








Journal of Agricultural Science and Technology ›› 2023, Vol. 25 ›› Issue (4): 225-233.DOI: 10.13304/j.nykjdb.2022.0636
• MARINE AGRICULTURE & FRESHWATER FISHERIES • Previous Articles
Chao YANG1,2(
), Haibin HAN1,2, Bo WEI1, Heng ZHANG1(
), Chen SHANG1,2, Bing SU3, Siyuan LIU2, Peiwei JIANG4, Delong XIANG2
Received:2022-08-02
Accepted:2022-10-12
Online:2023-04-01
Published:2023-06-26
Contact:
Heng ZHANG
杨超1,2(
), 韩海斌1,2, 韦波1, 张衡1(
), 商宸1,2, 苏冰3, 刘思源2, 蒋沛雯4, 相德龙2
通讯作者:
张衡
作者简介:杨超 E-mail:243353707@qq.com;
基金资助:CLC Number:
Chao YANG, Haibin HAN, Bo WEI, Heng ZHANG, Chen SHANG, Bing SU, Siyuan LIU, Peiwei JIANG, Delong XIANG. Construction of Method for Age Identification of Sardinops sagax in the North Pacific Ocean[J]. Journal of Agricultural Science and Technology, 2023, 25(4): 225-233.
杨超, 韩海斌, 韦波, 张衡, 商宸, 苏冰, 刘思源, 蒋沛雯, 相德龙. 北太平洋远东拟沙丁鱼年龄鉴定方法的构建[J]. 中国农业科技导报, 2023, 25(4): 225-233.
Add to citation manager EndNote|Ris|BibTeX
URL: https://nkdb.magtechjournal.com/EN/10.13304/j.nykjdb.2022.0636
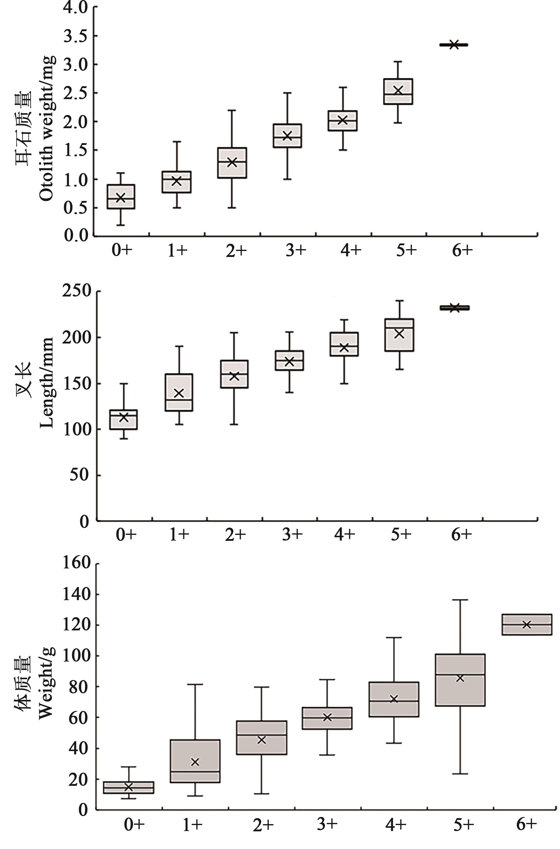
| 生物学特征 Biological feature | 范围 Range | 均值Mean |
|---|---|---|
| 叉长Fork length/mm | 85.0~240.0 | 155.7 |
体质量Weight/g 耳石质量Otolish weight/mg | 5.6~144.6 0.20~3.35 | 43.7 1.37 |
Table 1 Information of fork length,weight and otolish weight of Sardinops sagax
| 生物学特征 Biological feature | 范围 Range | 均值Mean |
|---|---|---|
| 叉长Fork length/mm | 85.0~240.0 | 155.7 |
体质量Weight/g 耳石质量Otolish weight/mg | 5.6~144.6 0.20~3.35 | 43.7 1.37 |
Fig. 1 Otolith image of the Sardinops sagaxA:Untreated otoliths;B:Otolith after embedding and manual grinding;C:Otolith overground after embedding. The picture shows the otoliths of Sardinops sagax with fork length of 165 mm and age of 2+ ; the position indicated by the white arrow is the otoliths growth ring
Fig. 6 Iteration diagram of accuracy、recall rate、loss rate、F1 value and training timesNote: The figure shows the parameters of each index without error.
| 方法Method | 准确率Accuracy/% |
|---|---|
| 一元拟合方程Unary fitting equation | 43.6 |
| 多元拟合方程 Multivariate fitting equation | 54.0 |
| 深度神经网络 Deep neural network | 71.6 |
Table 2 Prediction accuracy results of three methods
| 方法Method | 准确率Accuracy/% |
|---|---|
| 一元拟合方程Unary fitting equation | 43.6 |
| 多元拟合方程 Multivariate fitting equation | 54.0 |
| 深度神经网络 Deep neural network | 71.6 |
| 1 | LLUCH-BELDA D, CRAWFORD R J M, KAWASAKI T, et al.. World-wide fluctuations of sardine and anchovy stocks: the regime problem [J]. South African J. Marine Sci., 1989, 8(1):195-205. |
| 2 | PAULY D, DAVID N. ELEFAN I, a basic program for the objective extraction of growth parameters from length-frequency data [J]. Meeresforschung, 1981, 28(4): 205-211. |
| 3 | COLLINS R A, SPRATT J D. Age determination of northern anchovies, Engraulis mordax, from otoliths [J]. Northern Anchovy, 1969: 1965-1968. |
| 4 | CASSELMAN J M. Analysis of hard tissue of pike Esox lucius L. with special reference to age and growth [C]//International Symposium on the Ageing of Fish. Reading (UK),1974. |
| 5 | 丘古诺娃. 鱼类年龄和生长的研究方法[M]. 北京:科学出版社, 1956:1-98. |
| 6 | BOEHLERT G W. Using objective criteria and multiple regression models for age determination in fishes [J]. Fish. Bull. 1985, 83(2):103-117. |
| 7 | CAMPANA S E, ERLEND M. Accuracy and precision of age and hatch date estimates from otolith microstructure examination [J]. ICES J. Marine Sci., 1991,48 (3):303-316. |
| 8 | NEDREAAS. Age determination of Northeast Atlantic Sebastes species [J]. ICES J. Marine Sci., 1990, 47(2):208-230. |
| 9 | DONALD D B, BABALUK J A, CRAIG J F, et al.. Evaluation of the scale and operculum methods to determine age of adult goldeyes with special reference to a dominant year-class [J]. Trans. Am. Fish. Soc., 1992, 121(6):792-796. |
| 10 | YAREMKO M L. Age determination in Pacific sardine,Sardinops sagax [S]. NOAA, 1996. |
| 11 | PAWSON M G. Using otolith weight to age fish [J]. J. Fish Biol., 2010, 36(4):521-531. |
| 12 | EMMETT R L, BRODEUR R D, MILLER T W, et al.. Pacific sardine (Sardinops sagax) abundance, distribution, and ecological relationships in the Pacific Northwest [J]. California Cooperative Oceanic Fish. Investigations Rep., 2005, 46(16): 122-143. |
| 13 | TIAN S. Knowledge on the biological and fisheries aspects of the Japanese Sardine, Sardinops melanostictus (Schlegel, 1846) [J/OL]. J. Mar. Sci. Eng., 2021, 9(12):1403 [2022-07-01].. |
| 14 | GAULDIE R W. Function, form and time-keeping properties of fish otoliths [J]. Comparative Biochem. Physiol. Part A: Physiol., 1988, 91(2):395-402. |
| 15 | SANDEMAN E J. Age determination and growth-rate of redfish (Sebastes Sp.) from selected areas around Newfoundland [D]. Newfoundland: Memorial University, 1964. |
| 16 | 徐聚臣, 段友健, 骆小年, 等. 达里湖瓦氏雅罗鱼耳石质量与年龄关系[J]. 水产科学, 2021, 40(2):279-284. |
| XU J C, DUAN Y J, LUO X N, et al.. Relationship between otolith weight and age in Amur Ide Leuciscus waleckii in Dali lake [J]. Fish. Sci., 2021,40(2) :279-284. | |
| 17 | 陶志英, 肖俊, 阳刚, 等. 匙吻鲟的耳石重量与年龄关系[J]. 南昌大学学报(理科版), 2019, 43(3):280-283. |
| TAO Z Y, XIAO J, YANG G,et al..The relationship between otolith-weight and age in Polyodon spathula [J]. J. Nanchang Univ. (Nat. Sci.), 2019, 43(3):280-283. | |
| 18 | 王旭歌, 何勇凤, 李昊成,等. 长湖短颌鲚耳石重量与年龄关系[J]. 水生态学杂志, 2016, 37(6): 84-88. |
| WANG X G, HE Y F, LI H C,et al.. Relationship of sagittal otolith weight to the age of Coilia brachygnathus [J]. J. Hydroecol., 2016, 37(6): 84-88. | |
| 19 | 颜云榕, 侯刚, 贺雄军, 等. 基于矢耳石重量与年龄关系对北部湾二长棘犁齿鲷年龄鉴定的研究[J]. 台湾海峡, 2011, 30(1):63-70. |
| YAN Y R, HOU G, HE X J, et al.. Age detemination based on the otolish weight of the Cardinal seabream, Evynn is cardinals,in the Beibu Gulf of the South China sea [J]. J. Oceanography Taiwan Strait, 2011, 30(1):63-70. | |
| 20 | FU Z P, ZHANG Y N, HOU H Y. Survey of deep learning in face recognition [C]//IEEE International Conference on Orange Technologies, 2014. |
| 21 | YANG C, ZHOU B. An application of deep learning in remote sensing: automatic change detection in Urban area [J/OL]. J. Phys.: Conf. Ser., 2021, 1769(1):012 [2022-07-01]. . |
| 22 | 殷名称. 鱼类生态学[M]. 北京:中国农业出版社, 1995:1-293. |
| YIN M C. Fish Ecology [M]. Beijing:China Agriculture Press,1995:1-293. | |
| 23 | MCFARLANE G, SCHWEIGERT J, HODES V, et al.. Preliminary study on the use of polished otoliths in the age determination of Pacific sardine (Sardinops sagax) in British Columbia waters [J]. California Cooperative Oceanic Fish. Investigations, 2010, 51: 162-168. |
| 24 | 杨国亮, 许楠, 李放, 等. 关于非线性激活函数的深度学习分类方法研究[J]. 江西理工大学学报, 2018, 39(3):76-83 . |
| YANG G L, XU N, LI F, et al.. Research on deep learning classification for nonlinear activation function [J]. J. Jiangxi Univ. Sci. Technol., 2018, 39(3):76-83. | |
| 25 | GOUTTE C, GAUSSIER E. A probabilistic interpretation of precision, recall and F-score, with implication for evaluation [C]// Proceedings of the 27th European conference on Advances in Information Retrieval Research, 2005:952. |
| 26 | 郭弘艺, 唐文乔. 长江口刀鲚矢耳石重量与年龄的关系及其在年龄鉴定中的作用[J]. 水产学报, 2006, 30(3):347-352. |
| GUO H Y, TANG W Q. The relationship between sagittal otolith weight-age and its use in age determination in Coilia nasus from the estuary of Yangtze river [J]. J. Fish. China, 2006, 30(3):347-352. | |
| 27 | ANDERSON J, MORISON A, RAY D. Age and growth of Murray Cod, Maccullochella peelii (Perciformes: Percichthyidae), in the lower Murray-Darling Basin, Australia, from thin-sectioned otoliths [J/OL]. Mar. Freshwater Res., 1992, 43(5):983 [2022-07-01]. . |
| 28 | FERREIRA B P. Age validation and estimation of growth rate of the coral trout, Plectropomus leopardus, (Lacepede 1802) from Lizard island, Northern Great Barrier Reef [J]. Fish. Bulletin, 1994, 92(1):46-57. |
| 29 | LABROPOULOU M, PAPACONSTANTINOU C. Comparison of otolith growth and somatic growth in two macrourid fishes [J]. Fish. Res., 2000, 46(1-3):177-188. |
| 30 | CARDINALE M, ARRHENIUS F, JOHNSSON B. Potential use of otolith weight for the determination of age-structure of Baltic cod (Gadus morhua) and plaice (Pleuronectes platessa) [J]. Fish. Res., 2000, 45(3):239-252. |
| 31 | LUCKHURST B E, DEAN J M, M.Age REICHERT, growth and reproduction of the lane snapper Lutjanus synagris (Pisces : Lutjanidae) at Bermuda [J]. Mar. Ecol. Progress, 2000, 203(1438):255-261. |
| 32 | POLITIKOS D V, PETASIS G, CHATZISPYROU A, et al.. Automating fish age estimation combining otolith images and deep learning: the role of multitask learning [J/OL]. Fish. Res., 2021, 242(1):106033 [2022-07-01].. |
| 33 | ORDOEZ A, EIKVIL L, SALBERG A B, et al.. Explaining decisions of deep neural networks used for fish age prediction [J/OL]. PLoS ONE, 2020, 15(6):e0235013 [2022-07-01]. . |
| 34 | BENZER S, GARABAGHI F H, BENZER R, et al.. Investigation of some machine learning algorithms in fish age classification [J/OL]. Fish. Res., 2022, 245: 106151 [2022-07-01]. . |
| 35 | TROADEC H, BENZINOU A, RODIN V, et al.. Use of deformable template for two-dimensional growth ring detection of otoliths by digital image processing: application to plaice (Pleuronectes platessa) otoliths [J]. Fish. Res., 2000, 46(1-3): 155-163. |
| 36 | FABLET R, JOSSE N L. Automated fish age estimation from otolith images using statistical learning [J]. Fish. Res., 2005, 72(2-3):279-290. |
| [1] | Guangyao LI, Shenglong YANG, Tianfei CHENG, Xuesen CUI, Weifeng ZHOU, Shengmao ZHANG. Analysis of Environmental Characteristics and Forecast Status of Tuna Fisheries in Central and Western Pacific [J]. Journal of Agricultural Science and Technology, 2025, 27(5): 203-221. |
| [2] | Zili CHEN, Wei LIN, Jia HE, Laigang WANG, Guoqing ZHENG, Yilong PENG, Jiadong JIAO, Yan GUO. Research Progress on Crop Diseases Identification Based on Convolutional Neural Network [J]. Journal of Agricultural Science and Technology, 2025, 27(4): 99-109. |
| [3] | Zhuoran XING, Songshuang DING, Kai ZHANG, Ming MA, Wenlong GUO, Xudong LIU, Xiangdong SHI. Research Progress of Deep Learning and Computer Vision in Tobacco Leaf Production [J]. Journal of Agricultural Science and Technology, 2025, 27(1): 96-106. |
| [4] | Guoyu HU, Yalan DONG, Gulbahar Tohti, Guang LIU, Jianping ZHOU. Research on Grapevine Structure Segmentation Method Based on Machine Vision [J]. Journal of Agricultural Science and Technology, 2024, 26(9): 105-111. |
| [5] | Xiaofei XIONG, Xiuqin WANG, Cuizhen ZHUANG, Jiaxian GUO, Xinrui XIE, Jianwei WU, Qifeng LI. Research on Diagnostic Method of Citrus Anthracnose Based on Image ROI Fusion Feature [J]. Journal of Agricultural Science and Technology, 2024, 26(9): 83-92. |
| [6] | Huiping JIN, Haiwen MOU, Teng LIU, Jialin YU, Xiaojun JIN. Bok Choy and Weed Identification Based on Deep Convolutional Neural Networks [J]. Journal of Agricultural Science and Technology, 2024, 26(8): 122-130. |
| [7] | Zhiyuan ZHU, Haifeng WANG, Bin LI, Wenwen ZHAO, Jun ZHU, Nan JIA, Yuliang ZHAO. Research Progress of Deep Learning in Typical Behavior Recognition of Livestock and Poultry [J]. Journal of Agricultural Science and Technology, 2024, 26(10): 110-124. |
| [8] | Guo ZHENG, Yusong JIANG. Diagnosis of Crop Disease Based on Multi-task Learning [J]. Journal of Agricultural Science and Technology, 2024, 26(1): 89-98. |
| [9] | Kaiyan LIN, Fei MEI, Junhui WU, Wengang GUO, Jie CHEN, Huiping SI. Design and Research of Crop Disease Monitoring Service Platform Based on Computer Vision [J]. Journal of Agricultural Science and Technology, 2023, 25(6): 89-96. |
| [10] | Yue ZHAO, Yong WEI, Huiyong SHAN, Zhimin MU, ZHANGJianxin, Haiyun WU, Hui ZHAO, Jianlong HU. Wheat Ear Detection Method Based on Deep Learning [J]. Journal of Agricultural Science and Technology, 2022, 24(9): 96-105. |
| [11] | Haitao LIU, Xin HAN, Yubin LAN, Lili YI, Baoju WANG, Lihua CUI. Precise Recognition Method of Cotton Top Buds Based on YOLOv4 Network [J]. Journal of Agricultural Science and Technology, 2022, 24(8): 99-108. |
| [12] | Jianwei WU, Jie HUANG, Xiaofei XIONG, Han GAO, Xiangyang QIN. Research and Application of Intelligent Recognition Method of Peach Tree Diseases Based on AI [J]. Journal of Agricultural Science and Technology, 2022, 24(5): 111-118. |
| [13] | Yinyan GAO, Yi SUN, Baochun LI. Estimating of Wheat Ears Number in Field Based on RGB Images Using Unmanned Aerial Vehicle [J]. Journal of Agricultural Science and Technology, 2022, 24(3): 103-110. |
| [14] | Hao HUANG, Shengqiao XIE, Du CHEN, Heng WANG. Application and Research Advances on Deep Learning in Apple’s Industry Chain [J]. Journal of Agricultural Science and Technology, 2022, 24(10): 79-89. |
| [15] | ZHOU Huiru, WU Boming. Advances in Research on Deep Learning for Crop Disease Image Recognition [J]. Journal of Agricultural Science and Technology, 2021, 23(5): 61-68. |
| Viewed | ||||||
|
Full text |
|
|||||
|
Abstract |
|
|||||
京公网安备11010802021197号