中国农业科技导报 ›› 2023, Vol. 25 ›› Issue (1): 72-82.DOI: 10.13304/j.nykjdb.2021.0508
李世民(), 董琼(
), 金友帆, 李树萍, 李猛, 刘廷彪, 赵兴杰, 陈静, 叶平, 吕梦
收稿日期:
2021-07-21
接受日期:
2021-08-27
出版日期:
2023-01-15
发布日期:
2023-04-17
通讯作者:
董琼
作者简介:
李世民 E-mail: LSM85201@swfu.edu.cn;
基金资助:
Shimin LI(), Qiong DONG(
), Youfan JIN, Shuping LI, Meng LI, Tingbiao LIU, Xingjie ZHAO, Jing CHEN, Ping YE, Meng LYU
Received:
2021-07-21
Accepted:
2021-08-27
Online:
2023-01-15
Published:
2023-04-17
Contact:
Qiong DONG
摘要:
为探究树番茄幼苗在不同遮阴环境下叶片性状和生理响应机制,明确其幼苗光适应性及其生长的适宜光照环境,以树番茄幼苗为试验材料,研究正常光照(CK)、轻度遮阴(SL)、中度遮阴(SM)和重度遮阴(SH)4个处理对树番茄幼苗叶片性状、光合色素、非结构性碳水化合物(non-structural carbohydrates,NSC)及丙二醛(malonaldehyde,MDA)、脯氨酸(proline,Pro)、抗氧化酶等参数的影响,并通过主成分分析筛选树番茄耐阴指标,采用隶属函数对耐阴能力进行综合评价。结果表明,不同遮阴条件下树番茄幼苗各指标间均存在显著差异(P<0.05)。随着遮阴程度的加重,树番茄幼苗的叶长、叶面积及叶绿素a和类胡萝卜素含量等指标逐渐增大,叶绿素a/b及可溶性糖和淀粉含量、NSC均逐渐降低,而MDA、Pro、可溶性蛋白含量及抗氧化酶等指标呈先降低再升高的趋势,且在SM处理下最低。主成分分析表明,MDA、NSC、叶绿素总量、叶绿素a/b、叶鲜重、比叶面积、游离脯氨酸和SOD共8个指标可作为树番茄幼苗耐阴能力的鉴定指标。不同处理的综合评价排序依次为SM>SH>SL>CK。由此表明,树番茄幼苗期具有阴生特性,自然光照对树番茄幼苗存在强光胁迫;重度遮阴环境下存在明显的弱光胁迫。弱光胁迫下,树番茄幼苗主要通过增加单叶面积、叶绿素和类胡萝卜素含量,减小叶绿素a/b值,吸收更多的蓝紫光,以此来捕获更多的光能以提高光能利用率。此外,通过增加可溶性蛋白和 Pro含量、提高抗氧化酶活性来缓解强光或弱光所产生的MDA毒害作用。综上,热区树番茄栽培、林下推广种植以及园林应用中可选择适当的半阴环境,遮阴强度50%左右较为适宜,为树番茄在热区栽培及林下推广种植提供了理论依据。
中图分类号:
李世民, 董琼, 金友帆, 李树萍, 李猛, 刘廷彪, 赵兴杰, 陈静, 叶平, 吕梦. 树番茄幼苗叶片性状和生理参数对遮阴的响应及评价[J]. 中国农业科技导报, 2023, 25(1): 72-82.
Shimin LI, Qiong DONG, Youfan JIN, Shuping LI, Meng LI, Tingbiao LIU, Xingjie ZHAO, Jing CHEN, Ping YE, Meng LYU. Response and Evaluation of Leaf Traits and Physiological Parameters of Cyphoma betacea Seedlings Under Shading Environment[J]. Journal of Agricultural Science and Technology, 2023, 25(1): 72-82.
性状Trait | CK | SL | SM | SH |
---|---|---|---|---|
叶长LL/cm | 19.12±2.45 b | 19.25±2.42 b | 22.76±3.16 ab | 23.81±2.69 a |
叶宽LW/cm | 13.49±2.14 b | 13.66±2.70 b | 16.46±2.74 ab | 18.43±2.85 a |
叶形指数LSI | 1.43±0.17 a | 1.43±0.10 a | 1.40±0.10 a | 1.32±0.15 a |
叶鲜重LFW/g | 6.66±1.51 B | 6.67±1.40 B | 9.87±1.28 A | 10.38±1.60 A |
叶干重LDW/g | 1.05±0.26 b | 1.12±0.31 b | 1.58±0.55 a | 1.55±0.54 a |
叶含水量LMC/% | 0.84±0.01 ab | 0.83±0.01 b | 0.84±0.01 a | 0.85±0.01 a |
单叶面积LA/cm2 | 20.04±3.07 b | 21.24±3.14 b | 28.30±4.23 a | 37.81±3.80 a |
比叶面积SLA/(cm2·g-1) | 18.13±2.28 b | 19.37±1.78 b | 21.00±2.58 ab | 21.73±2.56 a |
比叶质量LMA/(g·cm-2) | 558.75±6.59 a | 519.50±4.91 ab | 493.25±3.75 b | 465.39±4.15 b |
表1 不同遮阴处理下幼苗的叶片性状
Table 1 Traits of leaf in seedlings under different shade treatments
性状Trait | CK | SL | SM | SH |
---|---|---|---|---|
叶长LL/cm | 19.12±2.45 b | 19.25±2.42 b | 22.76±3.16 ab | 23.81±2.69 a |
叶宽LW/cm | 13.49±2.14 b | 13.66±2.70 b | 16.46±2.74 ab | 18.43±2.85 a |
叶形指数LSI | 1.43±0.17 a | 1.43±0.10 a | 1.40±0.10 a | 1.32±0.15 a |
叶鲜重LFW/g | 6.66±1.51 B | 6.67±1.40 B | 9.87±1.28 A | 10.38±1.60 A |
叶干重LDW/g | 1.05±0.26 b | 1.12±0.31 b | 1.58±0.55 a | 1.55±0.54 a |
叶含水量LMC/% | 0.84±0.01 ab | 0.83±0.01 b | 0.84±0.01 a | 0.85±0.01 a |
单叶面积LA/cm2 | 20.04±3.07 b | 21.24±3.14 b | 28.30±4.23 a | 37.81±3.80 a |
比叶面积SLA/(cm2·g-1) | 18.13±2.28 b | 19.37±1.78 b | 21.00±2.58 ab | 21.73±2.56 a |
比叶质量LMA/(g·cm-2) | 558.75±6.59 a | 519.50±4.91 ab | 493.25±3.75 b | 465.39±4.15 b |
性状Trait | CK | SL | SM | SH |
---|---|---|---|---|
叶绿素a含量Chl a content/(mg·g-1) | 0.606±0.121 C | 0.621±0.076 C | 1.440±0.297 B | 1.716±0.160 A |
叶绿素b含量Chl b content/(mg·g-1) | 0.332±0.065 B | 0.361±0.101 B | 0.946±0.352 A | 1.088±0.114 A |
叶绿素总含量Chl a+b content/(mg·g-1) | 0.938±0.181 C | 0.983±0.176 C | 2.386±0.348 B | 2.804±0.273 A |
叶绿素a/b Chl a/b | 1.834±0.202 a | 1.794±0.314 ab | 1.628±0.329 ab | 1.578±0.123 b |
类胡萝卜素含量Car content/(mg·g-1) | 0.127±0.034 C | 0.125±0.007 C | 0.233±0.011 B | 0.263±0.015 A |
类胡萝卜素/叶绿素Car/Chl | 0.134±0.021 A | 0.132±0.030 A | 0.083±0.010 B | 0.094±0.004 B |
表2 不同遮阴处理下叶片的光和色素含量
Table 2 Contents of photosynthetic pigments in leaf under different shade treatments
性状Trait | CK | SL | SM | SH |
---|---|---|---|---|
叶绿素a含量Chl a content/(mg·g-1) | 0.606±0.121 C | 0.621±0.076 C | 1.440±0.297 B | 1.716±0.160 A |
叶绿素b含量Chl b content/(mg·g-1) | 0.332±0.065 B | 0.361±0.101 B | 0.946±0.352 A | 1.088±0.114 A |
叶绿素总含量Chl a+b content/(mg·g-1) | 0.938±0.181 C | 0.983±0.176 C | 2.386±0.348 B | 2.804±0.273 A |
叶绿素a/b Chl a/b | 1.834±0.202 a | 1.794±0.314 ab | 1.628±0.329 ab | 1.578±0.123 b |
类胡萝卜素含量Car content/(mg·g-1) | 0.127±0.034 C | 0.125±0.007 C | 0.233±0.011 B | 0.263±0.015 A |
类胡萝卜素/叶绿素Car/Chl | 0.134±0.021 A | 0.132±0.030 A | 0.083±0.010 B | 0.094±0.004 B |
图1 不同遮阴处理幼苗叶片的可溶性糖、淀粉和非结构性碳水化合物含量注:不同小写字母表示不同处理间在P<0.05水平差异显著。
Fig. 1 Contents of soluble sugar, starch and NSC in leaves of seedlings under different shade treatmentsNote:Different lowercase letters indicate significant differences between different treatments at P<0.05 level.
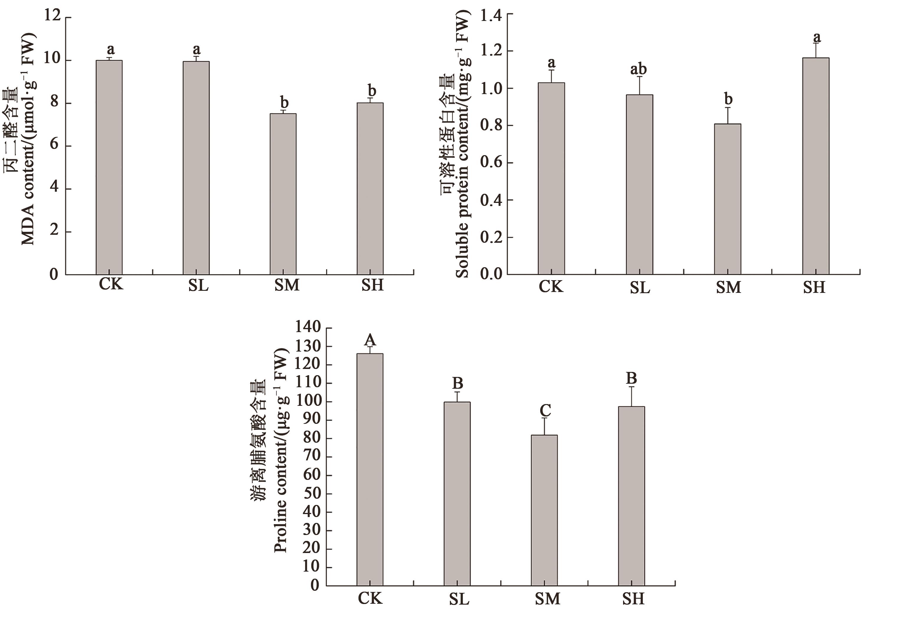
图2 不同遮阴处理下幼苗叶片的丙二醛、可溶性蛋白质和游离脯氨酸含量注:同行不同大、小写字母分别表示不同处理间在P<0.01和P<0.05水平差异显著。
Fig. 2 Contents of malondialdehyde, soluble protein and proline in leaves of seedlings under different shade treatmentsNote:Different capital letters and lowercase letters in same row indicate significant differences between different treatments at P<0.01 and P<0.05 levels, respectively.
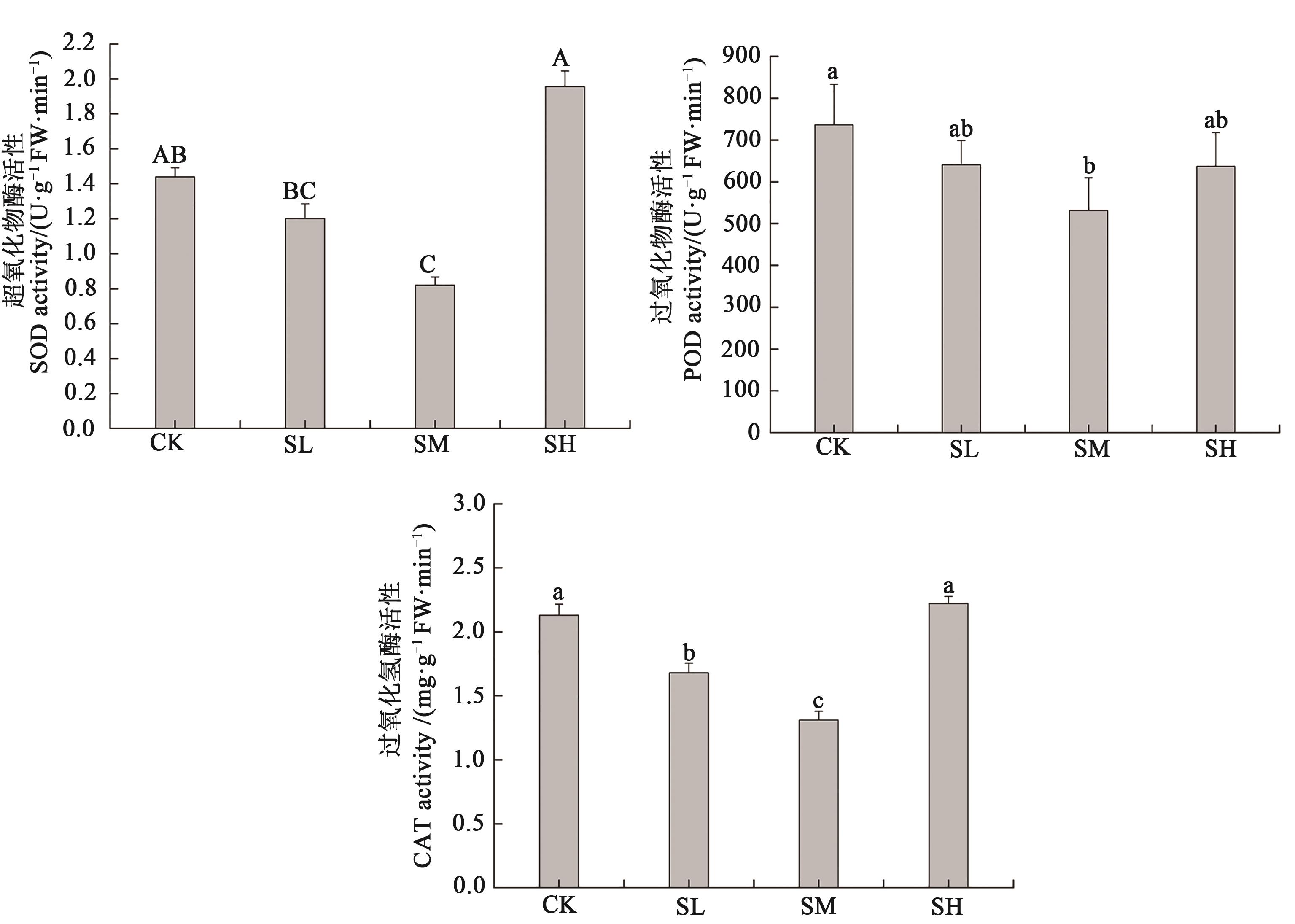
图3 不同遮阴处理下幼苗叶片的抗氧化酶活性注:同行不同大、小写字母分别表示不同处理间在P<0.01和P<0.05水平差异显著。
Fig. 3 Activities of antioxidant enzyme in leaves of seedlings under different shade treatmentNote:Different capital letters and lowercase letters in same row indicate significant differences between different treatments at P<0.01 and P<0.05 levels, respectively.
指标 Index | 第1主成分 Principal component 1 | 第2主成分 Principal component 2 | 第3主成分 Principal component 3 |
---|---|---|---|
叶鲜重LFW | 0.27 | 0.95 | -0.06 |
叶干重LDW | 0.16 | 0.98 | -0.06 |
叶片含水率LMC | 0.74 | -0.55 | -0.14 |
叶长LL | 0.21 | 0.98 | 0.06 |
叶宽LW | 0.27 | 0.94 | 0.23 |
叶形指数LSI | -0.23 | -0.76 | -0.61 |
叶面积LA | 0.21 | 0.98 | -0.04 |
比叶面积SLA | 0.32 | -0.93 | -0.20 |
比叶质量LMA | -0.28 | 0.95 | 0.14 |
丙二醛MDA | -0.97 | -0.11 | -0.22 |
游离脯氨酸Pro | 0.10 | 0.14 | 0.99 |
过氧化氢酶CAT | 0.08 | 0.09 | 0.99 |
过氧化物酶POD | 0.31 | 0.02 | -0.93 |
淀粉Strach | -0.91 | -0.12 | -0.40 |
可溶性糖SS | -0.92 | -0.06 | 0.40 |
非结构性碳水化合物NSC | -0.96 | -0.08 | 0.26 |
超氧化物歧化酶SOD | 0.18 | 0.09 | 0.98 |
可溶性蛋白SP | 0.36 | 0.11 | 0.93 |
叶绿素a Chl a | 0.96 | 0.12 | 0.25 |
叶绿素b Chl b | 0.98 | 0.11 | 0.19 |
叶绿素总量Chl a+b | 0.97 | 0.11 | 0.22 |
叶绿素a/b Chl a/b | -0.99 | -0.09 | 0.07 |
类胡萝卜素Carotenoid | 0.96 | 0.12 | 0.26 |
类胡萝卜素/叶绿素Car/Chl | -0.99 | -0.10 | -0.02 |
特征值Eigenvalue | 10.55 | 7.43 | 5.79 |
贡献率Contribution rate/% | 43.97 | 30.97 | 24.15 |
累计贡献率Cumulative contribution rate/% | 43.97 | 74.94 | 99.09 |
表3 主成分的成分矩阵及贡献率
Table 3 Component matrix and contribution of principal components
指标 Index | 第1主成分 Principal component 1 | 第2主成分 Principal component 2 | 第3主成分 Principal component 3 |
---|---|---|---|
叶鲜重LFW | 0.27 | 0.95 | -0.06 |
叶干重LDW | 0.16 | 0.98 | -0.06 |
叶片含水率LMC | 0.74 | -0.55 | -0.14 |
叶长LL | 0.21 | 0.98 | 0.06 |
叶宽LW | 0.27 | 0.94 | 0.23 |
叶形指数LSI | -0.23 | -0.76 | -0.61 |
叶面积LA | 0.21 | 0.98 | -0.04 |
比叶面积SLA | 0.32 | -0.93 | -0.20 |
比叶质量LMA | -0.28 | 0.95 | 0.14 |
丙二醛MDA | -0.97 | -0.11 | -0.22 |
游离脯氨酸Pro | 0.10 | 0.14 | 0.99 |
过氧化氢酶CAT | 0.08 | 0.09 | 0.99 |
过氧化物酶POD | 0.31 | 0.02 | -0.93 |
淀粉Strach | -0.91 | -0.12 | -0.40 |
可溶性糖SS | -0.92 | -0.06 | 0.40 |
非结构性碳水化合物NSC | -0.96 | -0.08 | 0.26 |
超氧化物歧化酶SOD | 0.18 | 0.09 | 0.98 |
可溶性蛋白SP | 0.36 | 0.11 | 0.93 |
叶绿素a Chl a | 0.96 | 0.12 | 0.25 |
叶绿素b Chl b | 0.98 | 0.11 | 0.19 |
叶绿素总量Chl a+b | 0.97 | 0.11 | 0.22 |
叶绿素a/b Chl a/b | -0.99 | -0.09 | 0.07 |
类胡萝卜素Carotenoid | 0.96 | 0.12 | 0.26 |
类胡萝卜素/叶绿素Car/Chl | -0.99 | -0.10 | -0.02 |
特征值Eigenvalue | 10.55 | 7.43 | 5.79 |
贡献率Contribution rate/% | 43.97 | 30.97 | 24.15 |
累计贡献率Cumulative contribution rate/% | 43.97 | 74.94 | 99.09 |
指标Index | 叶片含水量LMC | 丙二醛MDA | 淀粉Starch | 可溶性糖SS | 非结构性碳水化合物NSC | 叶绿素a Chl a | 叶绿素总含量Chl a+b | 叶绿素b Chl b | 叶绿素a/b Chl a/b | 类胡萝卜素Car |
---|---|---|---|---|---|---|---|---|---|---|
丙二醛MDA | -0.44 | |||||||||
淀粉Starch | -0.14 | 0.70** | ||||||||
可溶性糖SS | -0.13 | 0.54* | 0.86** | |||||||
非结构性碳水化合物NSC | -0.15 | 0.59** | 0.91** | 0.99** | ||||||
叶绿素a Chl a | 0.26 | -0.59** | -0.79** | -0.52* | -0.59** | |||||
叶绿素总含量Chl a+b | 0.23 | -0.53** | -0.74** | -0.46* | -0.53** | 0.99** | ||||
叶绿素b Chl b | 0.21 | -0.46* | -0.68** | -0.38 | -0.45* | 0.98** | 0.99** | |||
叶绿素a/b Chl a/b | -0.17 | 0.05 | 0.10 | -0.07 | -0.03 | -0.57** | -0.63** | -0.69** | ||
类胡萝卜素Car | 0.28 | -0.77** | -0.91** | -0.72** | -0.78** | 0.92** | 0.88** | 0.83** | -0.27 | |
类胡萝卜素/叶绿素Car/Chl | -0.26 | 0.72** | 0.48* | 0.25 | 0.31 | -0.73** | -0.74** | -0.75** | 0.71** | -0.62** |
表4 第1主成分各指标的相关分析
Table 4 Correlation analysis among indexes of the first principal component
指标Index | 叶片含水量LMC | 丙二醛MDA | 淀粉Starch | 可溶性糖SS | 非结构性碳水化合物NSC | 叶绿素a Chl a | 叶绿素总含量Chl a+b | 叶绿素b Chl b | 叶绿素a/b Chl a/b | 类胡萝卜素Car |
---|---|---|---|---|---|---|---|---|---|---|
丙二醛MDA | -0.44 | |||||||||
淀粉Starch | -0.14 | 0.70** | ||||||||
可溶性糖SS | -0.13 | 0.54* | 0.86** | |||||||
非结构性碳水化合物NSC | -0.15 | 0.59** | 0.91** | 0.99** | ||||||
叶绿素a Chl a | 0.26 | -0.59** | -0.79** | -0.52* | -0.59** | |||||
叶绿素总含量Chl a+b | 0.23 | -0.53** | -0.74** | -0.46* | -0.53** | 0.99** | ||||
叶绿素b Chl b | 0.21 | -0.46* | -0.68** | -0.38 | -0.45* | 0.98** | 0.99** | |||
叶绿素a/b Chl a/b | -0.17 | 0.05 | 0.10 | -0.07 | -0.03 | -0.57** | -0.63** | -0.69** | ||
类胡萝卜素Car | 0.28 | -0.77** | -0.91** | -0.72** | -0.78** | 0.92** | 0.88** | 0.83** | -0.27 | |
类胡萝卜素/叶绿素Car/Chl | -0.26 | 0.72** | 0.48* | 0.25 | 0.31 | -0.73** | -0.74** | -0.75** | 0.71** | -0.62** |
指标Index | 叶片鲜重LFW | 叶片干重LDW | 叶长LL | 叶宽LW | 叶形指数LSI | 叶面积LA | 比叶面积SLA |
---|---|---|---|---|---|---|---|
叶片干重LDW | 0.97** | ||||||
叶长LL | 0.96** | 0.95** | |||||
叶宽LW | 0.95** | 0.94** | 0.95** | ||||
叶形指数LSI | -0.61** | -0.62** | -0.55** | -0.76** | |||
叶面积LA | 0.96** | 0.94** | 0.97** | 0.96** | -0.65** | ||
比叶面积SLA | -0.07 | -0.16 | 0.05 | 0.05 | -0.01 | 0.14 | |
比叶质量LMA | 0.05 | 0.13 | -0.07 | -0.08 | 0.05 | -0.16 | -0.98** |
表5 第2主成分各指标的相关分析
Table 5 Correlation analysis among indexes of the second principal component
指标Index | 叶片鲜重LFW | 叶片干重LDW | 叶长LL | 叶宽LW | 叶形指数LSI | 叶面积LA | 比叶面积SLA |
---|---|---|---|---|---|---|---|
叶片干重LDW | 0.97** | ||||||
叶长LL | 0.96** | 0.95** | |||||
叶宽LW | 0.95** | 0.94** | 0.95** | ||||
叶形指数LSI | -0.61** | -0.62** | -0.55** | -0.76** | |||
叶面积LA | 0.96** | 0.94** | 0.97** | 0.96** | -0.65** | ||
比叶面积SLA | -0.07 | -0.16 | 0.05 | 0.05 | -0.01 | 0.14 | |
比叶质量LMA | 0.05 | 0.13 | -0.07 | -0.08 | 0.05 | -0.16 | -0.98** |
指标Index | 脯氨酸Pro | 过氧化氢酶CAT | 过氧化物酶POD | 超氧化物歧化酶SOD |
---|---|---|---|---|
过氧化氢酶CAT | 0.60** | |||
过氧化物酶POD | 0.61** | 0.30 | ||
超氧化物歧化酶SOD | 0.21 | 0.57** | 0.06 | |
可溶性蛋白SP | 0.48* | 0.53** | 0.50** | 0.68** |
表6 第3主成分各指标的相关分析
Table 6 Correlation analysis among indexes of the third principal component
指标Index | 脯氨酸Pro | 过氧化氢酶CAT | 过氧化物酶POD | 超氧化物歧化酶SOD |
---|---|---|---|---|
过氧化氢酶CAT | 0.60** | |||
过氧化物酶POD | 0.61** | 0.30 | ||
超氧化物歧化酶SOD | 0.21 | 0.57** | 0.06 | |
可溶性蛋白SP | 0.48* | 0.53** | 0.50** | 0.68** |
指标Index | CK | SL | SM | SH |
---|---|---|---|---|
丙二醛MDA | 0.000 | 0.019 | 1.000 | 0.594 |
非结构性碳水化合物NSC | 1.000 | 0.475 | 0.245 | 0.000 |
叶绿素Chl (a+b) | 0.000 | 0.024 | 0.776 | 1.000 |
叶绿素a/b Chl a/b | 1.000 | 0.845 | 0.196 | 0.000 |
叶鲜重LFW | 0.000 | 0.002 | 0.864 | 1.000 |
比叶面积LA | 0.000 | 0.344 | 0.796 | 1.000 |
脯氨酸Pro | 0.000 | 0.591 | 1.000 | 0.649 |
超氧化物歧化酶SOD | 0.444 | 0.649 | 1.000 | 0.000 |
均值Mean | 0.305 | 0.364 | 0.721 | 0.540 |
排名Rank | 4 | 3 | 1 | 2 |
表7 不同处理树番茄幼苗的隶属函数值
Table 7 Membership function values of the seedlings under different treatments
指标Index | CK | SL | SM | SH |
---|---|---|---|---|
丙二醛MDA | 0.000 | 0.019 | 1.000 | 0.594 |
非结构性碳水化合物NSC | 1.000 | 0.475 | 0.245 | 0.000 |
叶绿素Chl (a+b) | 0.000 | 0.024 | 0.776 | 1.000 |
叶绿素a/b Chl a/b | 1.000 | 0.845 | 0.196 | 0.000 |
叶鲜重LFW | 0.000 | 0.002 | 0.864 | 1.000 |
比叶面积LA | 0.000 | 0.344 | 0.796 | 1.000 |
脯氨酸Pro | 0.000 | 0.591 | 1.000 | 0.649 |
超氧化物歧化酶SOD | 0.444 | 0.649 | 1.000 | 0.000 |
均值Mean | 0.305 | 0.364 | 0.721 | 0.540 |
排名Rank | 4 | 3 | 1 | 2 |
1 | 李小琴,张凤良,杨湉,等.遮阴对濒危植物风吹楠幼苗叶形态和光合参数的影[J].植生理学报,2019,55(1):80-90. |
LI X Q, ZHANG F L, YANG T, et al.. Effect of shading on leaf morphology and photosynthetic parameters in endangered Horsfieldia glabra seedlings [J]. Plant Physiol. J., 2019, 55(1):80-90. | |
2 | CLELAND R E, MELIS A, NEALE P J. Mechanism of photoinhibition: photochemical reaction center inactivation in system II of chloroplasts [J]. PHS Res., 1986, 9(1-2):79-88. |
3 | 何欣,张攀伟,丁传雨,等.弱光下硝铵比对小白菜氮吸收和碳氮分配的影响[J].土壤学报, 2009, 46 (3):452-458. |
HE X, ZHANG P W, DING C Y, et al.. Effects of nitrate/ammonium ratio on nitrate absorption and distribution of carbon and nitrogen in pakchoi growing under low light intensity [J]. Acta Pedol. Sin., 2009, 46(3):452-458. | |
4 | DAI Y, SHEN Z, LIU Y, et al.. Effects of shade treatments on the photosynthetic capacity, chlorophyll fluorescence, and chlorophyll content of Tetrastigma hemsleyanum Diels et Gilg [J]. Environ. Experim. Bot., 2009, 65(2-3):177-182. |
5 | JALEEL C A, RIADH K, GOPI R, et al.. Antioxidant defense responses: physiological plasticity in higher plants under abiotic constraints [J]. Acta Physiol. Plantarum., 2009, 31(3):427-436. |
6 | 郭品湘,尹婷,粟春青,等.遮阴对双色木番茄幼苗生理特性的影响[J].森林与环境学报, 2020, 40(1):76-82. |
GUO P X, YIN T, SU C Q, et al.. Effects of shade on the physiological characteristics of Solanum wrightii seedlings [J]. J. For. Environ., 2020, 40(1):76-82. | |
7 | 中国科学院中国植物编辑委员会.中国植物志[M].北京:科学出版社,1978:141. |
8 | 张东华,汪庆平.具有开发前景的热带果蔬植物——树番茄[J].资源开发与市场,1999,14(5): 209-210. |
9 | KOU M C, YEN J H, HONG J T, et al.. Cyphomandra Betacea Sendt. phenolics protect ldl from oxidation and PC12 cells from oxidative stress [J]. LWT Food Sci. Technol. 2009, 42(2):458-463. |
10 | JOSHI U J, GADGE A S, D’MELLO P, et al.. Anti-inflammatory, antioxidant and anticancer activity of quercetin and its analogues [J]. Int. J. Res. Pharma Biomed. Sci., 2011, 2:1756-1766. |
11 | MUTALIB M A, RAHMAT A, ALI F, et al.. Nutritional compositions and antiproliferative activities of different solvent fractions from ethanol extract of Cyphomandra betacea (Tamarillo) fruit [J]. Malays. J. Med. Sci., 2017, 24(5):19-32. |
12 | LIM T K. Solanum Betaceam. In: Edible Medicinal and Non-Medicinal Plants [M]. Dordrecht: Springer, 2013:326-332. |
13 | 郭碧瑜,周伟华,叶青莲,等.树番茄的生物学特性及栽培技术[J].广东农业科学,2007, 34(12):102-103. |
GUO B Y, ZHOU W H, YE Q L, et al.. Biological characteristics and cultivation techniques of Cyphomandra betacea [J]. Guangdong Agric. Sci., 2007, 34(12):102-103. | |
14 | 董琼,何祯,徐云鹏,等.不同基质对树番茄穴盘育苗效果的影响[J].种子,2012, 31(5):50-53. |
DONG Q, HE Z, XU Y P, et al.. Effect of different basal fertilizers on Cyphomandra betacea Plug seeding breeding [J]. Seed, 2012, 31(5):50-53. | |
15 | 黄科文,李嘉宇,李祉钰,等.喷施脱落酸对树番茄幼苗生理特性及镉吸收的影响[J]. 土壤通报, 2020,51(1):207-213. |
HUANG K W, LI J Y, LI Z Y, et al.. Effects of spraying abscisic acid on physiological characteristics and cadmium uptake of Cyphomandra Beracea seedlings [J]. J. Soil Sci., 2020, 51(1):207-213. | |
16 | 董琼,李世民,高尚杰,等.不同种源树番茄果实品质比较及综合分析[J].食品与发酵工业,2022,48(4):266-273. |
DONG Q, LI S M, GAO S J, et al.. Comparison and comprehensive analysis of fruit quality of Cyphomandra betacea from different provenance [J]. Food Ferment. Ind., 2022,48(4):266-273. | |
17 | CHEN X, FEDRIZZI B, KILMARTIN P A, et al.. Free and glycosidic volatiles in tamarillo (Solanum betaceum Cav. syn. betaceaSendtCyphomandra.) juices prepared from three cultivars grown in New Zealand [J/OL]. J. Agric. Food Chem., 2021,69(15):837[2021-03-10]. . |
18 | 路文静,李奕松.植物生理学实验教程[M].北京:中国林业出版社,2011:130-132. |
LU W J, LI Y S. Experimental Course of Plant Physiology [M]. Beijing: China Forestry Association, 2011:130-132. | |
19 | 黄溦溦,张念念,胡庭兴,等高温胁迫对不同种源希蒙得木叶片生理特性的影响 [J].生态学报, 2011,31(23):62-70. |
HUANG W W, ZHANG N N, HU T X, et al.. Effects of high-temperature stress on physiological characteristics of leaves of Simmondsia Chinensis seedlings from different provenances [J]. Acta Ecol. Sin., 2011, 31(23):7047-7055. | |
20 | 张辉,赵秋红.基于主成分分析基本原理的经济指标的筛选方法[J].山东财政学院学报, 2013(2):52-61. |
ZHANG H, ZHAO Q H. An economic indicator screening method based on fundamental principle of principal components analysis [J]. J. Shandong Univ. Fin. Econ., 2013(2):52-61. | |
21 | 刘卓.不同苜蓿品种耐盐性、抗旱性比较的研究[D].长春:吉林农业大学,2008. |
LIU Z. Study and appraisal of salt tolerance drought resistance capacity of different alfalfa cultivars [D]. Changchun: Jilin Agricultural University, 2008. | |
22 | REICH P B, BUSCHENA C T, JOELKER M G, et al.. Variation in growth rate and ecophysiology among 34 grassland and savanna species under contrasting N supply: a test of functional group differences [J]. New Phytol., 2010, 157(3):617-631. |
23 | ACKERLY D, KNIGHT C, WEISS S, et al.. Leaf size, specific leaf area and microhabitat distribution of chaparral woody plants: contrasting patterns in species level and community level analyses [J]. Oecologia, 2002, 130(3):449-457. |
24 | 马天光,李向义,林丽莎,等.遮阴对骆驼刺叶性状和水分生理的影响[J].生态学报,2018,38(23):8466-8474. |
MA T G, LI X Y, LIN L S, et al.. The effects of shade on leaf traits and water physiological characteristics in Alhagi sparsifolia [J]. Acta Ecol. Sin., 2018, 38(23):8466-8474. | |
25 | 张斌斌,姜卫兵,翁忙玲,等.遮阴对红叶桃叶片光合生理的影响[J].园艺学报,2010,37(8):1287-1294. |
ZHANG B B, JIANG W B, WENG M L, et al.. Effects of shading on photosynthetic characteristics of red-leaf peach [J]. Acta Hortic. Sin., 2010, 37(8):1287-1294. | |
26 | 刘忆文,董彦娜,白靖怡,等.加拿大美女樱的耐荫性[J].江苏农业学报,2017,33(6):1438-1440. |
LIU Y W, DONG Y N, BAI J Y, et al.. Study on the shade tolerance of Verbenr hybrida [J]. Jiangsu J. Agric. Sci., 2017, 33(6):1438-1440. | |
27 | BERTAMINI M, MUTHUCHELIAN K, NEDUNCHEZHIAN N. Shade effect alters leaf pigments and photosynthetic responses in Norway spruce (Picea abies L.) grown under field conditions [J]. Photosynthetica, 2006, 44(2):227-234. |
28 | WILLEKENS H, CAMP W V, MONTAGU M V, et al.. Ozone, sulfur dioxide, and ultraviolet b have similar effects on mRNA accumulation of antioxidant genes in Nicotiana plumbag-inifolia L. [J]. Plant Physiol., 1994, 106(3):1007-1014. |
29 | 潘庆民,韩兴国,白永飞,等.植物非结构性贮藏碳水化合物的生理生态学研究进展[J].植物学通报,2002,19(1):30-38. |
PANG Q M, HAN X G, BAI Y F, et al.. Advances in physiology and ecology studies on stored non-structure carbohydrates in plants [J]. Bull. Bot., 2002,19(1):30-38. | |
30 | 黄河腾,黄剑坚,陈杰,等.不同遮阴环境下木奶果幼苗生长与生理生化的响应[J].生态学杂志, 2020,39(5):1538-1547. |
HUANG H T, HUANH J J, CHEN J, et al.. Growth, physiological and biochemical response of Baccaurea ramiflora Lour. seedlings to different shading environments [J]. Chin. J. Ecol., 2020, 39(5):1538-1547. | |
31 | 赵子豪,宋琦,李利,等.南方四季杨雌雄幼苗对镉胁迫光合生理响应的差异[J].森林与环境学报,2019,39(2):201-207. |
ZHAO Z H, SONG Q, LI L, et al.. Difference in photosynthesis and physiological response of male and female Populus deltoides nigrato Cd stress [J]. J. For. Environ., 2019, 39(2):201-207. | |
32 | 唐钢梁,李向义,林丽莎,等.骆驼刺在不同遮阴下的水分状况变化及其生理响应[J].植物生态学报,2013,37(4):354-364. |
TANG G L, LI X Y, LIN L S, et al.. Change of different shading on moisture conditions and the physiological response in Alhagi sparsifolia [J]. J. Plant Ecol., 2013, 37(4):354-364. | |
33 | 苍晶,李唯.植物生理学[M].北京:高等教育出版社,2017:356. |
CANG J, LI W. Plant Physiology [M]. Beijing: Higher Education Press, 2017:356. |
[1] | 赵鸿硕, 曹红雨, 高广磊, 孙哲, 张英, 丁国栋. 微生物诱导碳酸钙沉淀固沙对典型沙生植物叶片性状和生理特性的影响[J]. 中国农业科技导报, 2024, 26(6): 170-182. |
[2] | 褚蓉蓉, 冯国庆, 张中一, 刘慧娇, 董家鑫, 文章镇, 高祥斌, 解孝满, 刘丹. 不同树龄国槐叶片性状特征及其适应策略研究[J]. 中国农业科技导报, 2024, 26(3): 48-56. |
[3] | 郭昊, 谭荣雷, 杨锦鹏, 余君, 黄文昌, 杨久红, 乔保明, 杨瑞玮, 徐芳森, 杨春雷, 丁广大. 遮阴栽培对雪茄茄衣烟叶叶面均匀性的影响[J]. 中国农业科技导报, 2024, 26(2): 216-225. |
[4] | 董伟欣, 李东晓, 张月辰. 不同氮素水平对夏玉米生理参数及产量品质的影响[J]. 中国农业科技导报, 2023, 25(1): 142-152. |
[5] | 罗俊, 周宏, 钱发聪, 李军营. 遮阴对烤烟烟碱合成调控的影响[J]. 中国农业科技导报, 2022, 24(2): 115-123. |
[6] | 通旭芳,汪季*,蒙仲举,魏亚娟. 光伏电板下沙打旺叶片性状及其养分差异研究[J]. 中国农业科技导报, 2020, 22(8): 168-177. |
阅读次数 | ||||||
全文 |
|
|||||
摘要 |
|
|||||