Journal of Agricultural Science and Technology ›› 2025, Vol. 27 ›› Issue (8): 187-201.DOI: 10.13304/j.nykjdb.2024.0148
• BIO-MANUFACTURING & RESOURCE AND ECOLOGY • Previous Articles Next Articles
Haitao XU1(), Hongzhen MA1(
), Wenwen WANG2, Wenxiang FAN3, Bo XU1, Jungang ZHANG1, Haibin GUO1, Youhua WANG1
Received:
2024-03-01
Accepted:
2024-07-12
Online:
2025-08-15
Published:
2025-08-26
Contact:
Hongzhen MA
许海涛1(), 马红珍1(
), 王文文2, 范文祥3, 许波1, 张军刚1, 郭海斌1, 王友华1
通讯作者:
马红珍
作者简介:
许海涛 E-mail: xuht0101@126.com;
基金资助:
CLC Number:
Haitao XU, Hongzhen MA, Wenwen WANG, Wenxiang FAN, Bo XU, Jungang ZHANG, Haibin GUO, Youhua WANG. Research on Dynamic Development and Accumulated Temperature Model of Maize Plant Height and Stem Diameter Based on Effective Accumulated Temperature[J]. Journal of Agricultural Science and Technology, 2025, 27(8): 187-201.
许海涛, 马红珍, 王文文, 范文祥, 许波, 张军刚, 郭海斌, 王友华. 基于有效积温的玉米株高与茎粗动态发育及其积温模型研究[J]. 中国农业科技导报, 2025, 27(8): 187-201.
Add to citation manager EndNote|Ris|BibTeX
URL: https://nkdb.magtechjournal.com/EN/10.13304/j.nykjdb.2024.0148
Fig. 2 Correlations between effective accumulated temperature and plant height and stem diameterNote:** indicates significant correlation at P<0.01 level.
Fig. 3 Dynamic changes of maize plant height with effective accumulated temperatureNote:Different lowercase letters on the same line indicate significant differences at P<0.05 level.
播季 Sowing season | 品种 Variety | 参数Parameter | 决定系数 R2 | 剩余平方和 SSE | F值 F value | 检验概率Probability Pr>F | ||
---|---|---|---|---|---|---|---|---|
a | b | k | ||||||
春播 Spring sowing | 驻玉216 ZY216 | 233.24 | 42.09 | 0.006 9 | 0.982 7 | 99 139.19 | 450.11 | <0.000 1 |
裕丰303 YF303 | 239.66 | 59.87 | 0.006 8 | 0.994 2 | 40 063.98 | 1 135.74 | <0.000 1 | |
中科玉505 ZKY505 | 248.26 | 67.96 | 0.006 7 | 0.994 7 | 66 035.39 | 1 074.18 | <0.000 1 | |
郑单958 ZD958 | 237.79 | 39.07 | 0.006 6 | 0.996 8 | 66 084.56 | 2 576.78 | <0.000 1 | |
夏播 Summer sowing | 驻玉216 ZY216 | 201.64 | 45.98 | 0.006 1 | 0.993 5 | 102 607.46 | 948.12 | <0.000 1 |
裕丰303 YF303 | 231.29 | 55.89 | 0.006 2 | 0.992 8 | 143 843.34 | 801.41 | <0.000 1 | |
中科玉505 ZKY505 | 262.36 | 56.53 | 0.006 7 | 0.984 1 | 108 593.54 | 371.64 | <0.000 1 | |
郑单958 ZD958 | 256.71 | 52.12 | 0.006 8 | 0.982 8 | 107 427.38 | 390.54 | <0.000 1 |
Table 1 Dynamic equation parameters of maize plant height based on effective accumulated temperature
播季 Sowing season | 品种 Variety | 参数Parameter | 决定系数 R2 | 剩余平方和 SSE | F值 F value | 检验概率Probability Pr>F | ||
---|---|---|---|---|---|---|---|---|
a | b | k | ||||||
春播 Spring sowing | 驻玉216 ZY216 | 233.24 | 42.09 | 0.006 9 | 0.982 7 | 99 139.19 | 450.11 | <0.000 1 |
裕丰303 YF303 | 239.66 | 59.87 | 0.006 8 | 0.994 2 | 40 063.98 | 1 135.74 | <0.000 1 | |
中科玉505 ZKY505 | 248.26 | 67.96 | 0.006 7 | 0.994 7 | 66 035.39 | 1 074.18 | <0.000 1 | |
郑单958 ZD958 | 237.79 | 39.07 | 0.006 6 | 0.996 8 | 66 084.56 | 2 576.78 | <0.000 1 | |
夏播 Summer sowing | 驻玉216 ZY216 | 201.64 | 45.98 | 0.006 1 | 0.993 5 | 102 607.46 | 948.12 | <0.000 1 |
裕丰303 YF303 | 231.29 | 55.89 | 0.006 2 | 0.992 8 | 143 843.34 | 801.41 | <0.000 1 | |
中科玉505 ZKY505 | 262.36 | 56.53 | 0.006 7 | 0.984 1 | 108 593.54 | 371.64 | <0.000 1 | |
郑单958 ZD958 | 256.71 | 52.12 | 0.006 8 | 0.982 8 | 107 427.38 | 390.54 | <0.000 1 |
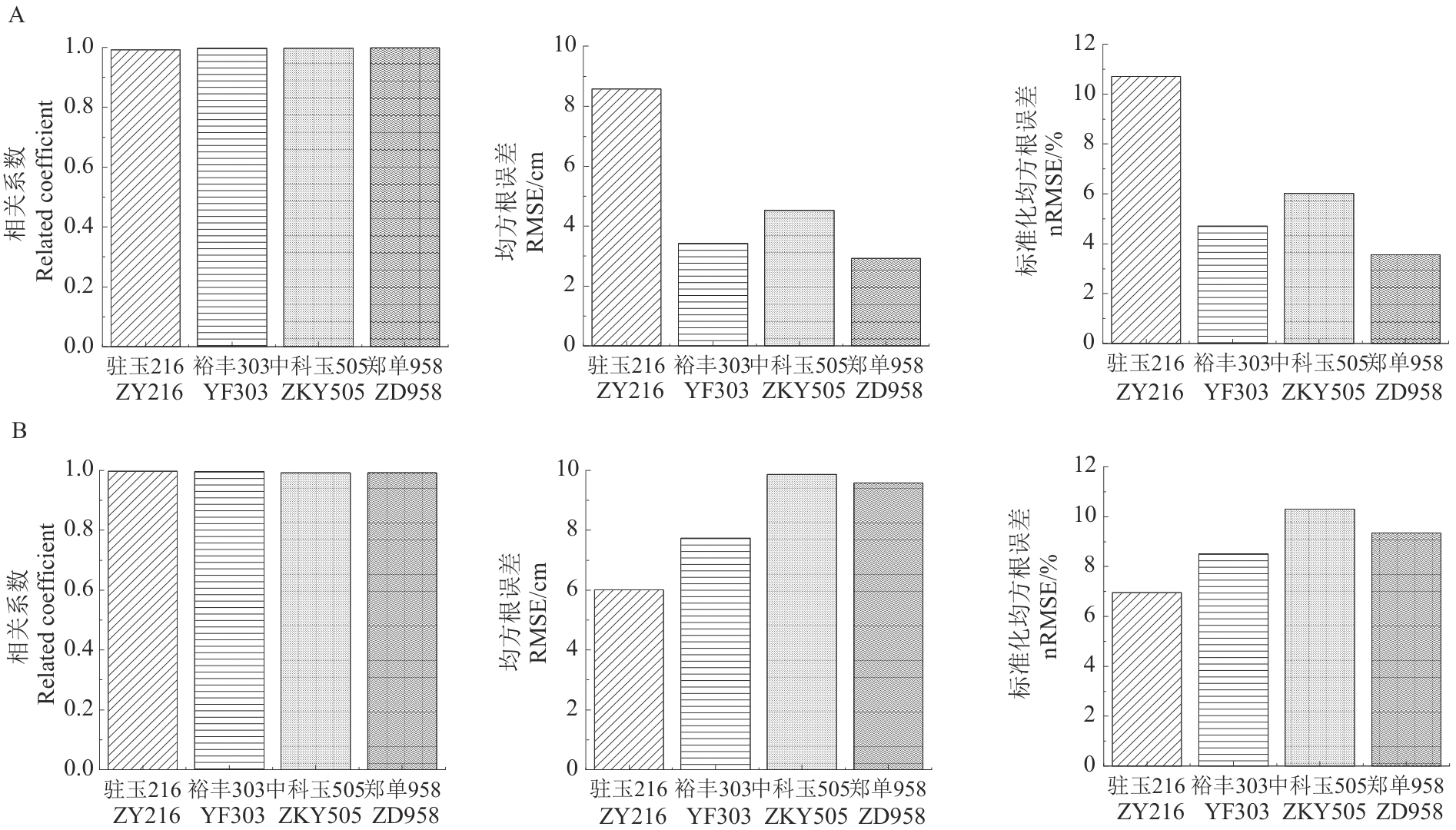
Fig. 4 Verification and evaluation of measured and simulated values of maize plant height based on effective accumulated temperatureA:Spring sowing;B:Summer sowing
Fig. 6 Logistic model characteristic parameters of maize plant height development dynamics based on effective accumulated temperatureA:Spring sowing;B:Summer sowing. V1 —The maximum growth rate;V2 — Average growth rate during the rapid growth period. T1— Accumulated temperature required for the maximum growth rate; T2 — Accumulated temperature required to enter the rapid increase period; T3 — Accumulated temperature required to enter the slow increase period; Different lowercase letters of same index indicate significant differences at P<0.05 level
Fig. 7 Dynamic changes of maize stem diameter with effective accumulated temperatureNote:Different lowercase letters on the same line indicate significant differences at P<0.05 level.
播季 Sowing season | 品种 Variety | 参数Parameter | 决定系数R2 | 剩余平方和 SSE | F值 F value | 检验概率Probability Pr>F | ||
---|---|---|---|---|---|---|---|---|
a | b | k | ||||||
春播 Spring sowing | 驻玉216 ZY216 | 24.08 | 21.10 | 0.007 6 | 0.999 0 | 299 652.06 | 9 174.60 | <0.000 1 |
裕丰303 YF303 | 24.72 | 36.16 | 0.008 8 | 0.989 4 | 21 764.73 | 1 422.21 | <0.000 1 | |
中科玉505 ZKY505 | 25.16 | 24.25 | 0.007 7 | 0.996 1 | 27 357.22 | 2 428.83 | <0.000 1 | |
郑单958 ZD958 | 25.51 | 23.43 | 0.007 9 | 0.996 8 | 39 146.03 | 2 924.14 | <0.000 1 | |
夏播 Summer sowing | 驻玉216 ZY216 | 23.96 | 16.05 | 0.005 6 | 0.997 1 | 37 941.46 | 3 567.60 | <0.000 1 |
裕丰303 YF303 | 24.48 | 19.68 | 0.006 7 | 0.998 7 | 65 419.44 | 6 376.94 | <0.000 1 | |
中科玉505 ZKY505 | 26.79 | 32.46 | 0.008 3 | 0.987 7 | 4 564.01 | 1 378.22 | <0.000 1 | |
郑单958 ZD958 | 26.73 | 24.48 | 0.007 0 | 0.997 5 | 148 894.51 | 8 834.64 | <0.0001 |
Table 2 Dynamic equation parameters of maize stem diameter based on effective accumulated temperature
播季 Sowing season | 品种 Variety | 参数Parameter | 决定系数R2 | 剩余平方和 SSE | F值 F value | 检验概率Probability Pr>F | ||
---|---|---|---|---|---|---|---|---|
a | b | k | ||||||
春播 Spring sowing | 驻玉216 ZY216 | 24.08 | 21.10 | 0.007 6 | 0.999 0 | 299 652.06 | 9 174.60 | <0.000 1 |
裕丰303 YF303 | 24.72 | 36.16 | 0.008 8 | 0.989 4 | 21 764.73 | 1 422.21 | <0.000 1 | |
中科玉505 ZKY505 | 25.16 | 24.25 | 0.007 7 | 0.996 1 | 27 357.22 | 2 428.83 | <0.000 1 | |
郑单958 ZD958 | 25.51 | 23.43 | 0.007 9 | 0.996 8 | 39 146.03 | 2 924.14 | <0.000 1 | |
夏播 Summer sowing | 驻玉216 ZY216 | 23.96 | 16.05 | 0.005 6 | 0.997 1 | 37 941.46 | 3 567.60 | <0.000 1 |
裕丰303 YF303 | 24.48 | 19.68 | 0.006 7 | 0.998 7 | 65 419.44 | 6 376.94 | <0.000 1 | |
中科玉505 ZKY505 | 26.79 | 32.46 | 0.008 3 | 0.987 7 | 4 564.01 | 1 378.22 | <0.000 1 | |
郑单958 ZD958 | 26.73 | 24.48 | 0.007 0 | 0.997 5 | 148 894.51 | 8 834.64 | <0.0001 |
Fig. 8 Verification and evaluation of the measured and simulated values of maize stem diameter based on effective accumulated temperatureA:Spring sowing;B:Summer sowing
Fig. 10 Logistic model characteristic parameters of maize stem diameter dynamic changes based on effective accumulated temperatureA:Spring sowing;B:Summer sowing. V1 —The maximum growth rate;V2 — Average growth rate during the rapid growth period. T1— Accumulated temperature required for the maximum growth rate; T2 — Accumulated temperature required to enter the rapid increase period; T3 — Accumulated temperature required to enter the slow increase period; Different lowercase letters of same index indicate significant differences at P<0.05 level
[1] | 陈斌. 种植密度对不同株高玉米茎秆抗倒伏能力的影响[J]. 农业技术与装备, 2023(12): 154-155, 158. |
CHEN B. Effect of planting density on stalk lodging resistance of maize with different plant height [J]. Agric. Technol. Equip., 2023(12): 154-155, 158. | |
[2] | 杨晨曦, 周文期, 周香艳, 等. 控制玉米株高基因PHR1的基因克隆[J]. 作物学报, 2024, 50(1): 55-66. |
YANG C X, ZHOU W Q, ZHOU X Y, et al.. Mapping and cloning of plant height gene PHR1 in maize [J]. Acta Agron. Sin., 2024, 50(1): 55-66. | |
[3] | 苗艳龙, 彭程, 高阳, 等. 基于地基激光雷达的玉米株高与茎粗自动测量研究[J]. 农业机械学报, 2021, 52(): 43-50. |
MIAO Y L, PENG C, GAO Y, et al.. Automatic measurement of plant height and stem thickness of maize based on terrestrial laser scanning [J]. Trans. Chin. Soc. Agric. Mach., 2021, 52(S1): 43-50. | |
[4] | 陈杨, 王磊, 白由路, 等. 有效积温与不同氮磷钾处理夏玉米株高和叶面积指数定量化关系[J]. 中国农业科学, 2021, 54(22): 4761-4777. |
CHEN Y, WANG L, BAI Y L, et al.. Quantitative relationship between effective accumulated temperature and plant height & leaf area index of summer maize under different nitrogen, phosphorus and potassium levels [J]. Sci. Agric. Sin., 2021, 54(22): 4761-4777. | |
[5] | 陈震, 程千, 徐洪刚, 等. 不同水肥处理下夏玉米株高、生物量响应特征及光谱反演[J]. 干旱地区农业研究, 2023, 41(4): 198-207. |
CHEN Z, CHENG Q, XU H G, et al.. Inversion model of summer maize plant height and biomass under different water and fertilizer treatments based on UAV spectra [J]. Agric. Res. Arid Areas, 2023, 41(4): 198-207. | |
[6] | 陈杨. 有效积温与夏玉米生长发育和氮磷钾积累定量化研究[D]. 北京: 中国农业科学院, 2021. |
CHEN Y. Quantitative study on effective accumulated temperature, growth and development and accumulation of nitrogen, phosphorus and potassium in summer maize [D]. Beijing: Chinese Academy of Agricultural Sciences, 2021. | |
[7] | 周捷成,周富亮,梁思维,等.糯玉米茎粗系数的配合力及遗传参数分析[J].耕作与栽培,2023,43(1):39-42. |
ZHOU J C, ZHOU F L, LIANG S W, et al.. Analysis of combining ability and genetic parameters of stem diameter coefficient of waxy maize [J]. Till. Cultiv., 2023,43(1):39-42. | |
[8] | 付华, 李猛, 刘兴舟, 等. 气象因子与玉米产量及其构成因素的相关性分析[J]. 作物研究, 2023, 37(4): 343-348. |
FU H, LI M, LIU X Z, et al.. Correlation analysis of meteorological factors with maize yield and its components [J]. Crop Res., 2023, 37(4): 343-348. | |
[9] | 蔡甲冰,常宏芳,陈鹤,等.基于不同有效积温的玉米干物质累积量模拟[J].农业机械学报,2020,51(5):263-271. |
CAI J B, CHANG H F, CHEN H, et al.. Simulation of maize dry matter accumulation in normalized logistic model with different effective accumulated temperatures in field [J]. Trans.Chin. Soc. Agric. Mach., 2020,51(5):263-271. | |
[10] | 钱春荣, 王荣焕, 于洋, 等. 生态区对不同熟期玉米品种生长发育与有效积温生产效率的影响[J]. 黑龙江农业科学, 2020(9): 1-8. |
QIAN C R, WANG R H, YU Y, et al.. Effects of ecological zone on growth and development and effective accumulated temperature production efficiency of maize varieties differing in maturity [J]. Heilongjiang Agric. Sci., 2020(9): 1-8. | |
[11] | 郑国清,段韶芬,阎书波,等.玉米叶龄与器官发育模拟模型[J].玉米科学,2003,11(4):63-66. |
ZHENG G Q, DUAN S F, YAN S B, et al.. Simulation models of the development of leaf age and organs in maize [J]. J. Maize Sci., 2003,11(4):63-66. | |
[12] | 林忠辉,项月琴,莫兴国,等.夏玉米叶面积指数增长模型的研究[J].中国生态农业学报,2003,11(4):69-72. |
LIN Z H, XIANG Y Q, MO X G, et al.. Normalized leaf area index model for summer maize [J]. Chin. J. Eco-Agric., 2003,11(4):69-72. | |
[13] | 陈杨,徐孟泽,王玉红,等.有效积温与不同供氮水平夏玉米干物质和氮素积累定量化研究[J].中国农业科学,2022,55(15):2973-2987. |
CHEN Y, XU M Z, WANG Y H, et al.. Quantitative study on effective accumulated temperature and dry matter and nitrogen accumulation of summer maize under different nitrogen supply levels [J]. Sci. Agric. Sin., 2022, 55(15):2973-2987. | |
[14] | 简小春,凯铃,李尧,等.基于有效积温的甜玉米茎粗模拟研究[J].仲恺农业工程学院学报,2014,27(2):10-12. |
JIAN X C, KAI L, LI Y, et al.. Simulation research for sweet corn stalk diameter based on effective accumulated temperature [J]. J. Zhongkai Univ. Agric. Eng., 2014, 27(2):10-12. | |
[15] | 仇瑞承,苗艳龙,张漫,等.基于线性回归的玉米生物量预测模型及验证[J].农业工程学报,2018,34(10):131-137. |
QIU R C, MIAO Y L, ZHANG M, et al.. Modeling and verification of maize biomass based on linear regression analysis [J]. Trans. Chin. Soc. Agric. Eng., 2018, 34(10):131-137. | |
[16] | 李明,唐炳雪,卞乐怡,等.不同钾肥水平下糯玉米茎粗和株高变化规律分析[J].仲恺农业工程学院学报,2018,31(3):20-23, 29. |
LI M, TANG B X, BIAN L Y, et al.. Effect of different levels of potassium fertilizer on variation of stem diameter and plant height in waxy maize [J]. J. Zhongkai Univ. Agric. Eng., 2018,31(3):20-23, 29. | |
[17] | 张书萍,王延波,赵海岩,等.东北春玉米区温度条件与玉米生长发育及产量形成的量化分析[J].玉米科学,2022,30(3):54-62. |
ZHANG S P, WANG Y B, ZHAO H Y, et al.. Quantitative analysis of temperature conditions and maize growth and yield formation in spring maize region of Northeast China [J]. J.Maize Sci., 2022, 30(3):54-62. | |
[18] | BANNAYAN M, HOOGENBOOM G. Using pattern recognition for estimating cultivar coefficients of a crop simulation model [J]. Field Crops Res., 2009,111(3):290-302. |
[19] | 张善炫,黄影华,张华杰,等.不同氮肥梯度下甜玉米株高和茎粗变化规律研究[J].湖北农业科学,2020,59(12):17-21. |
ZHANG S X, HUANG Y H, ZHANG H J, et al.. Study on the variation of plant height and stem thickness of sweet corn under different nitrogen fertilizer levels [J]. Hubei Agric. Sci.,2020, 59(12):17-21. | |
[20] | 魏湜,曹广才,高洁,等.玉米生态基础[M].北京:中国农业出版社,2010:40-49. |
[21] | 霍仕平, 晏庆九, 黄文章, 等. 温度和日长对玉米植株性状的效应[J]. 中国农业气象, 1996(5): 24-27. |
HUO S P, YAN Q J, HUANG W Z, et al.. The effects of temperature and day length on maize plant traits [J]. Chin. J. Agrometeorol., 1996 (5): 24-27. | |
[22] | 袁海燕,张晓煜,亢艳莉.宁夏灌区玉米径粗与气温的关系[J].农业科学研究,2007,28(2):5-10. |
YUAN H Y, ZHANG X Y, KANG Y L. On the relationship between stem-diameter of corn and temperature in Ningxia irrigation area [J]. J. Agric. Sci., 2007, 28(2):5-10. | |
[23] | 周文期,张贺通,何海军,等.调控玉米株高和穗位高候选基因Zmdle1的定位[J].中国农业科学,2023,56(5):821-837. |
ZHOU W Q, ZHANG H T, HE H J, et al.. Candidate gene localization of Zmdle1 gene regulating plant height and ear height in maize [J]. Sci. Agric. Sin., 2023, 56(5):821-837. | |
[24] | 袁如芯, 孟新梅, 杨荣, 等. 不同灌水定额处理下基于有效积温玉米生长状况模拟研究[J]. 干旱区资源与环境, 2024, 38(3): 132-143. |
YUAN R X, MENG X M, YANG R, et al.. Effect of different irrigating quotas on growth of maize : a perspective of effective accumulative temperature [J]. J. Arid Land Resour. Environ., 2024, 38(3): 132-143. | |
[25] | 高伟, 金继运, 何萍, 等. 我国北方不同地区玉米养分吸收及累积动态研究[J]. 植物营养与肥料学报, 2008, 14(4): 623-629. |
GAO W, JIN J Y, HE P, et al.. Dynamics of maize nutrient uptake and accumulation in different regions of Northern China [J]. Plan. Nutr. Fert. Sci., 2008, 14(4): 623-629. | |
[26] | 赵凡. 基于Richards模型的全膜双垄沟播与传统栽培模式玉米生长势差异研究[J]. 干旱地区农业研究, 2016, 34(4): 211-217. |
ZHAO F. Research on growth variations of maize by whole film double furrow sowing based on Richards model from traditional cultivation mode [J]. Agric. Res. Arid Areas, 2016, 34(4): 211-217. | |
[27] | 李向岭,赵明,李从锋,等.播期和密度对玉米干物质积累动态的影响及其模型的建立[J].作物学报,2010,36(12):2143-2153. |
LI X L, ZHAO M, LI C F, et al.. Effect of sowing-date and planting density on dry matter accumulation dynamic and establishment of its simulated model in maize [J]. Acta Agron.Sin., 2010, 36(12):2143-2153. | |
[28] | 王雪蓉, 张润芝, 李淑敏, 等. 不同供氮水平下玉米/大豆间作体系干物质积累和氮素吸收动态模拟[J]. 中国生态农业学报, 2019, 27(9): 1354-1363. |
WANG X R, ZHANG R Z, LI S M, et al.. Simulation of dry matter accumulation and nitrogen absorption in a maize/soybean intercropping system supplied with different nitrogen levels [J]. Chin. J. Eco-Agric., 2019, 27(9): 1354-1363. |
[1] | Xiang SUN, Liyang ZHANG, Jiying YIN, Kaiyi WANG, Meirong GUO, Heju HUAI. Problems and Countermeasures of Digital Transformation of Maize Seed Production Base [J]. Journal of Agricultural Science and Technology, 2025, 27(8): 8-17. |
[2] | Taotao MAO, Xiaoqiang ZHAO, Xiaodong BAI, Bin YU. Effect of Low Temperature Stress on Photosynthetic Performance, Antioxidant Enzyme System and Related Gene Expression in Maize Seedlings [J]. Journal of Agricultural Science and Technology, 2025, 27(5): 49-60. |
[3] | Saisai HOU, Shanshan TONG, Pengqi WANG, Bingxue XIE, Ruifang ZHANG, Xinxin WANG. Effects of Biochar and Straw on Growth Characteristics and Nutrient Uptake of Different Crops [J]. Journal of Agricultural Science and Technology, 2025, 27(4): 179-191. |
[4] | Zihao WANG, Xue ZHOU, Donghan ZHANG, Hongyi LIANG, Yan WANG, Ziang ZHAO, Qing CHEN. Effect of Water-soluble Fertilizers Containing Humic-acids on Maize Seedlings Growth and Soil Properties [J]. Journal of Agricultural Science and Technology, 2025, 27(4): 209-220. |
[5] | Yumang ZHANG, Guijuan CHEN, Hongyan CHANG, Yongheng WANG, Shuxia LIU, Yunxiu YING. Effect of New Degradable Soil Water-retaining Agent on Growth and Development of Maize Seedlings Under Water Stress at Seedling Stage [J]. Journal of Agricultural Science and Technology, 2025, 27(1): 201-210. |
[6] | Wenxuan SHI, Jinfang TAN, Qian ZHANG, Lantao LI, Yilun WANG. Effect of One-off Fertilization on Yield and Nitrogen Fertilizer Efficiency of Summer Maize in Different Ecological Regions [J]. Journal of Agricultural Science and Technology, 2024, 26(9): 193-202. |
[7] | Mei WU, Jinzhu ZHANG, Zhenhua WANG, Jian LIU, Yue WEN, Xuanzhi LI. Effects of Water and Air Interaction on Physiological Growth and Yield of Maize Under Mulched Drip Irrigation [J]. Journal of Agricultural Science and Technology, 2024, 26(8): 189-200. |
[8] | Zhongxiang LIU, Wenqi ZHOU, Yongsheng LI, Xiaojuan WANG, Yanzhong YANG, Xiaorong LIAN, Haijun HE, Yuqian ZHOU. Phenotypic Identification and Genetic Analysis of a Dwarf Mutant 20F421 inMaize [J]. Journal of Agricultural Science and Technology, 2024, 26(6): 22-29. |
[9] | Yan CAO, Yantao YANG, Guogang WANG. Spatial-temporal Pattern Evolution and Matching Analysis of Maize Production and Consumption in China [J]. Journal of Agricultural Science and Technology, 2024, 26(5): 1-10. |
[10] | Yafeng ZHAO, Mengxue WANG, Deshuai WANG, Dongdong WANG, Yuan LI, Junfeng HU. Maize Root Image Segmentation Based on CP-DeepLabv3+ [J]. Journal of Agricultural Science and Technology, 2024, 26(3): 110-116. |
[11] | Zhanqing WU, Wei CHEN, Zhan ZHAO, Hailiang XU, Haoyuan LI, Xingxing PENG, Dongxu CHEN, Mingyue ZHANG. Genome-wide Identification and Bioinformatics Analysis of GRAS Gene Family in Maize [J]. Journal of Agricultural Science and Technology, 2024, 26(3): 15-25. |
[12] | Yuan HE, Xiaotong GU, Liqing FENG, Huijun DUAN, Yongsheng TAO. Screening and Evaluation of Drought Resistance Index for Maize Hybrids During Seedling and Germination Stages [J]. Journal of Agricultural Science and Technology, 2024, 26(10): 30-40. |
[13] | Yunhong WANG, Qi MIAO, Junchao LI, Hongye WANG, Jishi ZHANG, Zhenling CUI. Effect of Comprehensive Management Measures on Productivity of Medium and Low Yield Farmland in Coastal Saline Areas [J]. Journal of Agricultural Science and Technology, 2024, 26(1): 163-172. |
[14] | Jianmin YAO, Junkui MA, Zhongxiang WANG, Xinyuan BI, Ruizhen LI, Ruiping YANG, Zhao LIU, Fenghui GUO. Application Effect of Full Biodegradable Water Permeable Plastic Film in Soybean-Maize Belt Composite Planting [J]. Journal of Agricultural Science and Technology, 2023, 25(9): 178-185. |
[15] | Yaxuan MENG, Wei MA, Xuhang YAO, Yingqi SUN, Xin ZHONG, Shan HUANG, Qiaoyun WENG, Yinghui LIU, Jincheng YUAN. Study on the Response Factors of Maize Yield to Nitrogen Fertilizer [J]. Journal of Agricultural Science and Technology, 2023, 25(7): 153-160. |
Viewed | ||||||
Full text |
|
|||||
Abstract |
|
|||||