中国农业科技导报 ›› 2023, Vol. 25 ›› Issue (1): 175-186.DOI: 10.13304/j.nykjdb.2021.0567
李耕1(), 赵园园1, 程玉渊2, 吴疆2, 段卫东3, 尹光庭3, 李倩2, 陈晨2, 郑飞2, 刘园2, 史宏志1(
)
收稿日期:
2021-07-12
接受日期:
2021-11-22
出版日期:
2023-01-15
发布日期:
2023-04-17
通讯作者:
史宏志
作者简介:
李耕 E-mail:843049981@qq.com;
基金资助:
Geng LI1(), Yuanyuan ZHAO1, Yuyuan CHENG2, Jiang WU2, Weidong DUAN3, Guangting YIN3, Qian LI2, Chen CHEN2, Fei ZHENG2, Yuan LIU2, Hongzhi SHI1(
)
Received:
2021-07-12
Accepted:
2021-11-22
Online:
2023-01-15
Published:
2023-04-17
Contact:
Hongzhi SHI
摘要:
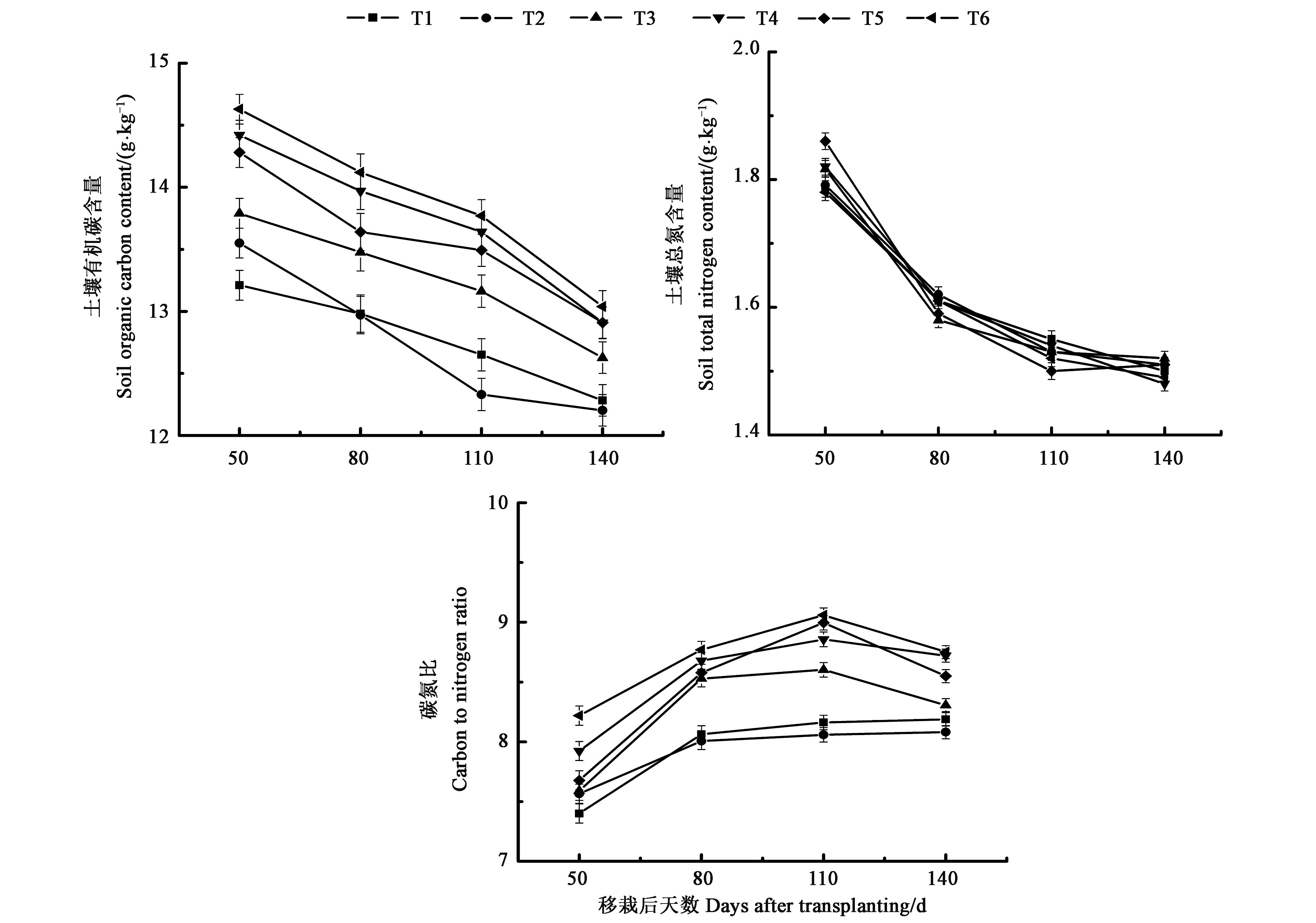
为探究不同有机肥与无机肥比配对南阳烟区烟草上部叶品质、改善土壤碳氮结构的作用,以烤烟品种云烟87为试验材料,以沼渣和芝麻饼肥为有机氮源,根据有机氮∶无机氮的不同配比设置6个处理[T1(0∶10,纯化肥)、T2(1∶9)、T3(2∶8)、T4(3∶7)、T5(4∶6)、T6(5∶5)],对相应的烟叶和土壤样品进行检测分析。结果表明,与T1处理相比,施用沼渣有机肥和芝麻饼肥处理的烟草叶片大小、单叶重、钾氯比、淀粉含量、产值、香气总量等均显著提升,其中T4处理烟叶的叶长、叶宽、钾离子含量、淀粉含量、均价、产值、香气总量分别较T1处理提升了9.23%、10.49%、21.79%、31.91%、21.31%、26.57%、19.92%。与T1处理相比,施用有机肥处理的土壤有机碳含量、土壤碳氮比及微生物量碳、氮含量均明显提高。在南阳烟区按照有机氮∶无机氮配比为3∶7施用沼渣有机肥和芝麻饼肥能够有效提升烟草上部叶质量、耐熟性及成熟度,并改善土壤碳氮比。
中图分类号:
李耕, 赵园园, 程玉渊, 吴疆, 段卫东, 尹光庭, 李倩, 陈晨, 郑飞, 刘园, 史宏志. 不同有机无机氮配比对南阳烟区土壤碳氮及烤烟上部叶质量的影响[J]. 中国农业科技导报, 2023, 25(1): 175-186.
Geng LI, Yuanyuan ZHAO, Yuyuan CHENG, Jiang WU, Weidong DUAN, Guangting YIN, Qian LI, Chen CHEN, Fei ZHENG, Yuan LIU, Hongzhi SHI. Effects of Different Organic-inorganic Nitrogen Ratios on Soil Carbon and Nitrogen and Upper Leaf Quality in Nanyang Tobacco Area[J]. Journal of Agricultural Science and Technology, 2023, 25(1): 175-186.
处理 Treatment | 有机氮∶无机氮 Organic nitrogen∶inorganic nitrogen | 芝麻饼 Sesame cake/ (kg·hm-2) | 沼渣 Biogas residue/ (kg·hm-2) | C含量 C content/ (kg·hm-2) | 无机N含量 Inorganic N content/ (kg·hm-2) | 有机N含量 Organic N content/ (kg·hm-2) |
---|---|---|---|---|---|---|
T1 | 0∶10 | 0.00 | 0.00 | 0.00 | 52.50 | 0.00 |
T2 | 1∶9 | 240 | 0.00 | 119.52 | 47.25 | 5.25 |
T3 | 2∶8 | 240 | 240 | 219.12 | 42.00 | 10.50 |
T4 | 3∶7 | 240 | 480 | 318.72 | 36.75 | 15.75 |
T5 | 4∶6 | 240 | 720 | 418.32 | 31.50 | 21.00 |
T6 | 5∶5 | 240 | 960 | 517.92 | 26.25 | 26.25 |
表1 试验处理设计
Table 1 Experimental treatment design
处理 Treatment | 有机氮∶无机氮 Organic nitrogen∶inorganic nitrogen | 芝麻饼 Sesame cake/ (kg·hm-2) | 沼渣 Biogas residue/ (kg·hm-2) | C含量 C content/ (kg·hm-2) | 无机N含量 Inorganic N content/ (kg·hm-2) | 有机N含量 Organic N content/ (kg·hm-2) |
---|---|---|---|---|---|---|
T1 | 0∶10 | 0.00 | 0.00 | 0.00 | 52.50 | 0.00 |
T2 | 1∶9 | 240 | 0.00 | 119.52 | 47.25 | 5.25 |
T3 | 2∶8 | 240 | 240 | 219.12 | 42.00 | 10.50 |
T4 | 3∶7 | 240 | 480 | 318.72 | 36.75 | 15.75 |
T5 | 4∶6 | 240 | 720 | 418.32 | 31.50 | 21.00 |
T6 | 5∶5 | 240 | 960 | 517.92 | 26.25 | 26.25 |
图1 不同处理下植烟土壤有机碳含量、总氮含量、碳氮比
Fig.1 Soil organic carbon content, total nitrogen content and carbon to nitrogen ratio of tobacco?growing soils under different treatments
处理 Treatment | 叶长 Leaf length/ cm | 叶宽 Leaf width/ cm | 叶面积 Leaf area/ cm2 | 单叶重 Single leaf weight/g | 含梗率 Midrib ratio/% | 叶片厚度 Leaf thickness/mm | 拉力 Tensile strength/N | 平衡含水率 Equilibrium moisture content/% |
---|---|---|---|---|---|---|---|---|
T1 | 66.52 b | 25.54 b | 39.20 c | 17.62 c | 24.22 a | 0.24 a | 3.03 cd | 18.05 d |
T2 | 68.34 ab | 26.56 ab | 40.49 bc | 18.34 bc | 24.18 a | 0.21 b | 3.27 b | 23.28 a |
T3 | 69.60 ab | 27.10 ab | 41.27 ab | 19.24 ab | 23.41 a | 0.20 c | 3.22 bc | 21.27 b |
T4 | 72.66 a | 28.22 a | 43.03 a | 20.39 a | 23.37 a | 0.20 c | 4.48 a | 17.39 d |
T5 | 70.78 ab | 27.74 a | 42.09 ab | 18.66 bc | 23.58 a | 0.17 d | 2.85 d | 16.29 e |
T6 | 68.26 ab | 26.40 ab | 40.35 bc | 18.34 bc | 24.96 a | 0.15 e | 2.48 e | 19.88 c |
表2 不同处理下烟草上部叶物理性状
Table 2 Physical properties of tobacco upper leaves under different treatments
处理 Treatment | 叶长 Leaf length/ cm | 叶宽 Leaf width/ cm | 叶面积 Leaf area/ cm2 | 单叶重 Single leaf weight/g | 含梗率 Midrib ratio/% | 叶片厚度 Leaf thickness/mm | 拉力 Tensile strength/N | 平衡含水率 Equilibrium moisture content/% |
---|---|---|---|---|---|---|---|---|
T1 | 66.52 b | 25.54 b | 39.20 c | 17.62 c | 24.22 a | 0.24 a | 3.03 cd | 18.05 d |
T2 | 68.34 ab | 26.56 ab | 40.49 bc | 18.34 bc | 24.18 a | 0.21 b | 3.27 b | 23.28 a |
T3 | 69.60 ab | 27.10 ab | 41.27 ab | 19.24 ab | 23.41 a | 0.20 c | 3.22 bc | 21.27 b |
T4 | 72.66 a | 28.22 a | 43.03 a | 20.39 a | 23.37 a | 0.20 c | 4.48 a | 17.39 d |
T5 | 70.78 ab | 27.74 a | 42.09 ab | 18.66 bc | 23.58 a | 0.17 d | 2.85 d | 16.29 e |
T6 | 68.26 ab | 26.40 ab | 40.35 bc | 18.34 bc | 24.96 a | 0.15 e | 2.48 e | 19.88 c |
处理 Treatment | 蛋白质 Protein/ % | 淀粉 Starch/ % | 还原糖 Reducing sugar/ % | 钾 Potassium/ % | 氯 Chlorine/ % | 烟碱 Nicotine/ % | 总氮 Total nitrogen/ % | 总糖 Total sugar/ % | 钾氯比 Ratio of potassium to chlorine | 糖碱比 Ratio of sugar to nicotine | 氮碱比 Ratio of nitrogen to nicotine |
---|---|---|---|---|---|---|---|---|---|---|---|
T1 | 13.51 a | 2.35 c | 17.92 bc | 1.26 e | 1.01 b | 2.66 a | 2.43 c | 23.63 c | 1.25 d | 6.74 d | 0.93 d |
T2 | 11.96 c | 2.60 b | 17.78 bc | 1.62 c | 1.11 a | 2.61 a | 2.50 c | 23.80 c | 1.45 d | 6.81 cd | 0.96 cd |
T3 | 13.00 ab | 2.70 b | 17.24 c | 1.64 bc | 1.05 b | 2.46 b | 2.65 b | 24.27 bc | 1.56 c | 7.01 c | 1.08 b |
T4 | 12.56 bc | 3.10 a | 18.03 bc | 1.90 a | 0.93 c | 2.14 c | 2.45 c | 25.36 b | 2.04 a | 8.43 a | 1.14 a |
T5 | 13.09 ab | 2.42 c | 19.03 a | 1.71 b | 1.04 b | 2.58 a | 3.08 a | 26.62 a | 1.64 b | 7.38 b | 1.19 a |
T6 | 12.27 c | 2.30 c | 18.45 ab | 1.48 d | 1.04 b | 2.42 b | 2.63 b | 24.85 bc | 1.43 d | 7.62 b | 1.18 a |
表3 不同处理下烟草上部叶化学成分
Table 3 Chemical constituents of tobacco upper leaves under different treatments
处理 Treatment | 蛋白质 Protein/ % | 淀粉 Starch/ % | 还原糖 Reducing sugar/ % | 钾 Potassium/ % | 氯 Chlorine/ % | 烟碱 Nicotine/ % | 总氮 Total nitrogen/ % | 总糖 Total sugar/ % | 钾氯比 Ratio of potassium to chlorine | 糖碱比 Ratio of sugar to nicotine | 氮碱比 Ratio of nitrogen to nicotine |
---|---|---|---|---|---|---|---|---|---|---|---|
T1 | 13.51 a | 2.35 c | 17.92 bc | 1.26 e | 1.01 b | 2.66 a | 2.43 c | 23.63 c | 1.25 d | 6.74 d | 0.93 d |
T2 | 11.96 c | 2.60 b | 17.78 bc | 1.62 c | 1.11 a | 2.61 a | 2.50 c | 23.80 c | 1.45 d | 6.81 cd | 0.96 cd |
T3 | 13.00 ab | 2.70 b | 17.24 c | 1.64 bc | 1.05 b | 2.46 b | 2.65 b | 24.27 bc | 1.56 c | 7.01 c | 1.08 b |
T4 | 12.56 bc | 3.10 a | 18.03 bc | 1.90 a | 0.93 c | 2.14 c | 2.45 c | 25.36 b | 2.04 a | 8.43 a | 1.14 a |
T5 | 13.09 ab | 2.42 c | 19.03 a | 1.71 b | 1.04 b | 2.58 a | 3.08 a | 26.62 a | 1.64 b | 7.38 b | 1.19 a |
T6 | 12.27 c | 2.30 c | 18.45 ab | 1.48 d | 1.04 b | 2.42 b | 2.63 b | 24.85 bc | 1.43 d | 7.62 b | 1.18 a |
处理 Treatment | 均价/(元·kg-1) Mean price/(yuan·kg-1) | 产量 Yield/(kg·hm-²) | 产值/(元·hm-²) Output value/(yuan·hm-²) | 中上等烟比例 Proportion of medium and high-grade cigarettes/% |
---|---|---|---|---|
T1 | 24.78 c | 1 537.65 a | 38 106.12 d | 62.89 e |
T2 | 26.39 b | 1 566.15 a | 41 327.15 c | 69.86 cd |
T3 | 28.95 a | 1 571.41 a | 45 487.51 b | 72.56 bc |
T4 | 30.06 a | 1 604.79 a | 48 232.22 a | 82.74 a |
T5 | 28.78 ab | 1 536.53 a | 44 209.65 b | 75.22 b |
T6 | 26.83 b | 1 544.46 a | 41 440.84 c | 68.42 d |
表4 不同处理下烟草上部叶经济性状
Table 4 Economic characteristics of tobacco upper leaves under different treatments
处理 Treatment | 均价/(元·kg-1) Mean price/(yuan·kg-1) | 产量 Yield/(kg·hm-²) | 产值/(元·hm-²) Output value/(yuan·hm-²) | 中上等烟比例 Proportion of medium and high-grade cigarettes/% |
---|---|---|---|---|
T1 | 24.78 c | 1 537.65 a | 38 106.12 d | 62.89 e |
T2 | 26.39 b | 1 566.15 a | 41 327.15 c | 69.86 cd |
T3 | 28.95 a | 1 571.41 a | 45 487.51 b | 72.56 bc |
T4 | 30.06 a | 1 604.79 a | 48 232.22 a | 82.74 a |
T5 | 28.78 ab | 1 536.53 a | 44 209.65 b | 75.22 b |
T6 | 26.83 b | 1 544.46 a | 41 440.84 c | 68.42 d |
香气物质类型 Aroma substance type | 中性致香成分 Neutral fragrance ingredients | 处理 Treatment | |||||
---|---|---|---|---|---|---|---|
T1 | T2 | T3 | T4 | T5 | T6 | ||
类胡萝卜素降解产物 Carotenoid catabolites | 愈创木酚 O-methoxy-phenol | 2.105 4 | 2.418 4 | 2.622 2 | 2.350 6 | 2.189 9 | 2.249 7 |
芳樟醇 Linalool | 0.658 1 | 0.765 3 | 0.692 1 | 0.723 1 | 0.952 2 | 0.797 0 | |
6-甲基-5-庚烯-2-醇 6-methyl-5-hepten-2-ol | 0.389 8 | 0.614 1 | 0.383 1 | 0.289 5 | 0.664 6 | 0.573 7 | |
异佛尔酮 Isophorone | 0.160 8 | 0.246 9 | 0.275 1 | 0.174 7 | 0.287 8 | 0.230 3 | |
氧化异佛尔酮 Isophorone oxide | 0.132 4 | 0.166 5 | 0.158 9 | 0.109 6 | 0.195 6 | 0.135 1 | |
6-甲基-5-庚烯-2-酮 6- methyl-5- hepten-2 one | 1.826 5 | 2.090 5 | 1.707 9 | 1.950 0 | 2.552 4 | 1.766 2 | |
藏花醛 Safranal | 0.153 8 | 0.175 4 | 0.184 9 | 0.146 9 | 0.213 2 | 0.203 5 | |
β-环柠檬醛β-cyclocitral | 0.996 8 | 1.003 9 | 0.987 8 | 0.888 9 | 0.999 9 | 1.004 9 | |
β-大马酮 β-damascenone | 13.938 6 | 15.374 3 | 15.337 6 | 13.732 0 | 15.170 0 | 15.270 9 | |
β-二氢大马酮β-dimascone | 6.906 3 | 7.528 0 | 8.569 4 | 15.028 0 | 12.881 0 | 12.814 9 | |
香叶基丙酮 Geranylacetone | 4.303 3 | 4.132 0 | 3.895 7 | 4.141 5 | 5.094 4 | 3.968 5 | |
二氢猕猴桃内酯 Dihydroactinidiolide | 3.039 0 | 3.976 4 | 3.360 6 | 5.368 8 | 3.721 2 | 4.370 3 | |
巨豆三烯酮1 Megastigmatrienone 1 | 1.403 1 | 1.578 0 | 1.656 8 | 2.332 0 | 1.193 7 | 1.581 0 | |
巨豆三烯酮2 Megastigmatrienone 2 | 5.897 2 | 7.197 1 | 7.650 6 | 12.363 6 | 8.829 6 | 8.859 1 | |
巨豆三烯酮3 Megastigmatrienone 3 | 5.327 6 | 6.325 5 | 7.239 0 | 7.318 4 | 5.295 1 | 5.747 3 | |
3-羟基-β-二氢大马酮 3-hydroxy-β-dimascone | 1.102 1 | 1.909 1 | 2.140 3 | 2.055 9 | 2.378 1 | 1.715 9 | |
巨豆三烯酮4 Megastigmatrienone 4 | 5.892 7 | 8.393 6 | 9.834 7 | 12.236 4 | 7.926 5 | 9.878 5 | |
螺岩兰草酮 Solavetivone | 0.854 1 | 1.111 7 | 1.098 9 | 1.320 6 | 1.470 4 | 1.230 4 | |
法尼基丙酮 Farnesylacetone | 6.305 2 | 9.131 5 | 8.459 1 | 7.651 9 | 15.664 0 | 14.210 4 | |
总量 Total amount | 61.392 8 e | 74.138 2 d | 76.254 7 c | 90.182 4 a | 87.679 6 b | 86.607 6 b | |
苯丙氨酸降解产物 Phenylalanine lysates | 苯甲醛 Benzaldehyde | 0.957 7 | 0.933 1 | 1.091 9 | 0.820 1 | 1.661 0 | 1.200 2 |
苯甲醇 Benzyl alcohol | 6.259 5 | 7.431 5 | 7.736 7 | 11.777 8 | 8.740 0 | 8.062 4 | |
苯乙醇 Phenethyl alcohol | 1.278 7 | 2.698 4 | 2.559 0 | 4.868 2 | 3.475 3 | 3.474 6 | |
苯乙醛Phenyl acetaldehyde | 5.780 2 | 6.001 3 | 7.048 9 | 9.882 4 | 6.677 9 | 5.414 4 | |
总量 Total amount | 14.276 1 e | 17.064 3 d | 18.436 5 c | 27.348 5 a | 20.554 2 b | 18.151 6 c | |
类西柏烷类降解产物Cembratriendiol catabolites | 茄酮Solanone | 34.879 1 | 35.626 2 | 37.690 2 | 39.101 7 | 36.559 0 | 35.839 2 |
总量 Total amount | 34.879 1 c | 35.626 2 c | 37.690 2 ab | 39.101 7 a | 36.559 0 bc | 35.839 2 bc | |
叶绿素降解产物Chlorophyll degradation products | 新植二烯Neophytadiene | 679.769 | 703.458 | 716.906 | 787.899 | 738.620 | 737.465 |
总量 Total amount | 679.769 c | 703.458 bc | 716.906 bc | 787.899 a | 738.620 b | 737.465 b | |
总量Total amount | 809.60 c | 852.15 b | 871.34 b | 954.22 a | 925.84 a | 901.86 ab |
表5 不同处理下烟草上部叶香气成分 (续表Continued)
Table 5 Aroma components of tobacco upper leaves under different treatments (μg?g-1)
香气物质类型 Aroma substance type | 中性致香成分 Neutral fragrance ingredients | 处理 Treatment | |||||
---|---|---|---|---|---|---|---|
T1 | T2 | T3 | T4 | T5 | T6 | ||
类胡萝卜素降解产物 Carotenoid catabolites | 愈创木酚 O-methoxy-phenol | 2.105 4 | 2.418 4 | 2.622 2 | 2.350 6 | 2.189 9 | 2.249 7 |
芳樟醇 Linalool | 0.658 1 | 0.765 3 | 0.692 1 | 0.723 1 | 0.952 2 | 0.797 0 | |
6-甲基-5-庚烯-2-醇 6-methyl-5-hepten-2-ol | 0.389 8 | 0.614 1 | 0.383 1 | 0.289 5 | 0.664 6 | 0.573 7 | |
异佛尔酮 Isophorone | 0.160 8 | 0.246 9 | 0.275 1 | 0.174 7 | 0.287 8 | 0.230 3 | |
氧化异佛尔酮 Isophorone oxide | 0.132 4 | 0.166 5 | 0.158 9 | 0.109 6 | 0.195 6 | 0.135 1 | |
6-甲基-5-庚烯-2-酮 6- methyl-5- hepten-2 one | 1.826 5 | 2.090 5 | 1.707 9 | 1.950 0 | 2.552 4 | 1.766 2 | |
藏花醛 Safranal | 0.153 8 | 0.175 4 | 0.184 9 | 0.146 9 | 0.213 2 | 0.203 5 | |
β-环柠檬醛β-cyclocitral | 0.996 8 | 1.003 9 | 0.987 8 | 0.888 9 | 0.999 9 | 1.004 9 | |
β-大马酮 β-damascenone | 13.938 6 | 15.374 3 | 15.337 6 | 13.732 0 | 15.170 0 | 15.270 9 | |
β-二氢大马酮β-dimascone | 6.906 3 | 7.528 0 | 8.569 4 | 15.028 0 | 12.881 0 | 12.814 9 | |
香叶基丙酮 Geranylacetone | 4.303 3 | 4.132 0 | 3.895 7 | 4.141 5 | 5.094 4 | 3.968 5 | |
二氢猕猴桃内酯 Dihydroactinidiolide | 3.039 0 | 3.976 4 | 3.360 6 | 5.368 8 | 3.721 2 | 4.370 3 | |
巨豆三烯酮1 Megastigmatrienone 1 | 1.403 1 | 1.578 0 | 1.656 8 | 2.332 0 | 1.193 7 | 1.581 0 | |
巨豆三烯酮2 Megastigmatrienone 2 | 5.897 2 | 7.197 1 | 7.650 6 | 12.363 6 | 8.829 6 | 8.859 1 | |
巨豆三烯酮3 Megastigmatrienone 3 | 5.327 6 | 6.325 5 | 7.239 0 | 7.318 4 | 5.295 1 | 5.747 3 | |
3-羟基-β-二氢大马酮 3-hydroxy-β-dimascone | 1.102 1 | 1.909 1 | 2.140 3 | 2.055 9 | 2.378 1 | 1.715 9 | |
巨豆三烯酮4 Megastigmatrienone 4 | 5.892 7 | 8.393 6 | 9.834 7 | 12.236 4 | 7.926 5 | 9.878 5 | |
螺岩兰草酮 Solavetivone | 0.854 1 | 1.111 7 | 1.098 9 | 1.320 6 | 1.470 4 | 1.230 4 | |
法尼基丙酮 Farnesylacetone | 6.305 2 | 9.131 5 | 8.459 1 | 7.651 9 | 15.664 0 | 14.210 4 | |
总量 Total amount | 61.392 8 e | 74.138 2 d | 76.254 7 c | 90.182 4 a | 87.679 6 b | 86.607 6 b | |
苯丙氨酸降解产物 Phenylalanine lysates | 苯甲醛 Benzaldehyde | 0.957 7 | 0.933 1 | 1.091 9 | 0.820 1 | 1.661 0 | 1.200 2 |
苯甲醇 Benzyl alcohol | 6.259 5 | 7.431 5 | 7.736 7 | 11.777 8 | 8.740 0 | 8.062 4 | |
苯乙醇 Phenethyl alcohol | 1.278 7 | 2.698 4 | 2.559 0 | 4.868 2 | 3.475 3 | 3.474 6 | |
苯乙醛Phenyl acetaldehyde | 5.780 2 | 6.001 3 | 7.048 9 | 9.882 4 | 6.677 9 | 5.414 4 | |
总量 Total amount | 14.276 1 e | 17.064 3 d | 18.436 5 c | 27.348 5 a | 20.554 2 b | 18.151 6 c | |
类西柏烷类降解产物Cembratriendiol catabolites | 茄酮Solanone | 34.879 1 | 35.626 2 | 37.690 2 | 39.101 7 | 36.559 0 | 35.839 2 |
总量 Total amount | 34.879 1 c | 35.626 2 c | 37.690 2 ab | 39.101 7 a | 36.559 0 bc | 35.839 2 bc | |
叶绿素降解产物Chlorophyll degradation products | 新植二烯Neophytadiene | 679.769 | 703.458 | 716.906 | 787.899 | 738.620 | 737.465 |
总量 Total amount | 679.769 c | 703.458 bc | 716.906 bc | 787.899 a | 738.620 b | 737.465 b | |
总量Total amount | 809.60 c | 852.15 b | 871.34 b | 954.22 a | 925.84 a | 901.86 ab |
香气物质类型 Aroma substance type | 中性致香成分 Neutral fragrance ingredients | 处理 Treatment | |||||
---|---|---|---|---|---|---|---|
T1 | T2 | T3 | T4 | T5 | T6 | ||
棕色化反应产物 Maillard reaction products | 糠醛 Furfural | 16.027 4 | 18.734 6 | 16.749 7 | 19.113 5 | 16.433 0 | 17.075 4 |
糠醇 Furfuryl aleohol | 0.307 0 | 1.249 9 | 0.874 5 | 3.501 8 | 3.219 4 | 2.545 9 | |
2-乙酰基吡咯 2 -acetylpyrrole | — | 0.119 8 | 0.087 3 | — | 0.438 6 | 0.395 9 | |
5-甲基糠醛 5-methylfurfural | 1.365 9 | 1.703 1 | 1.769 4 | 1.436 9 | 2.573 6 | 2.007 2 | |
3,4-二甲基-2,5-呋喃二酮 3,4-dimethyl-2,5-furandione | 0.422 7 | 0.939 4 | 0.795 9 | 1.534 5 | 1.531 3 | 1.175 2 | |
2,6-壬二烯醛 2,6-nonadienal | 1.160 0 | 1.111 5 | 0.802 7 | 0.739 4 | 0.591 2 | 0.595 3 | |
总量 Total amount | 19.283 0 d | 23.858 3 b | 21.079 5 c | 26.326 1 a | 24.787 1 b | 23.794 9 b |
表5 不同处理下烟草上部叶香气成分 (μg·g-1)
Table 5 Aroma components of tobacco upper leaves under different treatments
香气物质类型 Aroma substance type | 中性致香成分 Neutral fragrance ingredients | 处理 Treatment | |||||
---|---|---|---|---|---|---|---|
T1 | T2 | T3 | T4 | T5 | T6 | ||
棕色化反应产物 Maillard reaction products | 糠醛 Furfural | 16.027 4 | 18.734 6 | 16.749 7 | 19.113 5 | 16.433 0 | 17.075 4 |
糠醇 Furfuryl aleohol | 0.307 0 | 1.249 9 | 0.874 5 | 3.501 8 | 3.219 4 | 2.545 9 | |
2-乙酰基吡咯 2 -acetylpyrrole | — | 0.119 8 | 0.087 3 | — | 0.438 6 | 0.395 9 | |
5-甲基糠醛 5-methylfurfural | 1.365 9 | 1.703 1 | 1.769 4 | 1.436 9 | 2.573 6 | 2.007 2 | |
3,4-二甲基-2,5-呋喃二酮 3,4-dimethyl-2,5-furandione | 0.422 7 | 0.939 4 | 0.795 9 | 1.534 5 | 1.531 3 | 1.175 2 | |
2,6-壬二烯醛 2,6-nonadienal | 1.160 0 | 1.111 5 | 0.802 7 | 0.739 4 | 0.591 2 | 0.595 3 | |
总量 Total amount | 19.283 0 d | 23.858 3 b | 21.079 5 c | 26.326 1 a | 24.787 1 b | 23.794 9 b |
处理 Treatment | 香气质 Aroma quality | 香气量 Aroma quantity | 浓度 Concentration | 杂气 Undesirable odor | 劲头 Strength | 刺激性 Irritancy | 余味 After taste | 燃烧性 Flammability |
---|---|---|---|---|---|---|---|---|
T1 | 6.00 c | 6.20 c | 6.00 d | 6.00 d | 6.00 b | 6.20 a | 6.00 c | 7.00 b |
T2 | 6.30 bc | 6.30 c | 6.20 cd | 6.30 bc | 6.20 ab | 6.30 a | 6.10 bc | 7.00 b |
T3 | 6.40 abc | 6.60 bc | 6.40 bc | 6.30 bc | 6.30 ab | 6.30 a | 6.30 ab | 7.00 b |
T4 | 6.80 a | 7.00 a | 6.70 a | 6.60 a | 6.50 a | 6.50 a | 6.50 a | 7.50 a |
T5 | 6.50 ab | 6.80 ab | 6.50 ab | 6.50 ab | 6.20 ab | 6.40 a | 6.30 ab | 7.50 a |
T6 | 6.30 bc | 6.40 c | 6.20 cd | 6.10 cd | 6.00 b | 6.40 a | 6.10 bc | 7.00 b |
表6 不同处理下烟草上部叶感官评吸质量得分 (分 Score)
Table 6 Sensory evaluation scores of tobacco upper leaves under different treatments
处理 Treatment | 香气质 Aroma quality | 香气量 Aroma quantity | 浓度 Concentration | 杂气 Undesirable odor | 劲头 Strength | 刺激性 Irritancy | 余味 After taste | 燃烧性 Flammability |
---|---|---|---|---|---|---|---|---|
T1 | 6.00 c | 6.20 c | 6.00 d | 6.00 d | 6.00 b | 6.20 a | 6.00 c | 7.00 b |
T2 | 6.30 bc | 6.30 c | 6.20 cd | 6.30 bc | 6.20 ab | 6.30 a | 6.10 bc | 7.00 b |
T3 | 6.40 abc | 6.60 bc | 6.40 bc | 6.30 bc | 6.30 ab | 6.30 a | 6.30 ab | 7.00 b |
T4 | 6.80 a | 7.00 a | 6.70 a | 6.60 a | 6.50 a | 6.50 a | 6.50 a | 7.50 a |
T5 | 6.50 ab | 6.80 ab | 6.50 ab | 6.50 ab | 6.20 ab | 6.40 a | 6.30 ab | 7.50 a |
T6 | 6.30 bc | 6.40 c | 6.20 cd | 6.10 cd | 6.00 b | 6.40 a | 6.10 bc | 7.00 b |
1 | 朱尊权.提高上部烟叶可用性是促"卷烟上水平"的重要措施[J].烟草科技,2010(6):5-9, 31. |
ZHU Z Q. Improving usability of upper leaves, an important measure for accelerating up-grading cigarette quality [J]. Tob. Sci. Technol., 2010(6):5-9, 31. | |
2 | 王涛,贺帆,徐成龙,等.提高烤烟上部叶可用性技术的研究进展[J].南方农业学报,2011,42(9):1127-1131. |
WANG T, HE F, XU C L, et al.. Advances in improving usability of upper flue-cured tobacco leaves [J]. J. South Agric., 2011, 42(9): 1127-1131. | |
3 | 蔡宪杰,刘茂林,谢德平,等.提高上部烟叶工业可用性技术研究[J].烟草科技,2010(6):10-17. |
CAI X J, LIU M L, XIE D P, et al.. Study on improving usability of upper flue-cured tobacco leaves [J]. Tob. Sci. Technol, 2010(6):10-17. | |
4 | 张继旭,张忠锋,刘文涛,等.不同光照强度对烤烟中上部叶片结构及物理性状的影响[J].西南农业学报,2019,32(2):322-326. |
ZHANG J X, ZHANG Z F, LIU W T, et al.. Effects of different light intensities on middle and upper leaf structure and physical properties of flue-cured tobacco [J]. Southwest China J. Agric. Sci., 2019, 32(2): 322-326. | |
5 | 陈刚. 主要生态因素对昆明烤烟上部叶质量的影响及改善技术研究[D].长沙:湖南农业大学,2018. |
CHEN G. Study on influence of main ecological factors on flue-cured tobacco upper leaves and its improvement techniques in Kunming [D]. Changsha: Hunan Agricultural University, 2018. | |
6 | 任志广,陈征,黄海棠,等.生态条件、栽培调制措施、烤烟工艺对烤烟上部叶可用性的影响[J].中国农学通报,2017,33(6):73-78. |
REN Z G, CHEN Z, HUANG H T, et al.. Ecological condition, cultivation modulation measures and flue-cured tobacco process: the effect on usability of upper flue-cured tobacco leaves [J]. China Agric. Sci. Bull., 2017, 33(6): 73-78. | |
7 | 高真真,刘扣珠,史宏志,等.移栽期和采收期对豫中烤烟上六片叶发育期温度指标的影响[J].中国烟草科学,2019,40(1):49-57. |
GAO Z Z, LIU K Z, SHI H Z, et al.. Effects of transplanting and harvesting time on temperature factor configuration of upper six flue-cured tobacco leaves in central henan [J]. Tob. Sci. China, 2019, 40(1):49-57. | |
8 | 沈杰,王昌全,何玉亭,等.合理密植对不同株型烤烟冠层结构及光合生产特性的影响[J].植物营养与肥料学报,2019,25(2):284-295. |
9 | 胡近近,钟俊周,陈君豪,等.不同供氮形态对烤烟烘烤特性的影响[J].华北农学报,2017,32(3):174-181. |
HU J J, ZHONG J Z, CHEN J H, et al.. Effects of different nitrogen forms on curing characteristics in flue-cured tobacco [J]. North China Agric. J., 2017, 32(3): 174-181. | |
10 | 郝浩浩,薛立新,许自成,等.追施不同种类钾肥对烤烟品质性状的影响[J].中国农业科技导报,2016,18(1):136-143. |
HAO H H, XUE L X, XU Z C, et al.. Effects of topdressing different potassium fertilizer on quality traits of flue-cured tobacco [J]. J. Agric. Sci. Technol., 2016, 18(1): 136-143. | |
11 | 杨明坤,李建华,刘扣珠,等.豫中上六片烤烟不同采收期对烤后烟叶品质的影响[J].中国农业科技导报,2020,22(12):163-171. |
YANG M K, LI J H, LIU K Z, et al.. Effects of different harvesting periods on the quality of upper six tobacco leaves of flue-cured tobacco in central henan [J]. J. Agric. Sci. Technol., 2020, 22(12): 163-171. | |
12 | 陈颐,张笑,王亚辉,等.密集烤箱烘烤烟叶变黄期温度容差研究[J].甘肃农业大学学报,2019,54(5):191-201, 211. |
CHEN Y, ZHANG X, WANG Y H, et al.. Temperature tolerance of flue-curing barn during yellowing stage on tobacco leaves [J]. J. Gansu Agric. Univ., 2019, 54(5): 191-201, 211. | |
13 | 詹军,李伟,王涛,等.密集烘烤定色期升温速度对上部烟叶吸食品质的影响[J].江西农业大学学报,2011,33(5):866-872. |
ZHAN J, LI W, WANG T, et al.. Effect of heating rate during leaf-drying stage of bulk curing on smoking quality of upper flue-cured tobacco leaf [J]. Acta Agric. Univ. Jiangxi, 2011, 33(5): 866-872. | |
14 | 农业部部署2017年农业面源污染防治攻坚战重点工作[J].中国植保导刊,2017,37(3):87. |
15 | 唐继伟,徐久凯,温延臣,等.长期单施有机肥和化肥对土壤养分和小麦产量的影响[J].植物营养与肥料学报,2019,25(11):1827-1834. |
TANG J W, XU J K, WEN Y C, et al.. Effects of organic fertilizer and inorganic fertilizer on the wheat yields and soil nutrients under long-term fertilization [J]. J. Plant Nutr. Fertil., 2019, 25(11): 1827-1834. | |
16 | 冯瑞云,杨武德,王慧杰,等.秸秆扩蓄肥对土壤水分和马铃薯产量品质及水分利用的影响[J].农业工程学报,2012,28(2):100-105. |
FENG R Y, YANG W D, WANG H J, et al.. Effects of straw amendment fertilizers on water use efficiency, yield and quality of potato [J]. Trans. Chin. Soc. Agric. Eng., 2012, 28(2): 100-105. | |
17 | 聂庆凯,王静,孙兴广,等.有机肥部分替代化肥对植烟土壤生化特性和烤烟品质的影响[J].中国烟草科学,2020,41(4):26-32. |
NIE Q K, WANG J, SUN X G, et al.. The effects of organic fertilizers partly replacing chemical fertilizers on biochemical characteristics of soil and quality of flue-cured tobacco [J]. Tob. Sci. China, 2020, 41(4): 26-32. | |
18 | 葛晓光,郝楠.绿色蔬菜生产中化肥施用问题的讨论[J].中国蔬菜,2006(4):1-4. |
GE X G, HAO N. Discussion on the application of chemical fertilizer in the production of green vegetables [J]. China Veg., 2006(4): 1-4. | |
19 | 史宏志,韩锦峰,刘国顺,等.烤烟碳氮代谢与烟叶香吃味关系的研究[J].中国烟草学报,1998(2):56-63. |
SHI H Z, HAN J F, LIU G S, et al.. Studies on the relationship of carbon and nitrogen metabolism to leaf flavor quality in flue-cured tobacco [J]. China. Tob. Sin., 1998(2): 56-63. | |
20 | 王源,朱毓蓉,欧阳铖人,等.有机肥施用对植烟农田土壤肥力及烟叶质量的影响研究进展[J].土壤通报,2020,51(4):1003-1009. |
WANG Y, ZHU Y R, OUYANG C R, et al.. A review of effect of organic fertilizer on soil fertility and quality of flue-cured tobacco [J]. Chin. J. Soil Sci., 2020, 51(4): 1003-1009. | |
21 | 何孝磊,苟正贵,刘大学,等.有机肥基追比例及施用时期对烤烟上部叶产质量及根系生长的影响[J].河南农业科学,2020,49(2):58-67. |
HE X L, GOU Z G, LIU D X, et al.. Effects of basal/topdressing ratio and application time of organic fertilizer on yield and quality of upper tobacco leaf and root growth [J]. J. Henan Agric. Sci., 2020, 49(2): 58-67. | |
22 | 彭桃军,沈雪婷,凌平,等.不同有机无机肥配比对烤烟生长发育和品质的影响[J].江西农业学报,2017,29(3):85-89. |
PENG T J, SHEN X T, LING P, et al.. Effects of different ratios of organic manure to inorganic fertilizer on growth and quality of flue-cured tobacco [J]. Acta Agric. Jiangxi, 2017, 29(3): 85-89. | |
23 | 尹淑丽,张丽萍,习彦花,等.沼渣对土壤微生态结构、土壤酶活及理化性状的影响[J].中国沼气,2017,35(1):72-76. |
YIN S L, ZHANG L P, XI Y H, et al.. Effect of biogas residue application on soil micro eco-structure, enzyme activity and physicochemical property [J]. China Biogas, 2017, 35(1): 72-76. | |
24 | 朱列书,戴林建,苏祥云,等.不同沼肥用量对烤烟产量和质量的影响研究[J].作物研究,2004(2):96-99. |
ZHU L S, DAI L J, SU X Y, et al.. Study on the effects of different biogas fertilizer amounts on the yield and quality of flue-cured tobacco [J]. Crop Res., 2004(2): 96-99. | |
25 | 王林,吴风光,黎妍妍,等.饼肥与沼渣配比对烤烟生长发育及其内在品质的影响[J].华北农学报,2010,25(S2):208-212. |
WANG L, WU F G, LI Y Y, et al.. Effect of cake fertilizer and renewal matched on development and inherent quality of flue-cured tobacco leaf [J]. North China Agric. J., 2010, 25(S2): 208-212. | |
26 | 李亮,张佩佳,张翔,等.不同饼肥配比对烟田土壤生物学特性及氮素转化的影响[J].土壤,2019,51(4):648-657. |
LI L, ZHANG P J, ZHANG X, et al.. Effects of different ratios of cake fertilizers on soil biological characteristics and nitrogen transformation in tobacco field [J]. Soils, 2019, 51(4): 648-657. | |
27 | 武雪萍,钟秀明,秦艳青,等.芝麻饼肥与化肥不同比例配施对烟叶香气质量的影响[J].作物学报,2006(10):1554-1559. |
WU X P, ZHONG X M, QIN Y Q, et al.. Effects of proportional application of sesame seed cake fertilizers and chemical fertilizers on the aroma quality of flue-cured tobacco leaves [J]. Acta Agron. Sin., 2006(10): 1554-1559. | |
28 | 孟笑男,孔德辉,李豪,等.芝麻饼肥不同施用量对豫西烤烟生长发育及产质量的影响[J].安徽农业科学,2015,43(36):63-65. |
MENG X N, KONG D H, LI H, et al.. Effects of different rates of sesame cake fertilizer on growth, development, yield and quality of flue-cured tobacco in west Henan [J]. J. Anhui Agric. Sci., 2015, 43(36): 63-65. | |
29 | 李小涵,王朝辉.两种测定土壤有机碳方法的比较[J].分析仪器,2009(5):78-80. |
LI X H, WANG C H. Comparison of two soil organic carbon determination methods [J]. Anal. Instrumen., 2009(5): 78-80. | |
30 | BROOKES P C, LANDMAN A. Chloroform fumigation and the release of soil nitrogen, a rapid direct extraction method to measure microbial biomass nitrogen in soil [J]. Soil Biol. Biochem., 1985, 17: 837-842 . |
31 | 宋建国,王晶,林杉.用连续流动分析仪测定土壤微生物态氮的方法研究[J].植物营养与肥料学报,1999,5(3):282-287. |
SONG J G, WANG J, LIN S. Determination of soil microbial biomass nitrogen by continuous flow analytical system [J]. J. Plant Nutr. Fertil., 1999, 5(3): 282-287. | |
32 | 国家烟草专卖局. 烟草及烟草制品标准体系: [S].北京:中国标准出版社,2008. |
33 | 国家技术监督局. 烤烟: [S].北京:中国标准出版社,1992. |
34 | 史宏志,杨兴有,周开绪,等.不同晾房晾制白肋烟中性香气成分含量及感官品质的差异[J].华北农学报,2010,25(3):113-117. |
SHI H Z, YANG X Y, ZHOU K X, et al.. Differences in contents of neutral aroma components and sensory evaluation in air-cured burley leaves from different curing barns [J]. North China Agric. J., 2010, 25(3): 113-117. | |
35 | 欧阳志标.旱地植烟土壤肥力状况与培肥技术研究[D].长沙:湖南农业大学,2016. |
OUYANG Z B. The research of fertility status and fertility in tobacco planting dryland [D]. Changsha: Hunan Agricultural University, 2016. | |
36 | 高铭.有机肥对植烟土壤改良及烟叶产量、质量的影响[D].南宁:广西大学,2018. |
GAO M. The effect of organic fertilities on soil improvement of tobacco yield and quality of flue-cured tobacco [D]. Nanning: Guangxi University, 2018. | |
37 | 梁尧,韩晓增,丁雪丽,等.不同有机肥输入量对黑土密度分组中碳、氮分配的影响[J].水土保持学报,2012,26(1):174-178. |
LIANG Y, HAN X Z, DING X L, et al.. Distribution of soil organic carbon and nitrogen in density fractions on black soil as affected by different amounts of organic manure application [J]. J. Soil Water Conser., 2012, 26(1): 174-178. | |
38 | 农传江,汤利,徐智,等.有机肥部分替代化肥对土壤有机碳库和烤烟经济性状的影响[J].中国土壤与肥料,2016(4):70-75. |
NONG C J, TANG L, XU Z, et al.. Effects of organic fertilizer partial substituted for chemical fertilizer on soil organic carbon pool and economic characters of flue-cured tobacco [J]. Soil Fert. Sci. China, 2016(4): 70-75. | |
39 | 杨宇虹,晋艳,黄建国,等.长期施肥对植烟土壤微生物的影响[J].植物营养与肥料学报,2014,20(5):1186-1193. |
YANG Y H, JIN Y, HUANG J G, et al.. Effects of long-term fertilization on soil microorganisms in tobacco fields [J]. J. Plant Nutr. Fertil., 2014, 20(5): 1186-1193. | |
40 | 马新明,刘国顺,王小纯,等.烟草根系生长发育与地上部相关性的研究[J].中国烟草学报,2002(3):27-30. |
MA X M, LIU G S, WANG X C, et al.. The development of tobacco root system and its relation with plant growth [J]. China Tob. Sin., 2002(3): 27-30. | |
41 | 赵瑞蕊,王林,任胜超,等.功能微生物制剂和腐植酸钠对烤烟生长、产量和品质的影响[J].西南农业学报,2012,25(1):188-192. |
ZHAO R R, WANG L, REN S C, et al.. Effect of function microbial preparation and NaHm on development, yield and quality of flue-cured tobaccoleaf [J]. Southwest China J. Agric. Sci., 2012, 25(1): 188-192. | |
42 | 尹启生,蔡宪杰,王信民,等.大田中后期烤烟淀粉酶活性及淀粉含量的变化[J].烟草科技,2006(9):55-57, 64. |
YIN Q S, CAI X J, WANG X M, et al.. Changes of amylase activity and starch content in flue-cured tobacco during middle to late growing stage [J]. Tob. Sci. Technol., 2006(9):55-57, 64. | |
43 | 赵铭钦,陈红华,刘国顺,等.增施不同有机物质对烤烟烟叶香气质量的影响[J].华北农学报,2007(5):51-55. |
ZHAO M Q, CHEN H H, LIU G S, et al.. Effects of adding different organic substances on the aroma quality of flue-cured tobacco leaves [J]. Acta Agriculturae Boreali-Sin., 2007(5): 51-55. | |
44 | 武雪萍,钟秀明,秦艳青,等.不同种类饼肥与化肥配施对烟叶香气质量的影响[J].中国农业科学,2006(6):1196-1201. |
WU X P, ZHONG X M, QIN Y Q, et al.. Effects of application of different types of cake fertilizer combined with chemical fertilizer on the flavor quality of the flue-cured tobacco leaves [J]. Sci. Agric. Sin., 2006(6): 1196-1201. |
[1] | 胡雯, 张朋朋, 庄丽萍, 王鹏丽, 邹养军. 不同品种三叶草覆盖对旱地苹果园土壤理化特性和叶片生理特征的影响[J]. 中国农业科技导报, 2025, 27(9): 193-203. |
[2] | 周峻宇, 谷雨, 吴海勇, 李明德, 刘琼峰, 周旋, 董春华. 柠檬酸强化籽粒苋修复镉污染土壤效果研究[J]. 中国农业科技导报, 2025, 27(9): 215-223. |
[3] | 曹航, 杨新兵, 刘彦林, 霍娜, 刘小宽, 李新月. 石灰岩矿山重构土理化性质及酶活性变化[J]. 中国农业科技导报, 2025, 27(8): 168-178. |
[4] | 王璨, 崔强, 时倩茹, 唐浩, 宁欣杰, 张静静, 杨素勤, 张彪. 3种调理剂对不同镉污染土壤钝化效果及微生物群落的影响[J]. 中国农业科技导报, 2025, 27(8): 215-226. |
[5] | 肖淑婷, 颜安. 天山典型天然林土壤有机碳分布特征及其影响因素[J]. 中国农业科技导报, 2025, 27(8): 227-238. |
[6] | 张然, 高永, 梁钰镁, 党晓宏, 高苗苗, 刘宏义, 高雪琴. 两种飞播植物对结皮土壤颗粒组成和有机质的影响[J]. 中国农业科技导报, 2025, 27(7): 172-181. |
[7] | 周琦, 刘强, 张靖, 邓超超, 王振龙, 柳洋, 吴芳, 常浩, 周彦芳, 宿翠翠, 施志国, 高正睿, 马凤捷. 有机肥替代化肥对土壤生物学特性及南瓜产量的影响[J]. 中国农业科技导报, 2025, 27(7): 190-203. |
[8] | 张曦瑜, 沈幸, 李伟, 谢文歌, 李杰, 杨昌浩, 柴仲平. 氮肥减量配施有机肥对库尔勒香梨园土壤细菌群落结构的影响[J]. 中国农业科技导报, 2025, 27(7): 217-228. |
[9] | 董雪, 黄雅茹, 李帅, 徐光甫, 陈晓娜, 刘源, 郭俊廷, 辛智鸣. 乌兰布和沙漠沙冬青液流变化及其影响因子[J]. 中国农业科技导报, 2025, 27(7): 241-249. |
[10] | 郑刚, 许鹏, 陈栋泉, 杨松梅, 吴敏生, 杨然兵. 沙地鲜食甘薯收获机输送分离装置设计与试验[J]. 中国农业科技导报, 2025, 27(6): 104-112. |
[11] | 张莹, 谷海红, 艾艳君, 李富平, 吴梓敬. 丛枝菌根真菌对土壤碳平衡的影响研究进展[J]. 中国农业科技导报, 2025, 27(6): 170-183. |
[12] | 齐潇雨, 郭艳杰, 柳鹭, 张子涛, 张丽娟, 吉艳芝. 种植年限对设施葡萄园土壤盐渍化及微生物群落的影响[J]. 中国农业科技导报, 2025, 27(6): 218-228. |
[13] | 王会来, 李帅, 王寅, 吴东涛, 马嘉伟, 叶正钱, 池永清, 王美. 长期施肥对葡萄土壤细菌群落多样性及ARGs分布的影响[J]. 中国农业科技导报, 2025, 27(6): 229-239. |
[14] | 邹声浩, 喻奇伟, 贺帅, 张学伟, 马黔, 马关凯, 席飞虎, 罗东升, 王茂贤, 罗贞宝, 景延秋. 外源小球藻对干旱胁迫下烤烟幼苗生理特性的影响[J]. 中国农业科技导报, 2025, 27(6): 64-71. |
[15] | 田甜, 杨振奇, 郭建英, 要振宇, 赵天启, 刘心宇, 王子薇. 放牧强度对荒漠草原土壤团聚体稳定性及可蚀性的影响[J]. 中国农业科技导报, 2025, 27(5): 156-163. |
阅读次数 | ||||||
全文 |
|
|||||
摘要 |
|
|||||