Journal of Agricultural Science and Technology ›› 2024, Vol. 26 ›› Issue (1): 163-172.DOI: 10.13304/j.nykjdb.2022.0565
• BIO-MANUFACTURING & RESOURCE AND ECOLOGY • Previous Articles Next Articles
Yunhong WANG1,2(), Qi MIAO3(
), Junchao LI3, Hongye WANG4, Jishi ZHANG5, Zhenling CUI1
Received:
2022-07-07
Accepted:
2022-11-16
Online:
2024-01-15
Published:
2024-01-08
Contact:
Qi MIAO
王韵弘1,2(), 苗琪3(
), 李俊超3, 王红叶4, 张济世5, 崔振岭1
通讯作者:
苗琪
作者简介:
王韵弘 E-mail: wang_yunhong@cau.edu.cn;
基金资助:
CLC Number:
Yunhong WANG, Qi MIAO, Junchao LI, Hongye WANG, Jishi ZHANG, Zhenling CUI. Effect of Comprehensive Management Measures on Productivity of Medium and Low Yield Farmland in Coastal Saline Areas[J]. Journal of Agricultural Science and Technology, 2024, 26(1): 163-172.
王韵弘, 苗琪, 李俊超, 王红叶, 张济世, 崔振岭. 田间管理措施对滨海盐渍地区中低产田生产力的影响[J]. 中国农业科技导报, 2024, 26(1): 163-172.
Add to citation manager EndNote|Ris|BibTeX
URL: https://nkdb.magtechjournal.com/EN/10.13304/j.nykjdb.2022.0565
处理Treatment | 品种(小麦/玉米) Cultivar(wheat/maize) | 植株密度 Plant density(104·hm-2) | N∶P2O5∶K2O(kg·hm-2) | 改良技术 Improved technology |
---|---|---|---|---|
农户习惯 FP | 济麦22 JM22 郑单958 ZD958 | 450 7.5 | 300∶75∶75 280∶90∶30 | 深耕 Deep ploughing |
土壤改良 ISM | 济麦22 JM22 郑单958 ZD958 | 450 7.5 | 180∶90∶60 85∶45∶60 | 深耕+改良剂 Deep ploughing + amendment |
作物调控 ICM | 济麦22 JM22 登海618 DH618 | 525 9.0 | 180∶90∶60 185∶45∶60 | 深耕 Deep ploughing |
综合调控 ISCM | 济麦22 JM22 登海618 DH618 | 525 9.0 | 180∶90∶60 185∶45∶60 | 深耕+改良剂 Deep ploughing + amendment |
Table 1 Test scheme
处理Treatment | 品种(小麦/玉米) Cultivar(wheat/maize) | 植株密度 Plant density(104·hm-2) | N∶P2O5∶K2O(kg·hm-2) | 改良技术 Improved technology |
---|---|---|---|---|
农户习惯 FP | 济麦22 JM22 郑单958 ZD958 | 450 7.5 | 300∶75∶75 280∶90∶30 | 深耕 Deep ploughing |
土壤改良 ISM | 济麦22 JM22 郑单958 ZD958 | 450 7.5 | 180∶90∶60 85∶45∶60 | 深耕+改良剂 Deep ploughing + amendment |
作物调控 ICM | 济麦22 JM22 登海618 DH618 | 525 9.0 | 180∶90∶60 185∶45∶60 | 深耕 Deep ploughing |
综合调控 ISCM | 济麦22 JM22 登海618 DH618 | 525 9.0 | 180∶90∶60 185∶45∶60 | 深耕+改良剂 Deep ploughing + amendment |
处理 Treatment | 穗数 Ear number(104·hm-2) | 穗粒数 Grain number | 千粒重 1 000-grain weight/g | 产量 Yield/(t·hm-2) | 氮肥偏生产力 PFPN/(kg·hm-2) | |
---|---|---|---|---|---|---|
小麦 Wheat | FP | 935.57±50.34 c | 29.43±1.47 a | 39.45±0.81 ab | 8.70±0.80 c | 28.99±2.68 c |
ISM | 1 065.68±56.24 b | 31.00±2.27 a | 38.63±1.45 b | 10.89±0.82 ab | 60.50±4.55 b | |
ICM | 1 015.59±37.39 bc | 31.24±2.30 a | 41.69±1.72 a | 10.25±0.27 b | 56.94±1.49 b | |
ISCM | 1 192.95±94.58 a | 30.89±0.97 a | 40.31±1.46 ab | 11.96±0.28 a | 66.43±1.55 a | |
玉米 Maize | FP | 7.17±0.61 c | 487.13±24.56 ab | 279.59±15.88 b | 9.26±0.90 b | 33.07±3.22 b |
ISM | 7.28±0.51 bc | 506.46±19.13 a | 287.68±8.95 b | 10.19±0.75 ab | 55.08±4.03 a | |
ICM | 8.42±0.67 ab | 417.63±31.61 c | 320.59±20.10 a | 10.25±0.59 ab | 55.41±3.21 a | |
ISCM | 8.59±0.63 a | 448.38±23.21 bc | 335.58±16.86 a | 10.83±0.84 a | 58.55±4.55 a |
Table 2 Yield and yield components of wheat and maize
处理 Treatment | 穗数 Ear number(104·hm-2) | 穗粒数 Grain number | 千粒重 1 000-grain weight/g | 产量 Yield/(t·hm-2) | 氮肥偏生产力 PFPN/(kg·hm-2) | |
---|---|---|---|---|---|---|
小麦 Wheat | FP | 935.57±50.34 c | 29.43±1.47 a | 39.45±0.81 ab | 8.70±0.80 c | 28.99±2.68 c |
ISM | 1 065.68±56.24 b | 31.00±2.27 a | 38.63±1.45 b | 10.89±0.82 ab | 60.50±4.55 b | |
ICM | 1 015.59±37.39 bc | 31.24±2.30 a | 41.69±1.72 a | 10.25±0.27 b | 56.94±1.49 b | |
ISCM | 1 192.95±94.58 a | 30.89±0.97 a | 40.31±1.46 ab | 11.96±0.28 a | 66.43±1.55 a | |
玉米 Maize | FP | 7.17±0.61 c | 487.13±24.56 ab | 279.59±15.88 b | 9.26±0.90 b | 33.07±3.22 b |
ISM | 7.28±0.51 bc | 506.46±19.13 a | 287.68±8.95 b | 10.19±0.75 ab | 55.08±4.03 a | |
ICM | 8.42±0.67 ab | 417.63±31.61 c | 320.59±20.10 a | 10.25±0.59 ab | 55.41±3.21 a | |
ISCM | 8.59±0.63 a | 448.38±23.21 bc | 335.58±16.86 a | 10.83±0.84 a | 58.55±4.55 a |
Fig. 2 Dry matter accumulation of wheat and maize under different improvement treatmentsNote:Different lowercase letters under the conditions of same crop and same period indicate significant differences among treatments at P < 0.05 level.
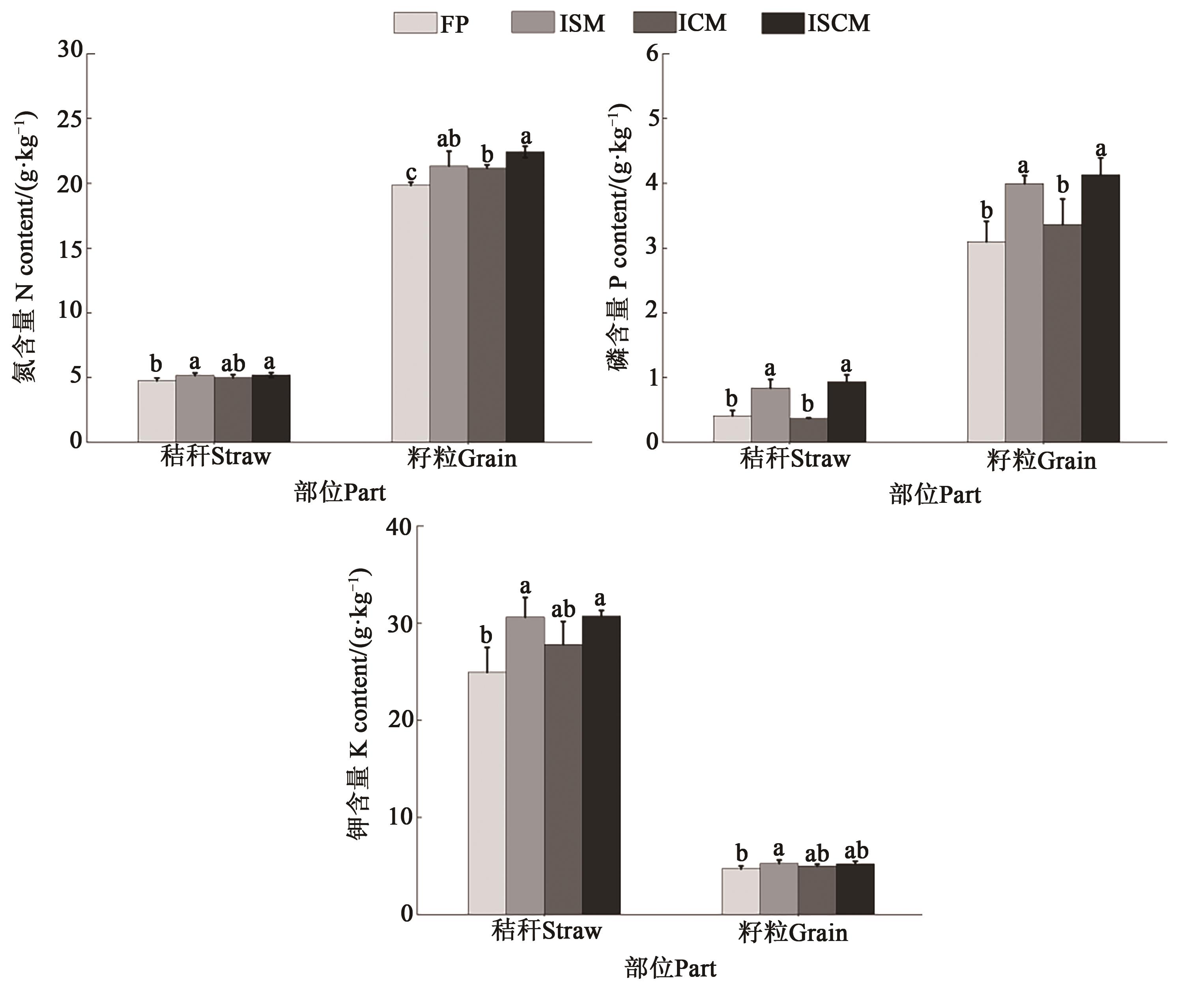
Fig. 3 Nitrogen, phosphorus and potassium contents of wheat plants under different improved treatmentsNote:Different lowercase letters of same organ indicate significant differences among treatments at P<0.05 level.
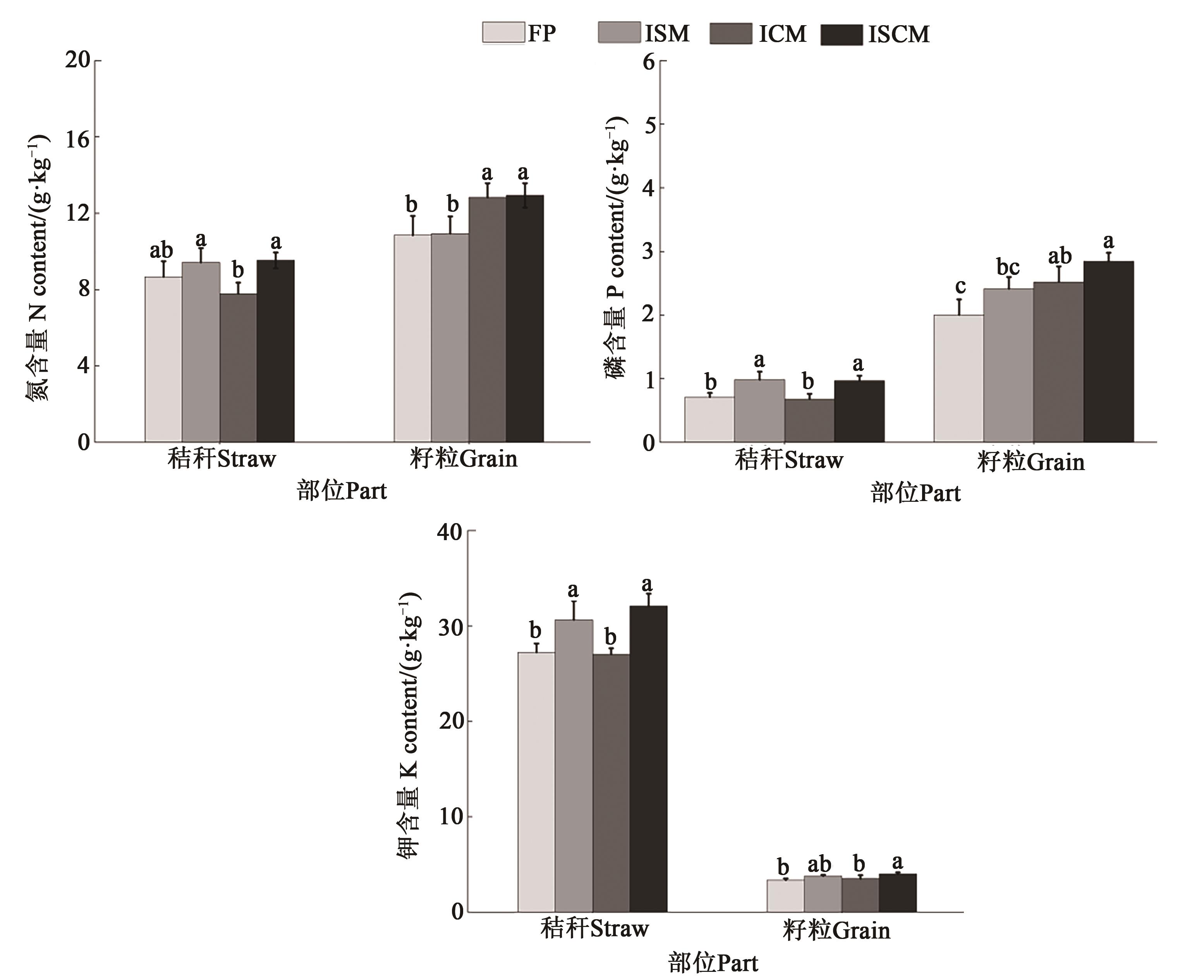
Fig. 4 Nitrogen, phosphorus and potassium contents of maize plants under different improved treatmentsNote:Different lowercase letters of same organ indicate significant differences among treatments at P < 0.05 level.
Fig. 5 SAR and SRR of topsoil under different treatmentsNote:Different uppercase and lowercase letters indicate significant differences in SAR and SRR among treatments at P<0.05 level.
项目 Item | 处理 Treatment | ||||
---|---|---|---|---|---|
FP | ISM | ICM | ISCM | ||
农资材料 Agricultural materials/(yuan·hm-2) | 种子 Seed | 1 635 | 1 635 | 2 415 | 2 415 |
肥料 Fertilizer | 4 821 | 3 704 | 3 704 | 3 704 | |
改良剂 Amendment | 0 | 2 550 | 0 | 2 550 | |
农药 Pesticides and herbicides | 713 | 713 | 713 | 713 | |
灌溉用水 Irrigation water | 600 | 600 | 600 | 600 | |
机械使用 Machine use/(yuan·hm-2) | 耕作 Tillage | 900 | 900 | 900 | 900 |
播种 Sowing | 300 | 300 | 300 | 300 | |
收获 Harvest | 1 800 | 1 800 | 1 800 | 1 800 | |
劳动力花费 Labor cost/(yuan·hm-2) | 肥料管理 Fertilizer management | 6 000 | 7 500 | 7 500 | 7 500 |
施用改良剂 Spreading amendment | 0 | 2 250 | 0 | 2 250 | |
打药 Spraying pesticide | 390 | 390 | 390 | 390 | |
灌溉 Irrigation | 300 | 300 | 300 | 300 | |
作物收益 Crop income | 小麦产量 Wheat yield/(kg·hm-2) | 8 700 | 10 890 | 10 250 | 11 960 |
小麦价格 Wheat price/(yuan·kg-1) | 2.2 | 2.2 | 2.2 | 2.2 | |
玉米产量 Maize yield/(kg·hm-2) | 9 260 | 10 190 | 10 250 | 10 830 | |
玉米价格 Maize price/(yuan·kg-1) | 2.4 | 2.4 | 2.4 | 2.4 | |
净利润 Net profit/(yuan·hm-2) | 总花费 Total cost | 17 459 | 22 641 | 18 621 | 23 421 |
总收益 Total revenue | 41 364 | 48 414 | 47 150 | 52 304 | |
净利润 Net profit | 23 905 | 25 773 | 28 529 | 28 883 |
Table 3 Economic benefits under different improvement treatments
项目 Item | 处理 Treatment | ||||
---|---|---|---|---|---|
FP | ISM | ICM | ISCM | ||
农资材料 Agricultural materials/(yuan·hm-2) | 种子 Seed | 1 635 | 1 635 | 2 415 | 2 415 |
肥料 Fertilizer | 4 821 | 3 704 | 3 704 | 3 704 | |
改良剂 Amendment | 0 | 2 550 | 0 | 2 550 | |
农药 Pesticides and herbicides | 713 | 713 | 713 | 713 | |
灌溉用水 Irrigation water | 600 | 600 | 600 | 600 | |
机械使用 Machine use/(yuan·hm-2) | 耕作 Tillage | 900 | 900 | 900 | 900 |
播种 Sowing | 300 | 300 | 300 | 300 | |
收获 Harvest | 1 800 | 1 800 | 1 800 | 1 800 | |
劳动力花费 Labor cost/(yuan·hm-2) | 肥料管理 Fertilizer management | 6 000 | 7 500 | 7 500 | 7 500 |
施用改良剂 Spreading amendment | 0 | 2 250 | 0 | 2 250 | |
打药 Spraying pesticide | 390 | 390 | 390 | 390 | |
灌溉 Irrigation | 300 | 300 | 300 | 300 | |
作物收益 Crop income | 小麦产量 Wheat yield/(kg·hm-2) | 8 700 | 10 890 | 10 250 | 11 960 |
小麦价格 Wheat price/(yuan·kg-1) | 2.2 | 2.2 | 2.2 | 2.2 | |
玉米产量 Maize yield/(kg·hm-2) | 9 260 | 10 190 | 10 250 | 10 830 | |
玉米价格 Maize price/(yuan·kg-1) | 2.4 | 2.4 | 2.4 | 2.4 | |
净利润 Net profit/(yuan·hm-2) | 总花费 Total cost | 17 459 | 22 641 | 18 621 | 23 421 |
总收益 Total revenue | 41 364 | 48 414 | 47 150 | 52 304 | |
净利润 Net profit | 23 905 | 25 773 | 28 529 | 28 883 |
1 | 韦仕川, 刘勇, 栾乔林, 等. 基于生态安全的黄河三角洲未利用地开垦潜力评价[J]. 农业工程学报, 2013, 29(22): 244-251. |
WEI S C, LIU Y, LUAN Q L, et al.. Evaluation on reclamation potential of unused land of the Yellow River Delta based on ecological security [J]. Trans. Chin. Soc. Agric. Eng., 2013, 29(22): 244-251. | |
2 | 韩美, 杜焕, 张翠, 等. 黄河三角洲水资源可持续利用评价与预测[J]. 中国人口资源与环境, 2015, 25(7): 154-160. |
HAN M, DU H, ZHANG C, et al.. Water resources sustainable utilization evaluation based on the DPSIR in the Yellow River Delta [J]. China Population Resour. Environ., 2015, 25(7): 154-160. | |
3 | 范晓梅, 刘高焕, 唐志鹏, 等. 黄河三角洲土壤盐渍化影响因素分析[J]. 水土保持学报, 2010, 24(1): 139-144. |
FAN X M, LIU G H, TANG Z P, et al.. Analysis on main contributors influencing soil salinization of Yellow River Delta [J]. J. Soil Water Conserv., 2010, 24(1): 139-144. | |
4 | 杨劲松, 姚荣江, 王相平, 等. 中国盐渍土研究: 历程、现状与展望[J]. 土壤学报, 2022,59(1): 10-27. |
YANG J S, YAO R J, WANG X P, et al.. Research on salt-affected soils in China: history, status quo and prospect [J]. Acta Pedol. Sin., 2022,59(1): 10-27. | |
5 | MIAO Q, ZHANG J S, CHEN Y L, et al.. Integrated nitrogen amount and sources maximize maize nitrogen efficiency in the saline soils [J]. Agron. J., 2021, 113(2): 1183-1196. |
6 | 韦本辉, 申章佑, 周佳, 等. 粉垄耕作改良盐碱地效果及机理[J]. 土壤, 2020, 52(4): 699-703. |
WEI B H, SHEN Z Y, ZHOU J, et al.. Study on effect and mechanism of improving saline-alkali soil by Fenlong tillage [J]. Soils, 2020, 52(4): 699-703. | |
7 | 邹芳刚, 郭文琦, 王友华, 等. 施氮量对长江流域滨海盐土棉花氮素吸收利用的影响[J]. 植物营养与肥料学报, 2015, 21(5): 1150-1158. |
ZOU F G, GUO W Q, WANG Y H, et al.. Effects of nitrogen application rate on the nitrogen uptake and utilization of cotton grown in coastal saline fields of Yangtze River valley [J]. J. Plant Nutr. Fert., 2015, 21(5): 1150-1158. | |
8 | WANG J M, YANG P L. Potential flue gas desulfurization gypsum utilization in agriculture: a comprehensive review [J]. Renew. Sust. Energ. Rev., 2018, 82: 1969-1978. |
9 | 沈婧丽, 王彬, 许兴. 脱硫石膏改良盐碱地研究进展[J]. 农业科学研究, 2016, 37(1): 65-69. |
SHEN J L, WANG B, XU X. Review on research of using desulfurized gypsum to ameliorate saline-sodic soil [J]. J. Agric. Sci., 2016, 37(1): 65-69. | |
10 | 张济世, 于波涛, 张金凤, 等. 不同改良剂对滨海盐渍土土壤理化性质和小麦生长的影响[J]. 植物营养与肥料学报, 2017, 23(3): 704-711. |
ZHANG J S, YU B T, ZHANG J F, et al.. Effects of different amendments on soil physical and chemical properties and wheat growth in a coastal saline soil [J]. J. Plant Nutr. Fert., 2017, 23(3): 704-711. | |
11 | WU L P, ZHENG H N, WANG X J. Effects of soil amendments on fractions and stability of soil organic matter in saline-alkaline paddy [J/OL]. J. Environ. Manage., 2021, 294: 112993[2022-06-06]. . |
12 | ZHU L, JIA X, LI M X, et al.. Associative effectiveness of bio-organic fertilizer and soil conditioners derived from the fermentation of food waste applied to greenhouse saline soil in Shandong province, China [J/OL]. Appl. Soil Ecol., 2021, 167: 104006[2022-06-06]. . |
13 | 左文刚, 黄顾林, 朱晓雯, 等. 施用牛粪对沿海泥质滩涂土壤原始肥力驱动及黑麦草幼苗生长的影响[J]. 植物营养与肥料学报, 2016, 22(2): 372-379. |
ZUO W G, HUANG G L, ZHU X W, et al.. Motivating effect of different dairy manure addition on soil initial fertility formation and ryegrass growth in coastal mudflat soil [J]. J. Plant Nutr. Fert., 2016, 22(2): 372-379. | |
14 | JIANG S Q, YU Y N, GAO R W, et al.. High-throughput absolute quantification sequencing reveals the effect of different fertilizer applications on bacterial community in a tomato cultivated coastal saline soil [J]. Sci. Total Environ., 2019, 687: 601-609. |
15 | 卢星辰, 张济世, 苗琪, 等. 不同改良物料及其配施组合对黄河三角洲滨海盐碱土的改良效果[J]. 水土保持学报, 2017, 31(6): 326-332. |
LU X C, ZHANG J S, MIAO Q, et al.. Improvement effects of different ameliorants and their combinations on coastal saline-alkali soil in the Yellow River Delta [J]. J. Soil Water Conserv., 2017, 31(6): 326-332. | |
16 | 韩上, 武际, 李敏, 等. 深耕结合秸秆还田提高作物产量并改善耕层薄化土壤理化性质[J]. 植物营养与肥料学报, 2020, 26(2): 276-284. |
HAN S, WU J, LI M, et al.. Deep tillage with straw returning increase crop yield and improve soil physicochemical properties under topsoil thinning treatment [J]. J. Plant Nutr. Fert., 2020, 26(2): 276-284. | |
17 | ZHANG L, MAO L L, YAN X Y, et al.. Long-term cotton stubble return and subsoiling increases cotton yield through improving root growth and properties of coastal saline soil [J/OL]. Ind. Crops Prod., 2022, 177: 114472 [2022-06-06]. . |
18 | XIE H Y, LI J, ZHANG Y T, et al.. Evaluation of coastal farming under salinization and optimized fertilization strategies in China [J/OL]. Sci. Total Environ., 2021, 797: 149038 [2022-06-06]. . |
19 | 王金凤, 王壮壮, 谷丰序, 等. 氮密调控对两个冬小麦品种碳氮代谢及产量的影响[J]. 中国农业科学, 2021, 54(19): 4070-4083. |
WANG J F, WANG Z Z, GU F X, et al.. Effects of nitrogen fertilizer and plant density on carbon metabolism, nitrogen metabolism and grain yield of two winter wheat varieties [J]. Sci. Agric. Sin., 2021, 54(19): 4070-4083. | |
20 | SONG F P, ZHUGE Y P, GUO X S, et al.. Optimizing irrigation and fertilization can improve degraded saline soils and increase wheat grain yield [J]. Land Deg. Dev., 2021, 32(1): 494-504. |
21 | 王韵弘, 张济世, 王红叶, 等. 提高滨海盐渍地区春玉米产量及改善土壤盐碱特性的综合管理措施[J]. 植物营养与肥料学报, 2021, 27(11): 2045-2053. |
WANG Y H, ZHANG J S, WANG H Y, et al.. Improving soil properties and maize yield by integrating soil and crop management measures in coastal saline area [J]. J. Plant Nutr. Fert., 2021, 27(11): 2045-2053. | |
22 | 于宁宁, 赵子航, 任佰朝, 等. 综合农艺管理促进夏玉米氮素吸收、籽粒灌浆和品质提高[J]. 植物营养与肥料学报, 2020, 26(5): 797-805. |
YU N N, ZHAO Z H, REN B C, et al.. Integrated agronomic management practices improve nitrogen absorption, grain filling and nutritional qualities of summer maize [J]. J. Plant Nutr. Fert., 2020, 26(5): 797-805. | |
23 | 鲍士旦. 土壤农化分析[M].第三版. 北京: 中国农业出版社, 2000:1-495. |
24 | 王庆蒙, 景宇鹏, 李跃进, 等. 不同培肥措施对河套灌区盐碱地改良效果[J]. 中国土壤与肥料, 2020 (5): 124-131. |
WANG Q M, JING Y P, LI Y J, et al.. Effect of different fertilizer regime on the improvement of saline-alkali soil in Hetao irrigation dstrict [J]. Soils Fert. Sci., 2020 (5): 124-131. | |
25 | 丛聪, 王天舒, 岳龙凯, 等. 深松配施有机物料还田对黑土区坡耕地土壤物理性质的改良效应[J]. 中国土壤与肥料, 2021 (3): 227-236. |
CONG C, WANG T S, YUE L K, et al.. Amendment effect of subsoiling with organic materials application on soil physical properties of slope cropland in Mollisol region [J]. Soils Fert. Sci., 2021 (3): 227-236. | |
26 | 王秀娟, 解占军, 韩瑛祚, 等. 有机培肥对土壤肥力及玉米氮素利用和产量的影响[J]. 中国农业科技导报, 2021, 23(3):132-138. |
WANG X J, XIE Z J, HAN Y Z, et al.. Effects of organic fertilizers on soil fertility, nitrogen utilization and yield in maize [J]. J. Agric. Sci. Technol., 2021, 23(3): 132-138. | |
27 | 张峰举, 许兴, 肖国举. 脱硫石膏对碱化土壤团聚体特征的影响[J]. 干旱地区农业研究, 2013, 31(6): 108-114. |
ZHANG F J, XU X, XIAO G J. Influence of flue gas desulphurization gypsum on characteristics of soil aggregates in sodic soil [J]. Agric. Res. Arid Areas, 2013, 31(6): 108-114. | |
28 | 张美微, 屈俊峰, 张盼盼, 等. 减施氮肥对不同密度夏玉米产量和干物质积累特性的影响[J]. 玉米科学, 2021, 29(5): 145-150. |
ZHANG M W, QU J F, ZHANG P P, et al.. Effect of nitrogen fertilizer reduction on yield and dry matter accumulation in different planting densities of summer maize [J]. J. Maize Sci., 2021, 29(5): 145-150. | |
29 | YAN P, YUE S C, MENG Q F, et al.. An understanding of the accumulation of biomass and nitrogen is benefit for Chinese maize production [J]. Agric. J., 2016, 108(2): 895-904. |
30 | CHENG Y, ZHAO J, LIU Z X, et al.. Modified fertilization management of summer maize (Zea mays L.) in northern China improves grain yield and efficiency of nitrogen use [J]. J. Integr. Agric., 2015,14 (8): 1644-1657. |
31 | LIU G Z, HOU P, XIE R Z, et al.. Canopy characteristics of high-yield maize with yield potential of 22.5 Mg ha-1 [J]. Field Crop. Res., 2017, 213: 221-230. |
32 | 钟鹏,苗丽丽,刘杰, 等. 种植密度和方式对油莎豆群体结构和产量的影响[J]. 中国农业科技导报, 2022, 24(3):186-196. |
ZHONG P, MIAO L L, LIU J, et al.. Effects of planting density and mode on population structure and yield [J]. J. Agric. Sci. Technol., 2021, 23(3):132-138. | |
33 | 王祥宇, 魏珊珊, 董树亭, 等. 种植密度对熟期不同夏玉米群体光合性能及产量的影响[J]. 玉米科学, 2015, 23(1): 134-138. |
WANG X Y, WEI S S, DONG S T, et al.. Effects of planting densities on canopy apparent photosynthesis characteristics of summer maize in different maturity periods [J]. J. Maize Sci., 2015, 23(1): 134-138. | |
34 | 邵玉翠, 任顺荣, 廉晓娟, 等. 盐渍化土壤施用有机物-脱硫石膏改良剂效果的研究[J]. 水土保持学报, 2009, 23(5): 175-178. |
SHAO Y C, REN S R, LIAN X J, et al.. Effects of combined applications of organic matter and gypsum soil amendments on salinized soils [J]. J. Soil Water Conserv., 2009, 23(5): 175-178. | |
35 | ZHANG J S, MIAO Q, XUE Y F, et al.. Managing soils and crops for sustainable agricultural intensification in coastal saline zones [J]. Agron. J., 2020, 112(4): 3076-3088. |
36 | 王小彬, 闫湘, 李秀英, 等. 燃煤烟气脱硫石膏农用的环境安全风险[J]. 中国农业科学, 2018, 51(5): 926-939. |
WANG X B, YAN X, LI X Y, et al.. Environment risk for application of flue gas desulfurization gypsum in soils in China [J]. Sci. Agric. Sin., 2018, 51(5): 926-939. | |
37 | 毛玉梅, 李小平. 烟气脱硫石膏对滨海滩涂盐碱地的改良效果研究[J]. 中国环境科学, 2016, 36(1): 225-231. |
MAO Y M, LI X P. Amelioration of flue gas desulfurization gypsum on saline-sodic soil of tidal flats and its effects on plant growth [J]. China Environ. Sci., 2016, 36(1): 225-231. |
[1] | Yifan LIU, Shaoshuai LIU, Rui ZANG, Yang LI, Wei LIU, Tingting LI, Danmei LIU, Dengcai LIU, Aili LI, Long MAO, Xiang WANG, Shuaifeng GENG. Analysis of Quality Traits of 168 Wheat Germplasm Resources [J]. Journal of Agricultural Science and Technology, 2025, 27(9): 44-57. |
[2] | Caixia LYU, Yongfu LI, Huinan XIN, Na LI, Ning LAI, Qinglong GENG, Shuhuang CHEN. Effects of Slow Release Nitrogen Fertilizer on Yield of Winter Wheat and Soil Nitrate/Ammonium Nitrogen Under Drip Irrigation [J]. Journal of Agricultural Science and Technology, 2025, 27(8): 179-186. |
[3] | Haitao XU, Hongzhen MA, Wenwen WANG, Wenxiang FAN, Bo XU, Jungang ZHANG, Haibin GUO, Youhua WANG. Research on Dynamic Development and Accumulated Temperature Model of Maize Plant Height and Stem Diameter Based on Effective Accumulated Temperature [J]. Journal of Agricultural Science and Technology, 2025, 27(8): 187-201. |
[4] | Xiang SUN, Liyang ZHANG, Jiying YIN, Kaiyi WANG, Meirong GUO, Heju HUAI. Problems and Countermeasures of Digital Transformation of Maize Seed Production Base [J]. Journal of Agricultural Science and Technology, 2025, 27(8): 8-17. |
[5] | Qiang ZHU, Zongxian CHE, Heng CUI, Jiudong ZHANG, Xingguo BAO. Effect of Green Manure Replacing Nitrogen Fertilizer on Greenhouse Gases in Wheat Fields [J]. Journal of Agricultural Science and Technology, 2025, 27(7): 182-189. |
[6] | Yi HU, Jie GONG, Wei ZHAO, Rong CHENG, Zhongyu LIU, Shiqing GAO, Yazhen YANG. Identification of PHY Gene Family in Wheat (Triticum aestivum L.)and Their Expression Analysis Under Heat Stress [J]. Journal of Agricultural Science and Technology, 2025, 27(7): 30-43. |
[7] | Sile HU, Yulong BAO, Tubuxinbayaer, Jifeng TAO, Enliang GUO. Chlorophyll Content Inversion of Spring Wheat Based on Unmanned Aerial Vehicle Hyperspectral and Integrated Learning [J]. Journal of Agricultural Science and Technology, 2025, 27(6): 93-103. |
[8] | Shuo SHI, Yu FENG, Liang LI, Rui MENG, Yanze ZHANG, Xiurong YANG. Transcriptome Analysis of Resistance to Sharp Eyespot of Wheat Mediated by Piriformospora indica and Key Genes Screening [J]. Journal of Agricultural Science and Technology, 2025, 27(5): 133-145. |
[9] | Taotao MAO, Xiaoqiang ZHAO, Xiaodong BAI, Bin YU. Effect of Low Temperature Stress on Photosynthetic Performance, Antioxidant Enzyme System and Related Gene Expression in Maize Seedlings [J]. Journal of Agricultural Science and Technology, 2025, 27(5): 49-60. |
[10] | Saisai HOU, Shanshan TONG, Pengqi WANG, Bingxue XIE, Ruifang ZHANG, Xinxin WANG. Effects of Biochar and Straw on Growth Characteristics and Nutrient Uptake of Different Crops [J]. Journal of Agricultural Science and Technology, 2025, 27(4): 179-191. |
[11] | Zihao WANG, Xue ZHOU, Donghan ZHANG, Hongyi LIANG, Yan WANG, Ziang ZHAO, Qing CHEN. Effect of Water-soluble Fertilizers Containing Humic-acids on Maize Seedlings Growth and Soil Properties [J]. Journal of Agricultural Science and Technology, 2025, 27(4): 209-220. |
[12] | Bei MA, Jie GONG, Yinke DU, Yuwei GAN, Rong CHENG, Bo ZHU, Lixia YI, Jinxiu MA, Shiqing GAO. Identification and Expression Analysis of TaINP1 Gene Related to Pollen Pore Development in Wheat [J]. Journal of Agricultural Science and Technology, 2025, 27(4): 22-35. |
[13] | Yumang ZHANG, Guijuan CHEN, Hongyan CHANG, Yongheng WANG, Shuxia LIU, Yunxiu YING. Effect of New Degradable Soil Water-retaining Agent on Growth and Development of Maize Seedlings Under Water Stress at Seedling Stage [J]. Journal of Agricultural Science and Technology, 2025, 27(1): 201-210. |
[14] | Zhenyu XUE, Kangkang ZHANG, Yuanyuan ZHANG, Qiangqiang YAN, Lirong YAO, Hong ZHANG, Yaxiong MENG, Erjing SI, Baochun LI, Xiaole MA, Huajun WANG, Juncheng WANG. Screening and Functional Gene Detection of High-quality and Drought-resistant Wheat Germplasms [J]. Journal of Agricultural Science and Technology, 2025, 27(1): 35-49. |
[15] | Wenxuan SHI, Jinfang TAN, Qian ZHANG, Lantao LI, Yilun WANG. Effect of One-off Fertilization on Yield and Nitrogen Fertilizer Efficiency of Summer Maize in Different Ecological Regions [J]. Journal of Agricultural Science and Technology, 2024, 26(9): 193-202. |
Viewed | ||||||
Full text |
|
|||||
Abstract |
|
|||||