±0.27 b | 2.06±0.17 a | 2.28±0.14 a | 1.02±0.07 b | 0.56±0.07 a | 8.20±0.06 c | 1.82±0.01 c |
T1 | 22.49±0.20 b | 21.82±0.57 a | 2.11±0.17 a | 2.32±0.15 a | 1.27±0.07 a | 0.53±0.06 a | 9.41±0.06 b | 2.37±0.10 b |
T2 | 22.24±0.18 b | 21.38±0.53 a | 2.08±0.17 a | 2.19±0.10 a | 1.14±0.07 ab | 0.53±0.05 a | 9.78±0.11 b | 2.16±0.09 b |
T3 | 24.54±0.57 a | 22.49±0.72 a | 1.93±0.17 a | 2.13±0.13 a | 1.33±0.07 a | 0.46±0.05 a | 10.55±0.26 a | 2.88±0.10 a |
表1 不同处理烤后烟叶化学成分
Table 1 Chemical components in flue-cured tobacco leaves with different treatments
处理Treatment | 总糖 Total sugar/% | 还原糖 Reducing sugar/% | 总氮 Total nitrogen/% | 烟碱Nicotine/% | 钾 Potassium/% | 氯 Chlorine/% | 糖碱比 Ratio of reducing sugar to nicotine | 钾氯比 Ratio of potassium to chloride |
---|---|---|---|---|---|---|---|---|
CK | 19.23±0.32 c | 18.70±0.27 b | 2.06±0.17 a | 2.28±0.14 a | 1.02±0.07 b | 0.56±0.07 a | 8.20±0.06 c | 1.82±0.01 c |
T1 | 22.49±0.20 b | 21.82±0.57 a | 2.11±0.17 a | 2.32±0.15 a | 1.27±0.07 a | 0.53±0.06 a | 9.41±0.06 b | 2.37±0.10 b |
T2 | 22.24±0.18 b | 21.38±0.53 a | 2.08±0.17 a | 2.19±0.10 a | 1.14±0.07 ab | 0.53±0.05 a | 9.78±0.11 b | 2.16±0.09 b |
T3 | 24.54±0.57 a | 22.49±0.72 a | 1.93±0.17 a | 2.13±0.13 a | 1.33±0.07 a | 0.46±0.05 a | 10.55±0.26 a | 2.88±0.10 a |
处理 Treatment | 产量 Yield/(kg·hm-2) | 产值/(元·hm-2) Output value /(yuan·hm-2) | 上等烟比例 Proportion of high class leaf/% | 均价/(元·kg-1) Average price/(yuan·kg-1) |
---|---|---|---|---|
CK | 2 455.83±8.21 b | 50 496.67±671.17 d | 52.00±0.58 d | 20.56±0.21 c |
T1 | 2 660.83±5.83 a | 58 703.92±405.54 b | 57.00±0.58 b | 22.06±0.14 b |
T2 | 2 638.80±17.36 a | 56 824.26±467.96 c | 54.00±0.58 c | 21.69±0.18 b |
T3 | 2 671.86±6.52 a | 62 220.76±314.93 a | 60.33±0.33 a | 23.29±0.09 a |
表2 不同处理烤后烟叶经济性状
Table 2 Economic characters in flue-cured tobacco leaves with different treatments
处理 Treatment | 产量 Yield/(kg·hm-2) | 产值/(元·hm-2) Output value /(yuan·hm-2) | 上等烟比例 Proportion of high class leaf/% | 均价/(元·kg-1) Average price/(yuan·kg-1) |
---|---|---|---|---|
CK | 2 455.83±8.21 b | 50 496.67±671.17 d | 52.00±0.58 d | 20.56±0.21 c |
T1 | 2 660.83±5.83 a | 58 703.92±405.54 b | 57.00±0.58 b | 22.06±0.14 b |
T2 | 2 638.80±17.36 a | 56 824.26±467.96 c | 54.00±0.58 c | 21.69±0.18 b |
T3 | 2 671.86±6.52 a | 62 220.76±314.93 a | 60.33±0.33 a | 23.29±0.09 a |
1 | 吕大树.烟田施用硼锌钼微肥效果研究[D].长沙:湖南农业大学,2013. |
LYU D S. Study on the effect of boron, zinc and molybdenum nutrition in flue-cured tobacco fields [D]. Changsha: Hunan Agricultural University, 2013. | |
2 | KOVACS B, PUSKAS-PRESZNER A, HUZSVAI L, et al.. Effect of molybdenum treatment on molybdenum concentration and nitrate reduction in maize seedlings [J]. Plant Physiol. Biochem., 2015, 96:38-44. |
3 | 冯雨晴,李亚飞,史宏志,等.不同浓度钼酸钠对白肋烟苗期碳氮代谢和硝酸盐含量的影响[J].烟草科技,2019,52(12):1-9. |
FENG Y Q, LI Y F, SHI H Z, et al.. Effects of sodium molybdate concentrations on carbon and nitrogen metabolism and nitrate content in seedlings of burley tobacco [J]. Tob. Sci. Technol., 2019, 52(12):1-9. | |
4 | 徐守俊,吴志超,胡承孝,等.不同钼积累水平大豆品种苗期碳氮代谢生理差异[J].中国油料作物学报,2019,41(1):75-80. |
XU S J, WU Z C, HU C X, et al.. Differences of photosynthetic carbon and nitrogen metabolism between high-Mo-accumulation and low-Mo-accumulation glycine max seedlings [J]. Chin. J. Oil Crop Sci., 2019, 41(1):75-80. | |
5 | 李良木,范艺宽,许自成.烟草钼素营养研究进展[J].作物杂志,2017(6):12-16. |
LI L M, FAN Y K, XU Z C. Research progress of the effects of molybdenum nutrition on tobacco quality [J]. Crops, 2017(6):12-16. | |
6 | 张纪利,李余湘,罗红香,等.施钼对烟草叶绿素含量、光合速率、产量及品质的影响[J].中国烟草科学,2011,32(2):24-28. |
ZHANG J L, LI Y X, LUO H X, et al.. Effects of molybdenum application on chlorophyll contents, photosynthetic rates, yield and quality of tobacco leaves [J]. Chin. Tob. Sci., 2011, 32(2):24-28. | |
7 | 杨永锋.钼氮配施对烤烟发育及产质量形成的影响[D].郑州:河南农业大学,2021. |
YANG Y F. Effects of combined application of molybdenum and nitrogen on development, formation of yield and quality of flue-cured tobacco [D]. Zhengzhou: Henan Agricultural University, 2021. | |
8 | 廖伟,舒芳靖,倪毅,等.烤烟锌营养研究进展[J].安徽农业科学,2015,43(23):9-10, 13. |
LIAO W, SHU F J, NI Y, et al.. Research progress of zinc nutrition in flue-cured tobacco [J]. J. Anhui Agric. Sci., 2015, 43(23):9-10, 13. | |
9 | DZYUBA S V, BARTSCH R A. Efficient synthesis of 1-alkyl(aralkyl)-3-methyl(ethyl)imidazolium halides: precursors for room-temperature ionic liquids [J]. J. Heterocyclic Chem., 2001, 38(1):265 -268. |
10 | 白羽祥,杨焕文,徐照丽,等.不同锌肥水平对烤烟光合特性和产量及质量的影响[J].中国土壤与肥料,2017(2):102-106. |
BAI Y X, YANG H W, XU Z L, et al.. Effects of different zinc fertilizer levels on photosynthetic characteristics, yield and quality of flue-cured tobacco [J]. Soil Fert. Sci. China, 2017(2):102-106. | |
11 | 杨雪梅,陈勇能,刘志莲,等.施锌量和施锌方式对烤烟产质量的影响[J].安徽农业科学,2019,47(3):30-32, 41. |
YANG X M, CHEN Y N, LIU Z L, et al.. Effects of different zinc application dosages and modes on the yield and quality of flue-cured tobacco [J]. J. Anhui Agric. Sci., 2019, 47(3):30-32, 41. | |
12 | 刘春奎. 钼锌配施对冬小麦的作用及其机制研究[D].武汉:华中农业大学,2019. |
LIU C K. Study on effect of molybdenum and zinc combination on winter wheat and its mechanism [D]. Wuhan: Huazhong Agricultural University, 2019. | |
13 | 张翔,黄元炯,范艺宽,等.河南省植烟土壤与烤烟施肥的现状、存在问题及对策[J].河南农业科学,2004(11):54-57. |
ZHANG X, HUANG Y J, FAN Y K, et al.. Current situation, problems and countermeasures of tobacco-planting soil and flue-cured tobacco applying fertilizer in Henan province [J]. Henan Agric. Sci., 2004(11):54-57. | |
14 | 王小东,许自成,李群平,等.洛阳地区植烟土壤养分肥力测定与综合评价[J].河南科技大学学报(自然科学版),2008,29(4):82-85, 119. |
WANG X D, XU Z C, LI Q P, et al.. Comprehensive evaluation of soil fertility in Luoyang tobacco-growing areas [J]. J. Henan Sci. Technol. Univ. (Nat. Sci.), 2008, 29(4):82-85, 119. | |
15 | 毛家伟,李华荣,李彰,等.洛阳烟区土壤养分演变及不同茬口土壤特性分析[J].河南农业科学,2012,41(11):69-73. |
MAO J W, LI H R, LI Z, et al.. Analysis of soil nutrients variation and soil characteristics in different rotation systems in luoyang tobacco area [J]. J. Henan Agric. Sci., 2012, 41(11):69-73. | |
16 | 萧浪涛,王三根.植物生理学实验技术[M].北京:中国农业出版社,2005:1-262. |
17 | 国家烟草专卖局. 烟草及烟草制品水溶性糖的测定连续流动法: [S].北京:中国标准出版社,2002. |
18 | 国家烟草专卖局. 烟草及烟草制品总氮的测定连续流动法: [S].北京:中国标准出版社,2002. |
19 | 国家烟草专卖局. 烟草及烟草制品总植物碱的测定连续流动法: [S].北京:中国标准出版社,2002. |
20 | 国家烟草专卖局. 烟草及烟草制品钾的测定连续流动法: [S].北京:中国标准出版社,2007. |
21 | 国家烟草专卖局. 烟草及烟草制品氯的测定连续流动法: [S].北京:中国标准出版社,2011. |
22 | 中华人民共和国国家质量监督检验检疫总局. 烤烟: [S].北京:中国标准出版社,1992. |
23 | VIGANI G, DI SILVESTRE D, AGRESTA A M, et al.. Molybdenum and iron mutually impact their homeostasis in cucumber (Cucumis sativus) plants [J]. New Phytol., 2017, 213(3):1222-1241. |
24 | 李朝阳,夏志林,芶剑渝,等.钼对烤烟不同品种叶绿素荧光、抗氧化及氮代谢酶活性的影响[J].安徽农业大学学报,2017,44(2):321-326. |
LI Z Y, XIA Z L, GOU J Y, et al.. Effects of molybdenum on chlorophyll fluorescence, antioxidant activity and nitrogen metabolism in flue-cured tobacco of different varieties [J]. J. Anhui Agric. Univ., 2017, 44(2): 321-326. | |
25 | 董明.叶面喷施锌肥对小麦籽粒不同层次面粉品质的影响及其生理机制[D].南京:南京农业大学, 2017. |
DONG M. Effects of foliar zinc application on different layers of grain quality and physiological mechanisms in wheat [D]. Nanjing: Nanjing Agricultural University, 2017. | |
26 | SUN H, LI J, SONG W, et al.. Nitric oxide generated by nitrate reductase increases nitrogen uptake capacity by inducing lateral root formation and inorganic nitrogen uptake under partial nitrate nutrition in rice [J]. J. Exp. Bot., 2015, 66(9):2449-2459. |
27 | 于波,秦嗣军,吕德国.硫酸锌对苹果叶片光合产物的合成及其向果实运输的影响[J].沈阳农业大学学报,2022,53(1):9-15. |
YU B, QIN S J, LYU D G. Effects of ZnSO4 levels on the photosynthate synthesis and its translocation to fruit in apple [J]. J. Shenyang Agric. Univ., 2022, 53(1):9-15. | |
28 | 雷佳,吕永华,李淮源,等.烤烟碳氮代谢调节机理及其指标研究进展[J].广东农业科学,2018,45(12):20-26. |
LEI J, LYU Y H, LI H Y, et al.. Advances on regulatory mechanism and index of carbon-nitrogen metabolism in flue-cured tobacco [J]. Guangdong Agric. Sci., 2018, 45(12):20-26. | |
29 | LIU Z, GAO J, GAO F, et al.. Photosynthetic characteristics and chloroplast ultrastructure of summer maize response to different nitrogen supplies [J/OL]. Front. Plant Sci., 2018, 9:576 [2022-04-10].. |
30 | 孙君艳,张淮,仝胜利.自然干旱条件下叶面喷施锌、钼肥对玉米叶绿素含量及光合特性的影响[J].江苏农业科学,2015,43(9):115-117. |
SUN J Y, ZHANG H, TONG S L. Effects of foliar spraying of zinc and molybdenum fertilizer on chlorophyll content and photosynthetic characteristics of maize under natural drought conditions [J]. Jiangsu Agric. Sci., 2015, 43(9):115-117. | |
31 | 董友魁,刘德恒,韩艳红,等.钼肥对鲜食大豆主要光合生理指标的影响[J].大豆科学,2015,34(2):349-352. |
DONG Y K, LIU D H, HAN Y H, et al.. Effect of molybdenum on main photosynthetic characteristics of vegetable soybean [J]. Soybean Sci., 2015, 34(2):349-352. | |
32 | 李文,李伶俐,王志强,等.喷施锌钼肥对渍涝胁迫玉米生长发育及产量和品质的影响[J].河南农业大学学报,2016,50(5):593-597. |
LI W, LI L L, WANG Z Q, et al.. Effect of spraying Zn and Mo fertilizers on corn growth and development, and yield & quality under waterlogging stresses [J]. J. Henan Agric. Univ., 2016, 50(5): 593-597. | |
33 | 李君霞,朱灿灿,代书桃,等.不同夏谷品种光合特性、干物质积累转运及灌浆特性[J].江苏农业科学,2021,49(23):82-86. |
LI J X, ZHU C C, DAI S T, et al.. Photosynthetic characteristics, accumulation and transportation of dry matter, grain filling parameter of different summer foxtail millet cultivars [J]. Jiangsu Agric. Sci., 2021, 49(23):82-86. | |
34 | 申洪涛,段卫东,李冬,等.钼肥对植烟土壤酶活性及烤烟产量和品质的影响[J].河南农业科学,2020,49(6):42-47. |
SHEN H T, DUAN W D, LI D, et al.. Effect of molybdate fertilizer on enzyme activity in tobacco growing soil, yield and quality of flue-cured tobacco [J]. J. Henan Agric. Sci., 2020, 49(6):42-47. | |
35 | 陈春玲.锌及锌与其他元素配施对烤烟产量质量的影响[J].云南农业,2017(6):54-56. |
CHEN C L. Effects of zinc and combined application of zinc and other elements on yield and quality of flue-cured tobacco [J]. Yunnan Agric., 2017(6):54-56. | |
36 | 闫铁军,马晓寒,庞哲,等.我国主产烟区烟叶化学成分与感官舒适性关系分析[J].中国烟草科学,2021,42(6):60-65. |
YAN T J, MA X H, PANG Z, et al.. Analysis of the relationship between chemical composition and sensory comfort of tobacco leaves in the main tobacco-producing areas in China [J]. Chin. Tob. Sci., 2021, 42(6):60-65. | |
37 | 曾宇,李小勇,韩助君,等.增施钼肥对烤烟叶片矿质元素含量及常规化学成分的影响[J].浙江农业科学,2021,62(11):2226-2228. |
ZENG Y, LI X Y, HAN Z J, et al.. Effect of molybdenum fertilizer on mineral elements and chemical components content in flue-cured tobacco leaves [J]. J. Zhejiang Agric. Sci., 2021, 62(11): 2226-2228. | |
38 | 胡蓉花,王俊,沈雪婷,等.增施锌肥对烤烟品质的影响[J].江苏农业科学,2022,50(11):76-82. |
HU R H, WANG J, SHEN X T, et al.. Influence of increasing application of zinc fertilizer on quality of flue-cured tobacco [J]. Jiangsu Agric. Sci., 2022, 50(11):76-82. |
[1] | 陈小伟, 沙玉柱, 刘秀, 邵鹏阳, 王翻兄, 谢转回, 杨文鑫, 陈倩玲, 高敏, 黄薇. 不同物候期藏绵羊肉品质、营养成分及肉质相关基因表达特征分析[J]. 中国农业科技导报, 2025, 27(7): 161-171. |
[2] | 宋光永, 郭雅文, 薛婧, 杨克箐, 苏学德, 周龙. 不同肥水处理对7个设施鲜食葡萄果实品质的影响[J]. 中国农业科技导报, 2025, 27(7): 229-240. |
[3] | 朱燕芳, 常强, 郝燕, 陈海龙. 反光膜对‘阳光玫瑰’果实品质及挥发性物质的影响[J]. 中国农业科技导报, 2025, 27(7): 72-82. |
[4] | 白世践, 户金鸽. 赤霉素处理对波尔莱特葡萄及葡萄干品质的影响[J]. 中国农业科技导报, 2025, 27(6): 158-169. |
[5] | 黄娟娟, 张志强, 毛娟, 马宗桓, 陈佰鸿. 不同叶面肥对‘黑比诺’葡萄生长发育和果实品质的影响[J]. 中国农业科技导报, 2025, 27(6): 205-217. |
[6] | 邹声浩, 喻奇伟, 贺帅, 张学伟, 马黔, 马关凯, 席飞虎, 罗东升, 王茂贤, 罗贞宝, 景延秋. 外源小球藻对干旱胁迫下烤烟幼苗生理特性的影响[J]. 中国农业科技导报, 2025, 27(6): 64-71. |
[7] | 袁嘉良, 连润楠, 张吴平. 黄花菜花蕾的精准识别与分级方法[J]. 中国农业科技导报, 2025, 27(5): 103-112. |
[8] | 张文婷, 李阳, 裘实, 路光明, 郭冬姝, 张保龙, 王金彦. 基于CRISPR/Cas9基因编辑技术研究Badh2基因对稻米品质的影响[J]. 中国农业科技导报, 2025, 27(5): 39-48. |
[9] | 秦岭, 王艳珂, 陈二影, 杨延兵, 黎飞飞, 张梦媛, 管延安. ABA缓解谷子幼苗干旱胁迫生理特性分析[J]. 中国农业科技导报, 2025, 27(4): 36-44. |
[10] | 李大荣, 李小玲, 周武先, 张美德, 蒋小刚, 由金文, 王华. 有机肥替代部分化肥对湖北贝母生长及土壤性质的影响[J]. 中国农业科技导报, 2025, 27(3): 216-226. |
[11] | 段俊雅, 赵园园, 王婷婷, 韦建玉, 王政, 王德勋, 李娟, 史宏志. 减氮配施聚天冬氨酸对烤烟氮素利用及产质量的影响[J]. 中国农业科技导报, 2025, 27(3): 227-238. |
[12] | 赵德轩, 高朋, 温晓蕾, 母时风, 高素红, 冯丽娜, 孙伟明, 齐慧霞. 板栗黄化皱缩病对板栗坚果品质的影响[J]. 中国农业科技导报, 2025, 27(2): 136-140. |
[13] | 王如月, 虎海防, 罗莎莎, 甄紫怡, 徐业勇, 胡晓静. 杏李不同采收成熟度果实品质分析[J]. 中国农业科技导报, 2025, 27(2): 158-169. |
[14] | 吴强, 吴聪连, 吴小云, 吴剑, 徐选美, 赖俊声, 胡伟云, 龚榜初, 江锡兵. 不同施肥处理对锥栗产量及果实品质的影响[J]. 中国农业科技导报, 2025, 27(2): 228-237. |
[15] | 邓奕龙, 王建安, 顾少龙, 张小全, 苗晓辉, 施守杰, 段卫东. 变黄期变温烘烤对上部叶颜色参数与色素含量协同关系的影响[J]. 中国农业科技导报, 2025, 27(2): 238-249. |
阅读次数 | ||||||
全文 |
|
|||||
摘要 |
|
|||||