Journal of Agricultural Science and Technology ›› 2024, Vol. 26 ›› Issue (8): 189-200.DOI: 10.13304/j.nykjdb.2022.0963
• BIO-MANUFACTURING & RESOURCE AND ECOLOGY • Previous Articles Next Articles
Mei WU(), Jinzhu ZHANG(
), Zhenhua WANG, Jian LIU, Yue WEN, Xuanzhi LI
Received:
2022-11-07
Accepted:
2022-12-26
Online:
2024-08-15
Published:
2024-08-12
Contact:
Jinzhu ZHANG
通讯作者:
张金珠
作者简介:
吴梅 E-mail: 3106392644@qq.com;
基金资助:
CLC Number:
Mei WU, Jinzhu ZHANG, Zhenhua WANG, Jian LIU, Yue WEN, Xuanzhi LI. Effects of Water and Air Interaction on Physiological Growth and Yield of Maize Under Mulched Drip Irrigation[J]. Journal of Agricultural Science and Technology, 2024, 26(8): 189-200.
吴梅, 张金珠, 王振华, 刘健, 温越, 李宣志. 水气互作对膜下滴灌玉米生理生长及产量的影响[J]. 中国农业科技导报, 2024, 26(8): 189-200.
Add to citation manager EndNote|Ris|BibTeX
URL: https://nkdb.magtechjournal.com/EN/10.13304/j.nykjdb.2022.0963
处理Treatment | 灌水方式Irrigation method | 灌水量Irrigation amount/(m3∙hm-2) |
---|---|---|
AW1 | 加气滴灌Aerated drip irrigation | 3 375 |
AW2 | 加气滴灌Aerated drip irrigation | 4 500 |
AW3 | 加气滴灌Aerated drip irrigation | 5 625 |
AW4 | 加气滴灌Aerated drip irrigation | 6 750 |
CW1 | 不加气滴灌Non-aerated drip irrigation | 3 375 |
CW2 | 不加气滴灌Non-aerated drip irrigation | 4 500 |
CW3 | 不加气滴灌Non-aerated drip irrigation | 5 625 |
CW4 | 不加气滴灌Non-aerated drip irrigation | 6 750 |
Table 1 Experimental design
处理Treatment | 灌水方式Irrigation method | 灌水量Irrigation amount/(m3∙hm-2) |
---|---|---|
AW1 | 加气滴灌Aerated drip irrigation | 3 375 |
AW2 | 加气滴灌Aerated drip irrigation | 4 500 |
AW3 | 加气滴灌Aerated drip irrigation | 5 625 |
AW4 | 加气滴灌Aerated drip irrigation | 6 750 |
CW1 | 不加气滴灌Non-aerated drip irrigation | 3 375 |
CW2 | 不加气滴灌Non-aerated drip irrigation | 4 500 |
CW3 | 不加气滴灌Non-aerated drip irrigation | 5 625 |
CW4 | 不加气滴灌Non-aerated drip irrigation | 6 750 |
生育期 Growth stage (m/d) | 苗期 Seedling stage (4/22—5/31) | 拔节期 Jointing stage (6/1—6/28) | 抽雄期 Tasseling stag (6/29—7/21) | 灌浆期 Filling stage (7/22—8/14) | 成熟期 Maturity stage (8/15—8/26) | 全生育期 Whole growth period (4/22—8/26) |
---|---|---|---|---|---|---|
灌溉周期 Irrigation cycle/d | 30 | 10 | 7 | 10 | 15 | 125 |
灌溉比例 Ratio of irrigation/% | 10 | 20 | 35 | 25 | 10 | 100 |
灌溉次数 Frequency of irrigation | 1 | 3 | 3 | 2 | 1 | 10 |
Table 2 Experimental scheme of irrigation in each growth period
生育期 Growth stage (m/d) | 苗期 Seedling stage (4/22—5/31) | 拔节期 Jointing stage (6/1—6/28) | 抽雄期 Tasseling stag (6/29—7/21) | 灌浆期 Filling stage (7/22—8/14) | 成熟期 Maturity stage (8/15—8/26) | 全生育期 Whole growth period (4/22—8/26) |
---|---|---|---|---|---|---|
灌溉周期 Irrigation cycle/d | 30 | 10 | 7 | 10 | 15 | 125 |
灌溉比例 Ratio of irrigation/% | 10 | 20 | 35 | 25 | 10 | 100 |
灌溉次数 Frequency of irrigation | 1 | 3 | 3 | 2 | 1 | 10 |
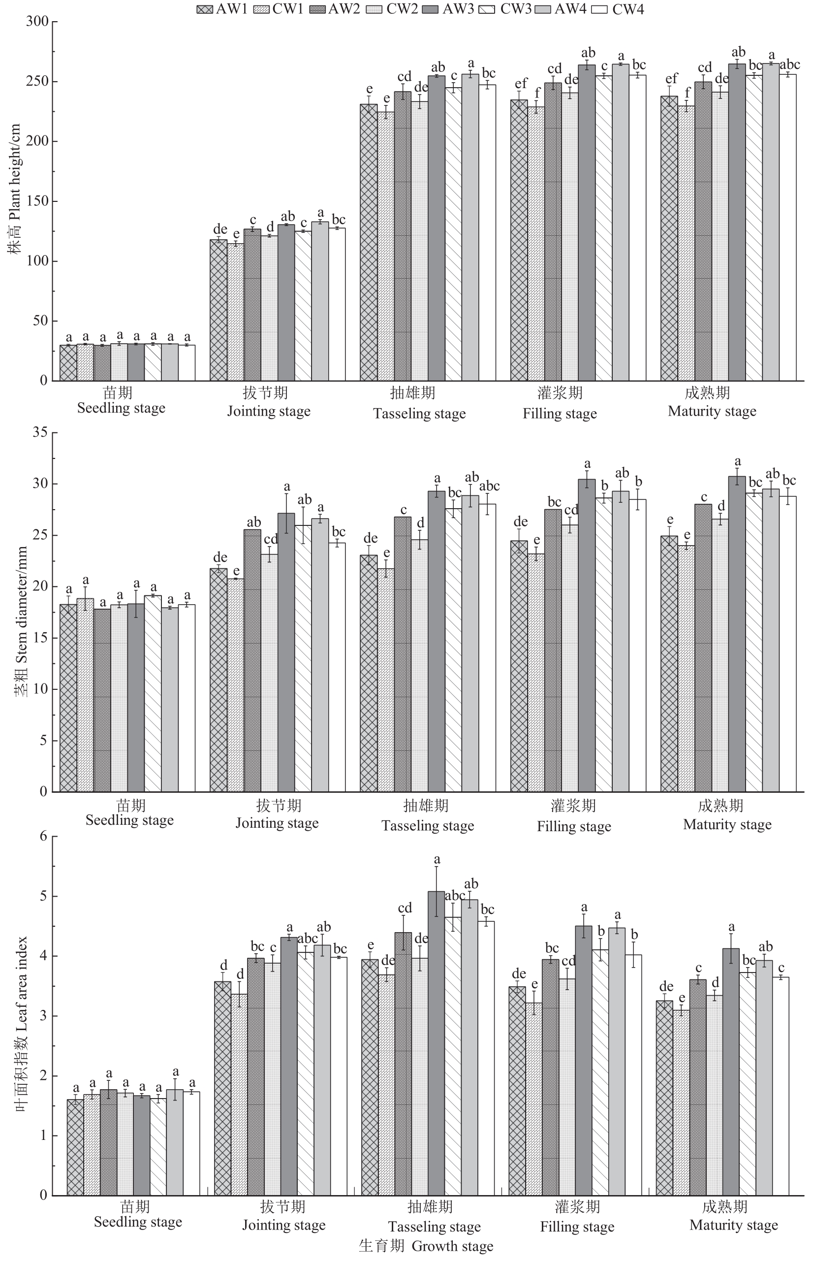
Fig. 3 Plant height, stem diameter and leaf area index of maize at different growth stages under different treatmentsNote: Different lowercase letters indicate significant differences between different treatments of same stage at P<0.05 level.
指标 Index | 处理 Treatment | 苗期 Seedling stage | 拔节期 Jointing stage | 抽雄期 Tasseling stage | 灌浆期 Filling stage | 成熟期 Maturity stage |
---|---|---|---|---|---|---|
株高 Plant height | W | 2.364 | 79.350** | 30.847** | 53.001** | 43.632** |
AC | 0.043 | 51.218** | 18.652* | 19.512** | 20.720** | |
W×AC | 0.689 | 0.691 | 0.133 | 0.170 | 0.026 | |
茎粗 Stem diameter | W | 1.387 | 24.403** | 60.512** | 51.643** | 77.642** |
AC | 3.333 | 14.007* | 17.009** | 14.105** | 18.019* | |
W×AC | 0.143 | 0.684 | 0.651 | 0.369 | 0.594 | |
叶面积指数 Leaf area index | W | 2.094 | 34.377** | 38.051** | 45.001** | 46.526** |
AC | 0.149 | 11.731* | 23.200** | 29.208** | 31.186** | |
W×AC | 0.705 | 0.435 | 0.403 | 0.368 | 1.049 |
Table 3 Two-factor variance analysis of different treatments on plant height, stem diameter and leaf area index of maize at different growth stages
指标 Index | 处理 Treatment | 苗期 Seedling stage | 拔节期 Jointing stage | 抽雄期 Tasseling stage | 灌浆期 Filling stage | 成熟期 Maturity stage |
---|---|---|---|---|---|---|
株高 Plant height | W | 2.364 | 79.350** | 30.847** | 53.001** | 43.632** |
AC | 0.043 | 51.218** | 18.652* | 19.512** | 20.720** | |
W×AC | 0.689 | 0.691 | 0.133 | 0.170 | 0.026 | |
茎粗 Stem diameter | W | 1.387 | 24.403** | 60.512** | 51.643** | 77.642** |
AC | 3.333 | 14.007* | 17.009** | 14.105** | 18.019* | |
W×AC | 0.143 | 0.684 | 0.651 | 0.369 | 0.594 | |
叶面积指数 Leaf area index | W | 2.094 | 34.377** | 38.051** | 45.001** | 46.526** |
AC | 0.149 | 11.731* | 23.200** | 29.208** | 31.186** | |
W×AC | 0.705 | 0.435 | 0.403 | 0.368 | 1.049 |
Fig. 4 Photosynthesis parameters of maize at grain filling stage under different treatmentsNote: Different lowercase letters indicate significant differences between different treatments at P<0.05 level.
处理 Treatment | 净光合速率 Pn/(µmol·m-2·s-1) | 气孔导度 Gs/(mmol·m-2·s-1) | 蒸腾速率 Tr/(mmol·m-2·s-1) | 胞间CO2浓度 Ci/(µmol·mol-1) |
---|---|---|---|---|
W | 57.897** | 30.887** | 36.177** | 45.214** |
AC | 43.223** | 27.312** | 13.494** | 38.347** |
W× AC | 0.485 | 0.655 | 1.623 | 2.351 |
Table 4 Two-factor variance analysis of different treatments on maize photosynthesis of maize at grain filling stage
处理 Treatment | 净光合速率 Pn/(µmol·m-2·s-1) | 气孔导度 Gs/(mmol·m-2·s-1) | 蒸腾速率 Tr/(mmol·m-2·s-1) | 胞间CO2浓度 Ci/(µmol·mol-1) |
---|---|---|---|---|
W | 57.897** | 30.887** | 36.177** | 45.214** |
AC | 43.223** | 27.312** | 13.494** | 38.347** |
W× AC | 0.485 | 0.655 | 1.623 | 2.351 |
处理 Treatment | 干物质量/(g·株-1) Dry matter accumulation/(g·plant-1) | |||
---|---|---|---|---|
茎 Stem | 叶 Leaf | 穗 Spike | 总 Total | |
AW1 | 41.80±1.20 ef | 22.92±1.22 de | 197.31±3.79 de | 262.02±3.75 de |
AW2 | 45.66±0.83 d | 27.15±1.02 bc | 216.20±5.68 c | 289.01±5.63 c |
AW3 | 51.82±0.74 a | 30.72±1.22 a | 235.80±7.53 a | 318.34±6.89 a |
AW4 | 50.09±1.58 ab | 29.26±1.50 ab | 230.53±6.71 ab | 309.89±9.64 ab |
CW1 | 40.32±1.42 f | 21.67±1.08 e | 186.29±6.53 e | 248.29±8.70 e |
CW2 | 43.33±1.87 e | 24.87±1.65 cd | 202.21±8.00 d | 270.41±11.24 d |
CW3 | 48.19±1.62 bc | 28.00±1.05 b | 219.21±3.93 bc | 295.40±5.72 bc |
CW4 | 47.52±0.90 cd | 27.77±0.99 b | 217.88±7.95 bc | 293.17±8.85 c |
W | 57.296** | 39.452** | 38.325** | 53.463** |
AC | 21.259** | 14.678* | 26.447** | 31.153** |
W×AC | 0.668 | 0.458 | 0.200 | 0.357 |
Table 5 Dry matter accumulation of maize at maturity under different treatments
处理 Treatment | 干物质量/(g·株-1) Dry matter accumulation/(g·plant-1) | |||
---|---|---|---|---|
茎 Stem | 叶 Leaf | 穗 Spike | 总 Total | |
AW1 | 41.80±1.20 ef | 22.92±1.22 de | 197.31±3.79 de | 262.02±3.75 de |
AW2 | 45.66±0.83 d | 27.15±1.02 bc | 216.20±5.68 c | 289.01±5.63 c |
AW3 | 51.82±0.74 a | 30.72±1.22 a | 235.80±7.53 a | 318.34±6.89 a |
AW4 | 50.09±1.58 ab | 29.26±1.50 ab | 230.53±6.71 ab | 309.89±9.64 ab |
CW1 | 40.32±1.42 f | 21.67±1.08 e | 186.29±6.53 e | 248.29±8.70 e |
CW2 | 43.33±1.87 e | 24.87±1.65 cd | 202.21±8.00 d | 270.41±11.24 d |
CW3 | 48.19±1.62 bc | 28.00±1.05 b | 219.21±3.93 bc | 295.40±5.72 bc |
CW4 | 47.52±0.90 cd | 27.77±0.99 b | 217.88±7.95 bc | 293.17±8.85 c |
W | 57.296** | 39.452** | 38.325** | 53.463** |
AC | 21.259** | 14.678* | 26.447** | 31.153** |
W×AC | 0.668 | 0.458 | 0.200 | 0.357 |
处理 Treatment | 秃尖长 Bald tip long/cm | 穗长 Ear length/cm | 穗粒数 Grain number | 千粒重 1 000-kernel weight/g | 产量 Yield/(kg∙hm-2) | 灌溉水利用效率 IWUE/(kg∙m-3) |
---|---|---|---|---|---|---|
AW1 | 2.08±0.22 ab | 18.72±0.28 cd | 475.67±17.00 ef | 369.50±6.79 f | 10 768±483 f | 3.19±0.04 a |
AW2 | 1.74±0.05 cd | 19.48±0.34 bc | 506.00±10.77 cd | 379.70±1.00 de | 12 843±233 de | 2.85±0.05 b |
AW3 | 0.98±0.17 f | 21.18±1.11 a | 567.00±7.56 a | 411.80±3.57 a | 14 629±132 a | 2.60±0.02 cd |
AW4 | 1.42±0.02 e | 20.17±0.34 b | 536.87±5.85 b | 398.70±5.18 b | 14 081±179 ab | 2.09±0.03 e |
CW1 | 2.35±0.34 a | 18.14±0.25 d | 462.33±12.27 f | 358.80±2.74 g | 10 395±517 f | 3.08±0.15 a |
CW2 | 1.97±0.10 bc | 18.78±0.30 cd | 487.33±4.57 de | 371.70±6.73 ef | 12 243±228 e | 2.72±0.05 bc |
CW3 | 1.32±0.14 e | 20.15±0.22 bc | 535.33±4.77 b | 388.60±1.19 c | 13 743±327 bc | 2.44±0.06 d |
CW4 | 1.62±0.06 de | 19.60±0.53 bc | 518.20±12.59 bc | 383.10±2.69 cd | 13 235±55 cd | 1.96±0.01 e |
W | 42.871** | 21.999** | 72.666** | 82.771** | 158.929* | 191.305** |
AC | 13.875** | 12.278** | 23.951** | 66.811** | 28.560** | 14.891** |
W×AC | 0.177 | 0.280 | 0.861 | 3.615* | 0.889 | 0.070 |
Table 6 Maize yield and irrigation water use efficiency under different treatments
处理 Treatment | 秃尖长 Bald tip long/cm | 穗长 Ear length/cm | 穗粒数 Grain number | 千粒重 1 000-kernel weight/g | 产量 Yield/(kg∙hm-2) | 灌溉水利用效率 IWUE/(kg∙m-3) |
---|---|---|---|---|---|---|
AW1 | 2.08±0.22 ab | 18.72±0.28 cd | 475.67±17.00 ef | 369.50±6.79 f | 10 768±483 f | 3.19±0.04 a |
AW2 | 1.74±0.05 cd | 19.48±0.34 bc | 506.00±10.77 cd | 379.70±1.00 de | 12 843±233 de | 2.85±0.05 b |
AW3 | 0.98±0.17 f | 21.18±1.11 a | 567.00±7.56 a | 411.80±3.57 a | 14 629±132 a | 2.60±0.02 cd |
AW4 | 1.42±0.02 e | 20.17±0.34 b | 536.87±5.85 b | 398.70±5.18 b | 14 081±179 ab | 2.09±0.03 e |
CW1 | 2.35±0.34 a | 18.14±0.25 d | 462.33±12.27 f | 358.80±2.74 g | 10 395±517 f | 3.08±0.15 a |
CW2 | 1.97±0.10 bc | 18.78±0.30 cd | 487.33±4.57 de | 371.70±6.73 ef | 12 243±228 e | 2.72±0.05 bc |
CW3 | 1.32±0.14 e | 20.15±0.22 bc | 535.33±4.77 b | 388.60±1.19 c | 13 743±327 bc | 2.44±0.06 d |
CW4 | 1.62±0.06 de | 19.60±0.53 bc | 518.20±12.59 bc | 383.10±2.69 cd | 13 235±55 cd | 1.96±0.01 e |
W | 42.871** | 21.999** | 72.666** | 82.771** | 158.929* | 191.305** |
AC | 13.875** | 12.278** | 23.951** | 66.811** | 28.560** | 14.891** |
W×AC | 0.177 | 0.280 | 0.861 | 3.615* | 0.889 | 0.070 |
Fig. 6 Correlations among various indexes of maize under different treatmentsNote: * and ** indicate significant correlations at P<0. 05 and P<0. 01 levels, respectively.
1 | CHE Z, WANG J, LI J S. Effects of water quality, irrigation amount and nitrogen applied on soil salinity and cotton production under mulched drip irrigation in arid Northwest China [J/OL]. Agric. Water Manage., 2021, 247: 106738 [2022-10-10]. . |
2 | NING S R, ZHOU B B, SHI J C, et al.. Soil water/salt balance and water productivity of typical irrigation schedules for cotton under film mulched drip irrigation in northern Xinjiang [J/OL]. Agric. Water Manage., 2021,245: 106651[2022-10-10]. . |
3 | 王振华, 陈学庚, 郑旭荣, 等. 关于我国大田滴灌未来发展的思考[J].干旱地区农业研究,2020,38(4): 1-9, 38. |
WANG Z H, CHEN X G, ZHENG X R, et al.. Discussion of the future development of field drip irrigation in China [J]. Agric. Res. Arid Areas, 2020, 38(4): 1-9, 38. | |
4 | 国家统计局. 中国统计年鉴[M]. 北京: 中国统计出版社, 2021: 395-397. |
5 | SHAHZAD K, BARY A I, COLLINS D P, et al.. Carbon dioxide and oxygen exchange at the soil-atmosphere boundary as affected by various mulch materials [J/OL]. Soil Tillage Res., 2019, 194: 104335 [2022-10-10]. . |
6 | NAN W G, YUE S C, HUANG H Z, et al.. Effects of plastic film mulching on soil greenhouse gases (CO2, CH4 and N2O) concentration within soil profiles in maize fields on the Loess Plateau, China [J]. J. Integr. Agric., 2016, 15(2): 451-464. |
7 | ZHU Y, CAI H J, SONG L B, et al.. Aerated irrigation of different irrigation levels and subsurface dripper depths affects fruit yield, quality and water use efficiency of greenhouse tomato [J]. Sustainability, 2020, 12(7): 1-19. |
8 | LI Y, NIU W Q, ZHANG M Z, et al.. Artificial soil aeration increases soil bacterial diversity and tomato root performance under greenhouse conditions [J]. Land Degrad. Dev., 2020, 31(12): 1443-1461. |
9 | 朱艳, 蔡焕杰, 宋利兵, 等. 加气灌溉改善温室番茄根区土壤通气性[J]. 农业工程学报, 2017, 33(21): 163-172. |
ZHU Y, CAI H J, SONG L B, et al.. Oxygation improving soil aeration around tomato root zone in greenhouse [J]. Trans. Chin. Soc. Agric. Eng., 2017, 33(21): 163-172. | |
10 | 李江, 潘艳川, 缴锡云, 等. 加气灌溉对麦秸秆还田后土壤还原性与水稻生长的影响[J]. 农业机械学报, 2021, 52(9): 250-259. |
LI J, PAN Y C, JIAO X Y, et al.. Effects of aerated irrigation on rice growth and soil reducibility under wheat straw returning conditions [J]. Trans. Chin. Soc. Agric. Mach., 2021, 52(9): 250-259. | |
11 | LI Y, NIU W Q, DYCK M, et al.. Yields and nutritional of greenhouse tomato in response to different soil aeration volume at two depths of subsurface drip irrigation [J/OL]. Sci. Rep., 2016, 6(1): 39307 [2022-10-10]. . |
12 | BEN-NOAH I, FRIEDMAN S P. Aeration of clayey soils by injecting air through subsurface drippers: lysimetric and field experiments [J]. Agric. Water Manage., 2016, 176:222-233. |
13 | PENDERGAST L, BHATTARAI S P, MIDMORE D J. Evaluation of aerated subsurface drip irrigation on yield, dry weight partitioning and water use efficiency of a broad-acre chickpea (Cicer arietinum L.) in a vertosol [J]. Agric. Water Manage., 2019, 217: 38-46. |
14 | 曹雪松, 李和平, 郑和祥, 等. 加气灌溉对根区土壤肥力质量与作物生长的影响[J].干旱地区农业研究, 2020, 38(1): 183-189. |
CAO X S, LI H P, ZHENG H X, et al.. Effect of aerated irrigation on crop growth and soil fertility quality in root zone [J]. Agric. Res. Arid Areas, 2020, 38(1): 183-189. | |
15 | 庞婕, 韩其晟, 周爽, 等. 水气互作对温室番茄生长、产量和水分利用效率的影响[J].灌溉排水学报,2022,41(1):87-94. |
PANG J, HAN Q S, ZHOU S, et al.. The Integrative effects of irrigation and aeration on growth and water use efficiency of greenhouse tomato [J]. J. Irrig. Drain., 2022,41(1):87-94. | |
16 | 杨海军, 仵峰, 方海平, 等. 基于加气水滴灌的土壤环境调节机理研究[J].物理学报, 2019, 68(1): 94-106. |
YANG H J, WU F, FANG H P, et al.. Mechanism of soil environmental regulation by aerated drip irrigation [J]. Acta Phys. Sin., 2019, 68(1): 94-106. | |
17 | 翟超, 周和平, 赵健. 北疆膜下滴灌玉米年际需水量及耗水规律[J]. 中国农业科学, 2017, 50(14): 2769-2780. |
ZHAI C, ZHOU H P, ZHAO J. Experimental study on inter-annual water requirement and water consumption of drip irrigation maize in north of Xinjiang [J]. Sci. Agric. Sin., 2017, 50(14): 2769-2780. | |
18 | 孟玉, 王振华, 李文昊, 等. 降解膜覆盖对滴灌玉米土壤水温变化及其生长的影响[J]. 西北农业学报, 2021, 30(2): 192-202. |
MENG Y, WANG Z H, LI W H, et al.. Effects of degradable film mulching on soil hydrothermal variation and growth of maize under drip irrigation [J]. Acta Agric. Bor-Occid. Sin., 2021, 30(2): 192-202. | |
19 | BU L D, LIU J L, ZHU L, et al.. The effects of mulching on maize growth, yield and water use in a semi-arid region [J]. Agric. Water Manage., 2013, 123: 71-78. |
20 | 吴梅, 张金珠, 王振华, 等. 加气滴灌和可降解膜覆盖对玉米生长发育及水分利用的影响[J].中国生态农业学报, 2022, 30(9): 1425-1438. |
WU M, ZHANG J Z, WANG Z H, et al.. Effects of aerated drip irrigation and degradable film mulching on growth and water use of maize [J]. Chin. J. Ecol. Agric., 2022, 30(9): 1425-1438. | |
21 | 王鹏勃, 李建明, 丁娟娟, 等. 水肥耦合对温室袋培番茄品质、产量及水分利用效率的影响[J]. 中国农业科学, 2015, 48(2): 314-323. |
WANG P B, LI J M, DING J J, et al.. Effect of water and fertilizer coupling on quality, yield and water use efficiency of tomato cultivated by organic substrate in bag [J]. Sci. Agric. Sin., 2015, 48(2): 314-323. | |
22 | 胡建强, 赵经华, 马英杰, 等. 不同灌水定额对膜下滴灌玉米的生长、产量及水分利用效率的影响[J].水资源与水工程学报, 2018, 29(5): 249-254. |
HU J Q, ZHAO J H, MA Y J, et al.. Effects of different irrigation quota on growth, yield and water use efficiency of drip irrigation maize under mulch [J]. J. Water Resour. Water Eng., 2018, 29(5): 249-254. | |
23 | 雷宏军, 肖哲元, 肖让, 等. 水、肥、气耦合滴灌对温室番茄生长和品质的影响[J].干旱地区农业研究,2020,38(5):168-175. |
LEI H J, XIAO Z Y, XIAO R, et al.. Effect of water-fertilizer-gas coupled drip irrigation on greenhouse tomato growth and fruit quality [J]. Agric. Res. Arid Areas, 2020,38(5):168-175. | |
24 | ABUARAB M, MOSTAFA E, IBRAHIM M. Effect of air injection under subsurface drip irrigation on yield and water use efficiency of corn in a sandy clay loam soil [J]. J. Adv. Res., 2013, 4(6): 493-499. |
25 | 于珍珍. 水肥气耦合调控土壤环境对玉米生长影响的研究[D]. 大庆: 黑龙江八一农垦大学, 2020. |
YU Z Z. Study on the effect of water, fertilizer and gas coupling on soil growth and control of maize growth [D]. Daqing: Heilongjiang Bayi Agricultural University, 2020. | |
26 | 郑孟静, 翟立超, 申海平, 等. 种植密度对河北夏玉米生理成熟后茎秆抗倒能力及产量的影响[J]. 核农学报, 2022, 36(7): 1434-1445. |
ZHENG M J, ZHAI L C, SHEN H P, et al.. Effects of planting density on stem lodging resistance and grain yield of summer maize after physiological maturity in Hebei [J]. J. Nucl. Agric. Sci., 2022, 36(7): 1434-1445. | |
27 | DU Y, ZHANG Q, CUI B, et al.. Aerated irrigation improves tomato yield and nitrogen use efficiency while reducing nitrogen application rate [J/OL]. Agric. Water Manage., 2020, 235: 106152 [2022-10-10]. . |
28 | ENNAHLI S, EARL H J. Physiological limitations to photosynthetic carbon assimilation in cotton under water stress [J]. Crop Sci., 2005, 45(6):2374-2382. |
29 | 张健利, 王振华, 宗睿, 等. 水气互作对滴灌加工番茄生长及品质的影响[J]. 江苏农业学报, 2022, 38(2): 453-461. |
ZHANG J L, WANG Z H, ZONG R, et al.. Effects of water and air interaction on growth and quality of drip-irrigated processing tomato [J]. Jiangsu J. Agric. Sci., 2022, 38(2): 453-461. | |
30 | OUYANG Z, TIAN J C, YAN X F, et al.. Effects of different concentrations of dissolved oxygen on the growth,photosynthesis, yield and quality of greenhouse tomatoes and changes in soil microorganism [J/OL]. Agric. Water Manage., 2021, 245: 106579 [2022-10-10]. . |
31 | 徐晨, 李前, 赵洪祥, 等. 灌溉定额对半干旱区春玉米生长发育的影响[J]. 西北农林科技大学学报(自然科学版), 2019, 47(10): 41-51, 62. |
XU C, LI Q, ZHAO H X, et al.. Effects of irrigation quota on growth of spring maize with drip irrigation in semi-arid region [J]. J. Northwest A&F Univ. (Nat.Sci.), 2019, 47(10): 41-51, 62. | |
32 | 李元, 牛文全, 吕望, 等. 加气灌溉改善大棚番茄光合特性及干物质积累[J]. 农业工程学报, 2016, 32(18): 125-132. |
LI Y, NIU W Q, LYU W, et al.. Aerated irrigation improving photosynthesis characteristics and dry matter accumulation of greenhouse tomato [J]. Trans. Chin. Soc. Agric. Eng., 2016, 32(18): 125-132. | |
33 | 刘健, 姚宁, 吝海霞, 等. 冬小麦物候期对土壤水分胁迫的响应机制与模拟[J].农业工程学报, 2016, 32(21): 115-124. |
LIU J, YAO N, LIN H X, et al.. Response mechanism and simulation of winter wheat phenology to soil water stress [J]. Trans. Chin. Soc. Agric. Eng., 2016, 32(21): 115-124. | |
34 | 张美桃, 杨培岭, 任树梅, 等. 灌溉水盐分及灌水量对土壤水盐分布与春玉米生长的影响[J]. 水土保持学报, 2022, 36(4): 290-298. |
ZHANG M T, YANG P L, REN S M, et al.. Effects of irrigation water salinity and irrigation amount on soil water and salt distribution and spring maize growth [J]. J. Soil Water Conserv., 2022, 36(4): 290-298. | |
35 | 王风姣, 王振华, 李文昊. 灌水量及可降解膜覆盖对滴灌玉米土壤呼吸及产量的影响[J]. 干旱地区农业研究, 2019, 37(5): 1-8, 21. |
WANG F J, WANG Z H, LI W H. Effects of irrigation amount and degradable membrane mulching on soil respiration and yield of drip-irrigated corn [J]. Agric. Res. Arid Areas, 2019, 37(5): 1-8, 21. | |
36 | 于珍珍, 王宏轩, 邹华芬, 等. 加气灌溉下红壤土呼吸速率变化及其与土壤水氧的关系[J]. 热带作物学报, 2022, 43(1): 110-118. |
YU Z Z, WANG H X, ZOU H F, et al.. Changes of red soil respiration rate under aerated irrigation and its relationship with soil water and oxygen [J]. Chin. J. Trop. Crops, 2022, 43(1): 110-118. | |
37 | MBONIMPA M, AUBERTIN M, AACHIB M, et al.. Diffusion and consumption of oxygen in unsaturated cover materials [J]. Can. Geotech. J., 2003, 40: 916-932. |
[1] | Zhenfei ZHANG, An YAN, Jing GUO, Yuhang ZHAO, Yilin YUAN, Peng LIU, Zuohao QU, Chuan YUAN. Research on Apple Yield Estimation Model Based on Unmanned Aerial Vehicle Remote Sensing [J]. Journal of Agricultural Science and Technology, 2025, 27(9): 110-119. |
[2] | Jianfeng ZHANG, Wenfeng HOU, Yongqing WU, Kaixu LI, Xiaokun LI. Effects of Nitrogen Fertilizer and Density Interactions on Occurrence of Diseases and Insect Pests and Grain Yield of Rice [J]. Journal of Agricultural Science and Technology, 2025, 27(9): 145-154. |
[3] | Shanshan TONG, Feng JIN, Qingzhu YANG, Ruifang ZHANG, Xinxin WANG, Hong WANG. Effects of Fertilization by Mulched Drip Irrigation on Soil Nutrient Accumulation and Distribution in Pear Orchards on Gneiss Mountain Slopes [J]. Journal of Agricultural Science and Technology, 2025, 27(9): 181-192. |
[4] | Caixia LYU, Yongfu LI, Huinan XIN, Na LI, Ning LAI, Qinglong GENG, Shuhuang CHEN. Effects of Slow Release Nitrogen Fertilizer on Yield of Winter Wheat and Soil Nitrate/Ammonium Nitrogen Under Drip Irrigation [J]. Journal of Agricultural Science and Technology, 2025, 27(8): 179-186. |
[5] | Haitao XU, Hongzhen MA, Wenwen WANG, Wenxiang FAN, Bo XU, Jungang ZHANG, Haibin GUO, Youhua WANG. Research on Dynamic Development and Accumulated Temperature Model of Maize Plant Height and Stem Diameter Based on Effective Accumulated Temperature [J]. Journal of Agricultural Science and Technology, 2025, 27(8): 187-201. |
[6] | Xueqing LIU, Jing WANG, Yi YANG, Huiqin WU, Yanhong WANG, Luyao WANG, Jiawei LU, Kaixuan ZHANG, Yuan ZHAI, Yan CHENG. Effect of Exogenous Ethephon on Defoliation and Yield of Pigmented Pepper [J]. Journal of Agricultural Science and Technology, 2025, 27(8): 36-46. |
[7] | Xiang SUN, Liyang ZHANG, Jiying YIN, Kaiyi WANG, Meirong GUO, Heju HUAI. Problems and Countermeasures of Digital Transformation of Maize Seed Production Base [J]. Journal of Agricultural Science and Technology, 2025, 27(8): 8-17. |
[8] | Qi ZHOU, Qiang LIU, Jing ZHANG, Chaochao DENG, Zhenlong WANG, Yang LIU, Fang WU, Hao CHANG, Yanfang ZHOU, Cuicui SU, Zhiguo SHI, Zhengrui GAO, Fengjie MA. Effects of Organic Fertilizer Replacing Chemical Fertilizer on Yield and Soil Biological Characteristics of Pumpkin [J]. Journal of Agricultural Science and Technology, 2025, 27(7): 190-203. |
[9] | Shichao CHEN, Ju WANG, Fuqiang GUO, Rui HAO, Jianping SHI. Effects of Different Water and Nitrogen Coupling on Physiological Indexes and Yield of Protein Mulberry [J]. Journal of Agricultural Science and Technology, 2025, 27(6): 240-249. |
[10] | Lijun DUAN, Xianhua DING, Weiqin LI, Shuangdui YAN. Investigation of Co-pyrolysis Behavior and Pyrolysis Product Analysis of Oak Bark and Corn Stalks [J]. Journal of Agricultural Science and Technology, 2025, 27(5): 164-172. |
[11] | Taotao MAO, Xiaoqiang ZHAO, Xiaodong BAI, Bin YU. Effect of Low Temperature Stress on Photosynthetic Performance, Antioxidant Enzyme System and Related Gene Expression in Maize Seedlings [J]. Journal of Agricultural Science and Technology, 2025, 27(5): 49-60. |
[12] | Guiqian ZHANG, Li ZHANG, Qian WANG, Caiyun LIU. Effect of Astragalus Polysaccharides on Colony Development and Honey Production in Honeybees [J]. Journal of Agricultural Science and Technology, 2025, 27(5): 72-80. |
[13] | Saisai HOU, Shanshan TONG, Pengqi WANG, Bingxue XIE, Ruifang ZHANG, Xinxin WANG. Effects of Biochar and Straw on Growth Characteristics and Nutrient Uptake of Different Crops [J]. Journal of Agricultural Science and Technology, 2025, 27(4): 179-191. |
[14] | Yan WU, Leping ZOU, Huijie SONG, Dandan HU, Kailou LIU, Wanli LIANG. Effect of Controlled-release Nitrogen Fertilizer Combined Urea on Ammonium Nitrogen of Surface Water and Early Rice Yield [J]. Journal of Agricultural Science and Technology, 2025, 27(4): 192-200. |
[15] | Zihao WANG, Xue ZHOU, Donghan ZHANG, Hongyi LIANG, Yan WANG, Ziang ZHAO, Qing CHEN. Effect of Water-soluble Fertilizers Containing Humic-acids on Maize Seedlings Growth and Soil Properties [J]. Journal of Agricultural Science and Technology, 2025, 27(4): 209-220. |
Viewed | ||||||
Full text |
|
|||||
Abstract |
|
|||||