Journal of Agricultural Science and Technology ›› 2023, Vol. 25 ›› Issue (11): 192-206.DOI: 10.13304/j.nykjdb.2022.0500
• BIO-MANUFACTURING & RESOURCE AND ECOLOGY • Previous Articles Next Articles
Shiya WANG(), Xinyi WANG, Ying LIU, Huiying HU, Haiyan SUN, Wei GUO(
)
Received:
2022-06-15
Accepted:
2022-09-08
Online:
2023-11-15
Published:
2023-11-20
Contact:
Wei GUO
王诗雅(), 王欣怡, 刘莹, 胡慧颖, 孙海燕, 郭伟(
)
通讯作者:
郭伟
作者简介:
王诗雅E-mail: wsy1106ok@126.com;
基金资助:
CLC Number:
Shiya WANG, Xinyi WANG, Ying LIU, Huiying HU, Haiyan SUN, Wei GUO. Effect of Graphene on Soil Nutrient Transformation and Root Growth of Maize Seedlings[J]. Journal of Agricultural Science and Technology, 2023, 25(11): 192-206.
王诗雅, 王欣怡, 刘莹, 胡慧颖, 孙海燕, 郭伟. 石墨烯对土壤养分转化及玉米苗期根系生长的影响[J]. 中国农业科技导报, 2023, 25(11): 192-206.
Add to citation manager EndNote|Ris|BibTeX
URL: https://nkdb.magtechjournal.com/EN/10.13304/j.nykjdb.2022.0500
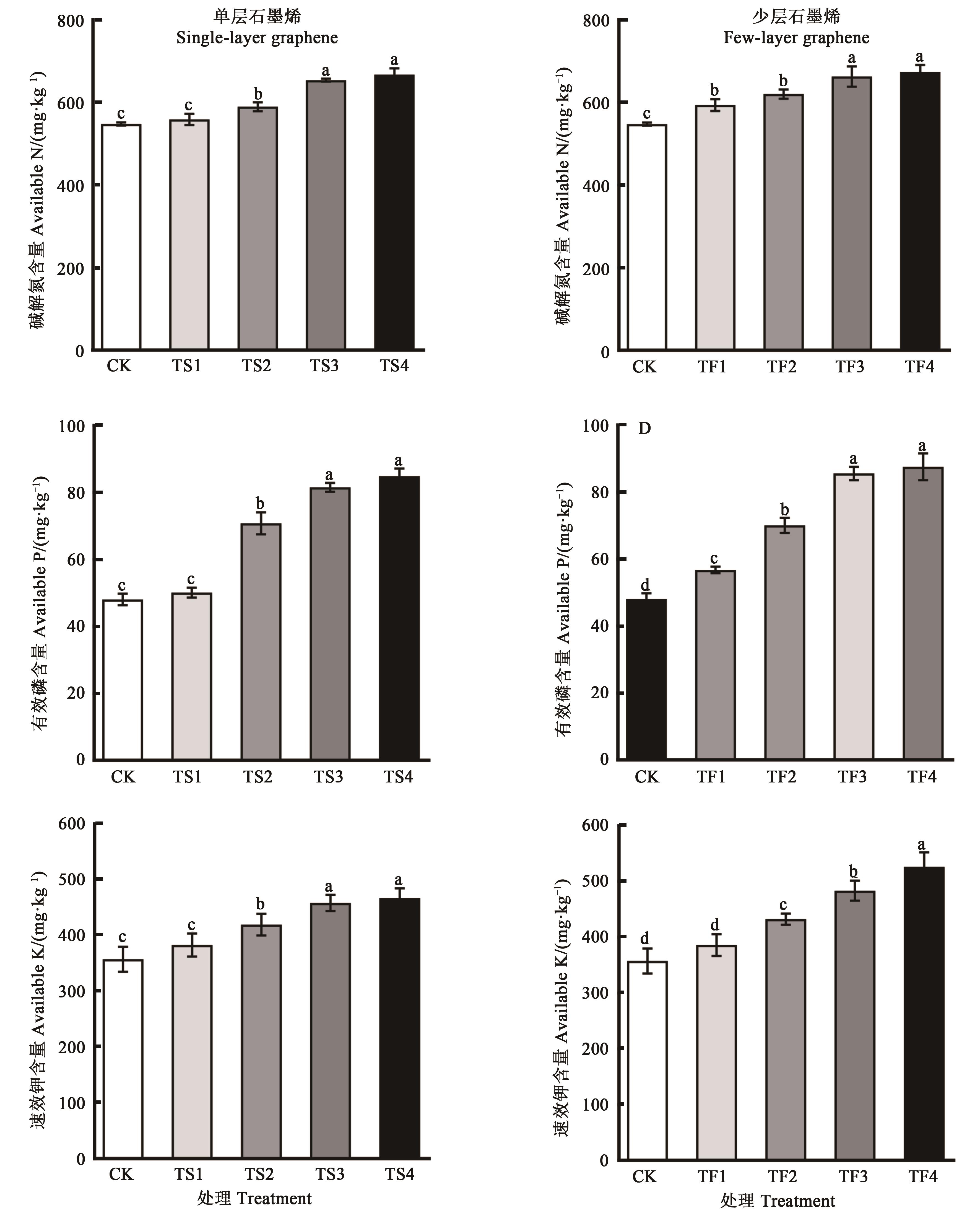
Fig. 1 Contents of available nutrients under soil under different treatmentsNote:Different lowercase letters indicate significant differences between different treatments at P<0.05 level.
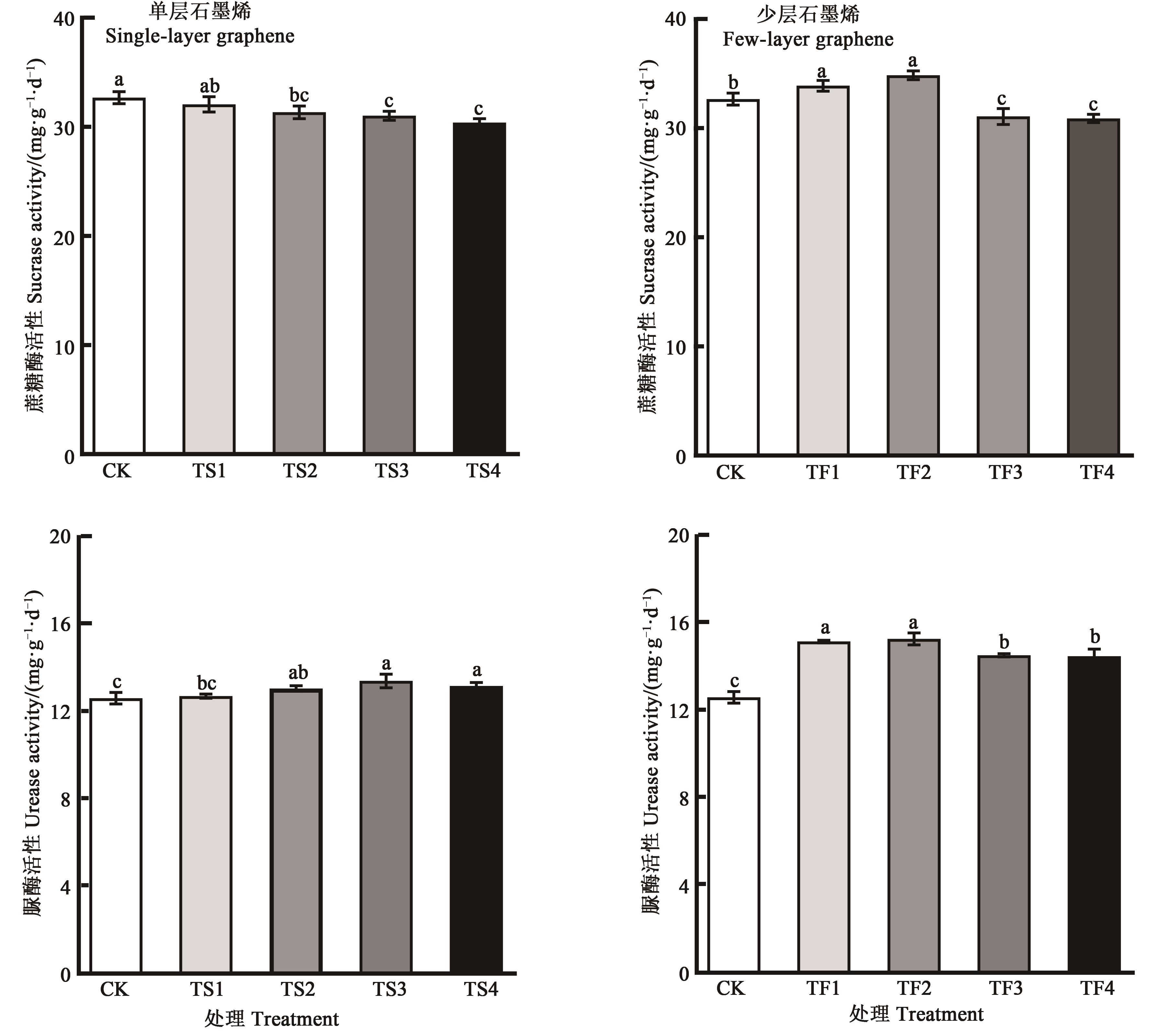
Fig. 2 Soil enzyme activity under different treatmentsNote:Different lowercase letters indicate significant differences between different treatments at P<0.05 level.
处理Treatment | 根长 Root length/cm | 根鲜重 Root fresh weight/g | 根干重 Root dry weight/g | 根体积 Root volume/cm3 | 地上部鲜重 Shoot fresh weight/g | 地上部干重 Shoot dry weight/g |
---|---|---|---|---|---|---|
CK | 41.33±0.67 b | 4.63±0.13 c | 0.84±0.02 d | 6.83±0.75 c | 4.40±0.29 c | 0.58±0.03 c |
TS1 | 41.43±1.06 b | 5.38±0.07 b | 1.11±0.05 b | 8.23±0.49 b | 5.57±0.30 b | 0.73±0.11 b |
TS2 | 44.07±0.67 a | 5.86±0.08 a | 1.33±0.03 a | 9.67±0.60 a | 7.58±0.77 a | 0.86±0.02 a |
TS3 | 42.73±0.55 ab | 5.20±0.07 b | 0.96±0.03 c | 8.20±0.62 b | 4.67±0.15 c | 0.57±0.06 c |
TS4 | 37.27±0.64 c | 4.63±0.03 c | 0.87±0.02 cd | 6.87±0.35 c | 4.35±0.21 c | 0.59±0.03 c |
TF1 | 43.20±0.97 ab | 5.23±0.12 d | 0.88±0.01 bc | 7.07±0.15 bc | 5.56±0.35 b | 0.77±0.17 bc |
TF2 | 44.97±1.07 a | 6.19±0.04 b | 1.12±0.08 a | 8.13±0.21 a | 5.67±0.35 b | 0.92±0.17 ab |
TF3 | 43.77±1.30 ab | 6.59±0.03 a | 1.19±0.06 a | 8.60±0.40 a | 6.95±0.27 a | 1.09±0.15 a |
TF4 | 42.68±0.65 b | 5.68±0.08 c | 0.97±0.04 b | 7.87±0.65 ab | 5.66±0.22 b | 0.81±0.04 bc |
Table 1 Fresh weight, dry weight and root length of maize root under different treatments
处理Treatment | 根长 Root length/cm | 根鲜重 Root fresh weight/g | 根干重 Root dry weight/g | 根体积 Root volume/cm3 | 地上部鲜重 Shoot fresh weight/g | 地上部干重 Shoot dry weight/g |
---|---|---|---|---|---|---|
CK | 41.33±0.67 b | 4.63±0.13 c | 0.84±0.02 d | 6.83±0.75 c | 4.40±0.29 c | 0.58±0.03 c |
TS1 | 41.43±1.06 b | 5.38±0.07 b | 1.11±0.05 b | 8.23±0.49 b | 5.57±0.30 b | 0.73±0.11 b |
TS2 | 44.07±0.67 a | 5.86±0.08 a | 1.33±0.03 a | 9.67±0.60 a | 7.58±0.77 a | 0.86±0.02 a |
TS3 | 42.73±0.55 ab | 5.20±0.07 b | 0.96±0.03 c | 8.20±0.62 b | 4.67±0.15 c | 0.57±0.06 c |
TS4 | 37.27±0.64 c | 4.63±0.03 c | 0.87±0.02 cd | 6.87±0.35 c | 4.35±0.21 c | 0.59±0.03 c |
TF1 | 43.20±0.97 ab | 5.23±0.12 d | 0.88±0.01 bc | 7.07±0.15 bc | 5.56±0.35 b | 0.77±0.17 bc |
TF2 | 44.97±1.07 a | 6.19±0.04 b | 1.12±0.08 a | 8.13±0.21 a | 5.67±0.35 b | 0.92±0.17 ab |
TF3 | 43.77±1.30 ab | 6.59±0.03 a | 1.19±0.06 a | 8.60±0.40 a | 6.95±0.27 a | 1.09±0.15 a |
TF4 | 42.68±0.65 b | 5.68±0.08 c | 0.97±0.04 b | 7.87±0.65 ab | 5.66±0.22 b | 0.81±0.04 bc |
Fig. 3 Root O2·- production rates under different treatmentsNote:Different lowercase letters indicate significant differences between different treatments at P<0.05 level.
Fig. 4 MDA content of roots under different treatmentsNote:Different lowercase letters indicate significant differences between different treatments at P<0.05 level.
Fig. 5 Antioxidant enzyme activities of roots under different treatmentsNote:Different lowercase letters indicate significant differences between different treatments at P<0.05 level.
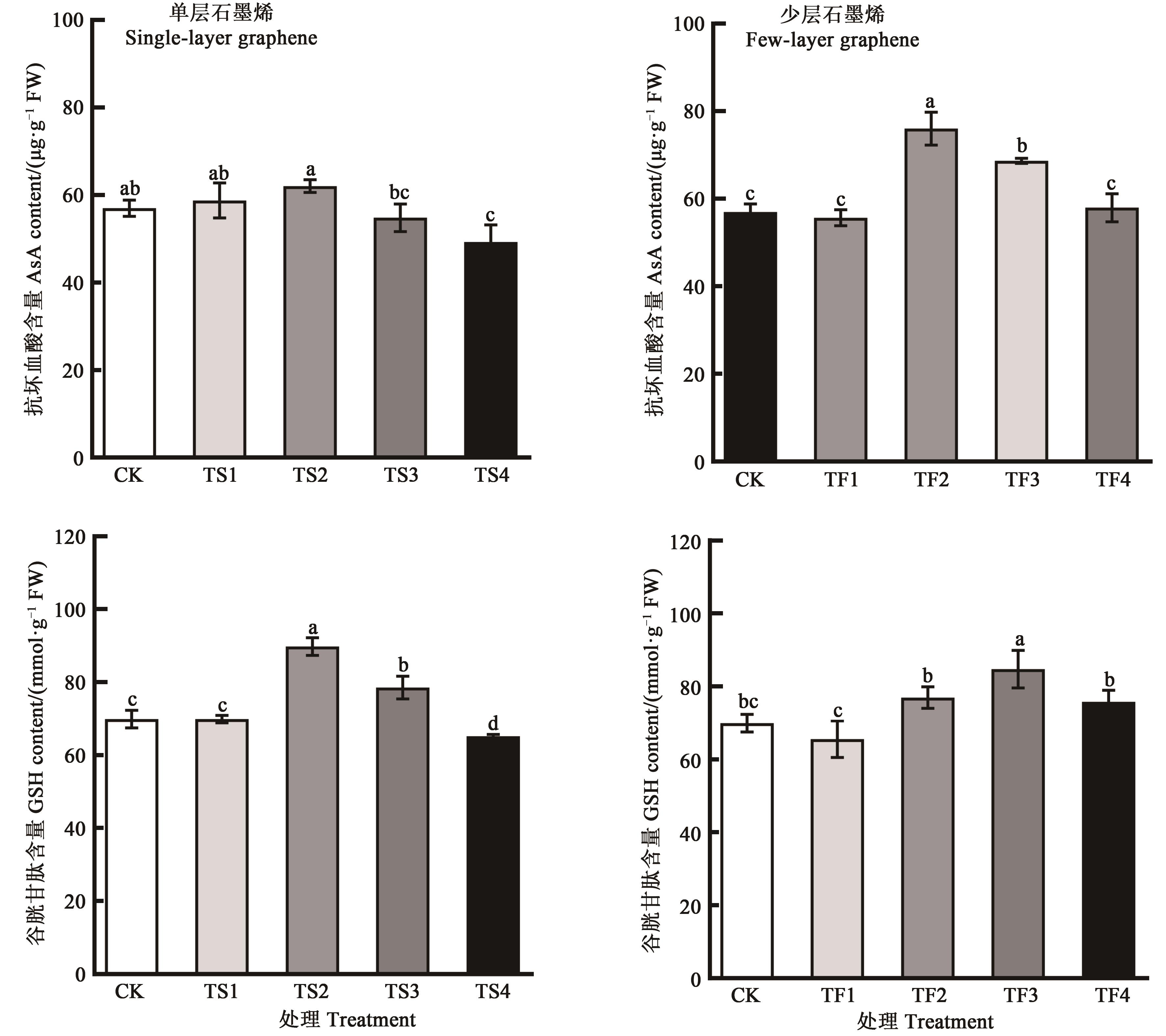
Fig. 6 Non-enzymatic antioxidant content of roots under different treatmentsNote:Different lowercase letters indicate significant differences between different treatments at P<0.05 level.
Fig. 7 Carbohydrate content of roots under different treatmentsNote:Different lowercase letters indicate significant differences between different treatments at P<0.05 level.
Fig. 8 Correlation analysis among the indicators of graphene treatmentsNote:* and ** indicate significant correlations at P<0.05 and P<0.01 levels, respectively.
1 | 杨海涛,赵久然,鲁利平,等.北京市青贮玉米利用与发展策略[J].中国农学通报,2010,26(21):29-32. |
YANG H T, ZHAO J R, LU L P, et al.. Researches on the strategy to utilization and development of maize silage in Beijing [J]. Chin. Agric. Sci. Bull., 2010, 26 (21):29-32. | |
2 | 王含瑞,徐得雨,肖雯丽,等.生物有机肥替代化肥对旱地玉米土壤养分和产量的影响[J].山西农业科学,2022,50(8):1105-1110. |
WANG H R, XU D Y, XIAO W L, et al.. Effects of bio-organic fertilizer replacing chemical fertilizer on soil nutrients and yield of maize in dryland [J]. J. Shanxi Agric Sci., 2022, 50 (8):1105-1110. | |
3 | 范立春,孙磊,王丽华,等.不同施肥量配合纳米碳肥料增效剂对马铃薯产量和品质的影响[J].中国土壤与肥料,2021(4):208-212. |
FAN L C, SUN L, WANG L H, et al.. Effect of different fertilization combined with nano carbon fertilizer synergist on yield and quality of potato [J]. China Soils Fert., 2021(4):208-212. | |
4 | USMAN M, FAROOQ M, WAKEEL A, et al.. Nanotechnology in agriculture: current status, challenges and future opportunities [J/OL]. Sci. Total Environ., 2020, 721:137778 [2022-05-05]. . |
5 | 刘少泉,刘智,迟永伟,等.纳米肥料助剂与氮肥配施对白菜生长、产量、品质及土壤酶活性的影响[J].河南农业大学学报,2020,54(4):589-596, 603. |
LIU S Q, LIU Z, CHI Y W, et al.. Effects of the mixed application of nano-fertilizer additives and nitrogen fertilizer on the growth, yield, quality and soil enzyme activity of Chinese cabbage [J]. J. Henan Agric. Univ., 2020, 54 (4):589-596, 603. | |
6 | REN W, REN G, TENG Y, et al.. Time-dependent effect of graphene on the structure, abundance, and function of the soil bacterial community [J]. J Hazard Mater., 2015, 297:286-294. |
7 | 刘泽慧,陈志文,赵建国,等.石墨烯对蚕豆生长发育的效应研究[J].首都师范大学学报(自然科学版),2020,41(5):33-39. |
LIU Z H, CHEN Z W, ZHAO J G, et al.. Effect of graphene on the growth and development of Vicia faba L. [J]. J. Capital Norm. Univ. (Nat. Sci.), 2020, 41 (5):33-39. | |
8 | 王晓静,赵树兰,多立安.氧化石墨烯拌种对高羊茅种子萌发与幼苗生长的影响[J].种子,2018,37(4):1-4, 10. |
WANG X J, ZHAO S L, DUO L A. Effect of seed dressing with graphene oxide on seed germination and seedling growth of Festuca arundinacea [J]. Seed, 2018, 37 (4):1-4, 10. | |
9 | 刘顿,吕月玲,骆汉.氧化石墨烯对紫穗槐种子萌发及幼苗生长的影响[J].种子,2022, 41(1):14-18, 37. |
LIU D, LYU Y L, LUO H. Effects of oxidized graphene on seed germination and seedling growth of Amorpha fruticosa [J]. Seed, 2022, 41 (1):14-18, 37. | |
10 | 姚建忠,张占才,薛斌龙,等.石墨烯对欧洲山杨组培苗不定根表观形态影响作用的研究[J].山西大同大学学报(自然科学版), 2018,34(5):1-4. |
YAO J Z, ZHANG Z C, XUE B L, et al.. Effect of graphene on adventitious roots’morphology of tissue culture seedlings of Populus davidiana [J]. J. Shanxi Datong Univ. (Nat. Sci.), 2018, 34 (5):1-4. | |
11 | 胡晓飞,赵建国,高利岩,等.石墨烯对树莓组培苗生长发育影响[J].新型炭材料,2019,34(5):447-454. |
HU X F, ZHAO J G, GAO L Y, et al.. Effect of graphene on the growth and development of raspberry tissue culture seedlings [J]. New Carbon Mater., 2019, 34 (5):447-454. | |
12 | LI H B, ZHANG F S, SHEN J B. Contribution of root proliferation in nutrient-rich soil patches to nutrient uptake and growth of maize [J]. Pedosphere, 2012, 22 (6):776-784. |
13 | 鲍士旦.土壤农化分析[M].北京:中国农业出版社,2000:56-107. |
14 | 关松荫.土壤酶及其研究法[M].北京:农业出版社,1986,74-232. |
15 | 王爱国,罗广华.植物的超氧物自由基与羟胺反应的定量关系[J].植物生理学通讯,1990(6):55-57. |
WANG A G, LUO G H. Quantitative relation between the reacton of hydroxylamine and superoxide anion radicals in plants [J]. Plant Physiol. Comm., 1990,(6):55-57. | |
16 | 李合生.植物生理生化实验原理和技术[M].北京:高等教育出版社,2000:167-185. |
17 | YUN Z, GAO H, CHEN X, et al.. Effects of hydrogen water treatment on antioxidant system of litchi fruit during the pericarp browning [J/OL]. Food Chem., 2021, 336:127618 [2022-05-05]. . |
18 | TAN X L, ZHAO Y T, SHAN W, et al.. Melatonin delays leaf senescence of postharvest Chinese flowering cabbage through ROS homeostasis [J/OL]. Food Res Int., 2020, 138:109790 [2022-05-05]. . |
19 | CHAKRABARTY D, DATTA S K. Micropropagation of gerbera: lipid peroxidation and antioxidant enzyme activities during acclimatization process [J]. Acta Physiol. Plant., 2008, 30 (3):325-331. |
20 | 隋祺祺,焦晨旭,乔俊,等.石墨烯溶胶配施化肥对土壤中养分流失的影响[J].水土保持学报,2019,33(1):39-44. |
SUI Q Q, JIAO C X, QIAO J, et al.. Effect of combined application of graphene solution and fertilizer on soil nutrient loss [J]. J. Soil Water Conserv., 2019, 33 (1):39-44. | |
21 | 赵楚,王霖娇,盛茂银.纳米碳对土壤理化性质及其微生物的影响[J].环境科学与技术,2019,42(4):71-81. |
ZHAO C, WANG L J, SHENG M Y. Effects of nano-carbon on soil physical and chemical properties and its microorganisms [J]. Environ. Sci. Technol., 2019, 42 (4):71-81. | |
22 | 胡梓超.纳米碳对黄土区典型作物生长发育影响的试验研究[D].西安:西安理工大学,2017. |
HU Z C. Study on the effect of nano carbon on the growth and development of typical crops in loess region [D]. Xi’an: Xi’an University of Technology, 2017. | |
23 | 郭李娜,张永波,段清,等.纳米材料改性土壤力学性质的研究综述[J].节水灌溉,2021(3):79-84. |
GUO L N, ZHANG Y B, DUAN Q, et al.. A review of the research on mechanical properties of modified soil by nanomaterials [J]. Water Sav. Irrig., 2021(3):79-84. | |
24 | 高日平,刘小月,杜二小,等.垄膜沟播与秸秆还田对内蒙古黄土高原玉米农田土壤水分、酶活性及产量的影响[J].中国农业科技导报,2021,23(11):181-190. |
GAO R P, LIU X Y, DU E X, et al.. Influences of ridge film and furrow sowing and straw returning on soil moisture, enzyme activity and yield of maize in loess plateau of Inner Mogolia [J]. J. Agric. Sci. Technol., 2021, 23(11):181-190. | |
25 | JAISI D P, SALEH N B, BLAKE R E, et al.. Transport of single-walled carbon nanotubes in porous media: filtration mechanisms and reversibility [J]. Environ. Sci. Technol., 2008, 42(22):8317-8323. |
26 | LIN J J, MA K Y, CHEN H H, et al.. Influence of different types of nanomaterials on soil enzyme activity: a global meta-analysis [J/OL]. Nano Today, 2022, 42:101345 [2022-05-05]. . |
27 | MOOSHAMMER M, HOFHANSL F, FRANK A H, et al.. Decoupling of microbial carbon, nitrogen, and phosphorus cycling in response to extreme temperature events [J/OL]. Sci. Adv., 2017, 3 (5):e1602781 [2022-05-05]. . |
28 | 莫宇,高峰,王宇,等.不同施氮条件下再生水灌溉对土壤理化性质及脲酶活性的影响[J].灌溉排水学报,2022,41(1):95-100. |
MO Y, GAO F, WANG Y, et al.. Changes in soil physicochemical properties and urease activity as affected by reclaimed water irrigation and nitrogen fertilization [J]. J. Irrig. Drain., 2022, 41 (1):95-100. | |
29 | 张晶.纳米炭粉对土壤酶的影响及其机理的研究[D].咸阳: 西北农林科技大学,2014. |
ZHANG J. The research on soil enzyme activity and its mechanism affected by nano carbon powder [D]. Xianyang: Northwest A&F University, 2014. | |
30 | 朱新萍,梁智,王丽,等.连作棉田土壤酶活性特征及其与土壤养分相关性研究[J].新疆农业大学学报,2009,32(4):13-16. |
ZHU X P, LIANG Z, WANG L, et al.. Study on correlation between soil enzymatic activity and soil fertility in continuous cropping cotton field [J]. J. Xinjiang Agric. Univ., 2009, 32 (4):13-16. | |
31 | 展文洁,陈一昊,曾子豪,等.不同氮肥施用方式下春玉米根系时空分布特征[J].中国土壤与肥料,2022(1):16-24. |
ZHAN W J, CHEN Y H, ZENG Z H, et al.. Characteristics of temporal and spatial distribution for root morphology in maize under different nitrogen application conditions [J]. China Soils Fert., 2022(1):16-24. | |
32 | ZHANG M, GAO B, CHEN J, et al.. Effects of graphene on seed germination and seedling growth [J]. J. Nanopart Res., 2015, 17(2):78-85. |
33 | 赵琳,宋瑞瑞,吴琦,等.氧化石墨烯对玉米幼苗生长及生理特征的影响[J].农业环境科学学报,2021,40(6):1167-1173. |
ZHAO L, SONG R R, WU Q, et al.. Effect of graphene oxide on seedling growth and physiological characteristics of maize [J]. J. Agro-Environ. Sci., 2021, 40(6):1167-1173. | |
34 | 徐亚楠,徐立娜.石墨烯对高等植物幼苗的毒性及机理探究[J].生态毒理学报,2020,15(1):220-229. |
XU Y N, XU L N. Phytotoxicity of graphene to higher plants’ seedlings and its mechanisms [J]. Asian J. Ecotoxicol., 2020, 15(1):220-229. | |
35 | 常海伟,任文杰,刘鸿雁,等.磺化石墨烯对小麦幼苗生长及生理生化指标的影响[J].生态毒理学报,2015,10(4):123-128. |
CHANG H W, REN W J, LIU H Y, et al.. Effect of sulfonated graphene on seedling growth and physiological and biochemical indices of wheat [J]. Asian J. Ecotoxicol., 2015, 10(4):123-128. | |
36 | LIU S J, WEI H M, LI Z Y, et al.. Effects of graphene on germination and seedling morphology in rice [J]. J. Nanosci. Nanotech., 2015, 15:2695-2701. |
37 | ZHONG Y, ZHEN Z, ZHU H. Graphene: fundamental research and potential applications [J]. Flatchem, 2017, 4:20-32. |
38 | 师赵康,赵泽群,张远航,等.玉米自交系幼苗生物量积累及根系形态对两种氮素水平的反应及聚类分析[J].作物杂志,2019(5):28-36. |
SHI Z K, ZHAO Z Q, ZHANG Y H, et al.. The response and cluster analysis of biomass accumulation and root morphology of maize inbred lines seedlings to two nitrogen application levels [J]. Crops, 2019(5):28-36. | |
39 | CHEN L, WANG C, LI H, et al.. Bioaccumulation and toxicity of 13C-skeleton labeled graphene oxide in wheat [J]. Environ. Sci. Technol., 2017, 51(17):10146-10153. |
40 | LI F, SUN C, LI X, et al.. The effect of graphene oxide on adventitious root formation and growth in apple [J]. Plant Physiol. Biochem., 2018, 129:122-129. |
41 | HU X, LU K, MU L, et al.. Interactions between graphene oxide and plant cells: regulation of cell morphology, uptake, organelle damage, oxidative effects and metabolic disorders [J]. Carbon, 2014, 80:665-676 |
42 | 陈斌,张传玲,江红生,等.纳米银诱导拟南芥活性氧自由基的积累和抗氧化系统的改变[J].基因组学与应用生物学,2017,36(4):1646-1653. |
CHEN B, ZHANG C L, WANG H S, et al.. Silver nanoparticles induced accumulation of reactive oxygen species and alteration of antioxidant systems [J]. Genom. Appl. Biol., 2017, 36(4):1646-1653. | |
43 | 王诗雅,郑殿峰,冯乃杰,等.植物生长调节剂S3307对苗期淹水胁迫下大豆生理特性和显微结构的影响[J].作物学报,2021,47(10):1988-2000. |
WANG S Y, ZHENG D F, FENG N J, et al.. Effects of uniconazole on physiological characteristics and microstructure under waterlogging stress at seedling stage in soybean [J]. Acta Agron. Sin., 2021, 47 (10):1988-2000. | |
44 | LIU Y, ZHAO Z, SI J, et al.. Brassinosteroids alleviate chilling-induced oxidative damage by enhancing antioxidant defense system in suspension cultured cells of Chorispora bungeana [J]. Plant Growth Regul., 2009, 59(3):207-214. |
45 | 孙军利,赵宝龙,郁松林.SA对高温胁迫下葡萄幼苗AsA-GSH循环的影响[J].核农学报,2015,29(4):799-804. |
SUN L J, ZHAO B L, YU S L. Effects of exogenous salicylic acid (SA) on ascorbate glutathione cycle (AsA-GSH) circulation metabolism in grape seedlings under high temperature stres [J]. Acta Agric. Nucl. Sin., 2015, 29(4):799-804. | |
46 | 王诗雅,郑殿峰,项洪涛,等.初花期淹水胁迫对大豆叶片AsA-GSH循环的损伤及烯效唑的缓解效应[J].中国农业科学,2021,54(2):271-285. |
WANG S Y, ZHENG D F, XIANG H T, et al.. Damage of AsA-GSH cycle of soybean leaves under waterlogging stress at initial flowing stage and the mitigation effect of uniconazole [J]. Sci. Agric. Sin., 2021, 54 (2):271-285. | |
47 | 杨志晓,张小全,尚晓颍,等.富钾基因型烤烟根系形态和生理特性研究[J].西北植物学报,2009,29(3):555-560. |
YANG Z X, ZHANG X Q, SHANG X Y, et al.. Morphological and physiological characteristics of root in potassium-enriched flue-cured tobacco genotype [J]. Acta Bot. Bor-Occid. Sin., 2009, 29(3):555-560. | |
48 | 陈璐,张小丽,高柱,等.喷施硝酸镧对脐橙叶片渗透调节物质的影响[J].中国农学通报,2021,37(29):114-119. |
CHEN L, ZHANG X L, GAO Z, et al.. Effect of lanthanum nitrate spraying on osmotic regulating substance accumulation in navel orange leaves [J]. Chin. Agric. Sci. Bull., 2021, 37(29):114-119. | |
49 | 刘爱荣,赵可夫.盐胁迫下盐芥渗透调节物质的积累及其渗透调节作用[J].植物生理与分子生物学学报,2005, 31(4):389-395. |
LIU A R, ZHAO K F. Osmotica accumulation and its role in osmotic adjustment in thellungiella halophila under salt stress [J]. J. Plant Physiol. Mol. Biol., 2005, 31(4):389-395. | |
50 | 杨健,梁太波,李海江,等.纳米碳溶胶对烤烟根系生理特性及钾吸收的影响[J].烟草科技,2015,48(1):7-11. |
YANG J, LIANG T B, LI H J, et al.. Effects of nano-carbon sol on physiological characteristics of root system and potassium absorption of flue-cured tobacco obacco [J]. Tobacco Sci. Technol., 2015, 48(1):7-11. |
[1] | Wei HE, Wenjin LONG, Manhua HU. Exploring Pathways for Collaborative Development of Science and Technology Commissioners and Grassroots Agricultural Technology Extension Teams [J]. Journal of Agricultural Science and Technology, 2025, 27(8): 1-7. |
[2] | Hang CAO, Xinbing YANG, Yanlin LIU, Na HUO, Xiaokuan LIU, Xinyue LI. Physicochemical Properties and Enzyme Activities of Reconstituted Soils from Limestone Mines [J]. Journal of Agricultural Science and Technology, 2025, 27(8): 168-178. |
[3] | Haitao XU, Hongzhen MA, Wenwen WANG, Wenxiang FAN, Bo XU, Jungang ZHANG, Haibin GUO, Youhua WANG. Research on Dynamic Development and Accumulated Temperature Model of Maize Plant Height and Stem Diameter Based on Effective Accumulated Temperature [J]. Journal of Agricultural Science and Technology, 2025, 27(8): 187-201. |
[4] | Xueqing LIU, Jing WANG, Yi YANG, Huiqin WU, Yanhong WANG, Luyao WANG, Jiawei LU, Kaixuan ZHANG, Yuan ZHAI, Yan CHENG. Effect of Exogenous Ethephon on Defoliation and Yield of Pigmented Pepper [J]. Journal of Agricultural Science and Technology, 2025, 27(8): 36-46. |
[5] | Xiang SUN, Liyang ZHANG, Jiying YIN, Kaiyi WANG, Meirong GUO, Heju HUAI. Problems and Countermeasures of Digital Transformation of Maize Seed Production Base [J]. Journal of Agricultural Science and Technology, 2025, 27(8): 8-17. |
[6] | Yishuai YANG, Lin TAN, Li NIU, Ping SHU, Zihan SHI, Jie FANG, Qiulong HU. Biological Characteristics and Fungicides Screening in Laboratory of Fusarium cugenangense Causing Camellia sinensis Root Rot [J]. Journal of Agricultural Science and Technology, 2025, 27(7): 133-141. |
[7] | Qi ZHOU, Qiang LIU, Jing ZHANG, Chaochao DENG, Zhenlong WANG, Yang LIU, Fang WU, Hao CHANG, Yanfang ZHOU, Cuicui SU, Zhiguo SHI, Zhengrui GAO, Fengjie MA. Effects of Organic Fertilizer Replacing Chemical Fertilizer on Yield and Soil Biological Characteristics of Pumpkin [J]. Journal of Agricultural Science and Technology, 2025, 27(7): 190-203. |
[8] | Xiyu ZHANG, Xing SHEN, Wei LI, Wenge XIE, Jie LI, Changhao YANG, Zhongping CHAI. Influence of Reduced Nitrogen Fertilizer Combined with Organic Fertilizer on Soil Bacterial Community Structure in Korla Pear Orchards [J]. Journal of Agricultural Science and Technology, 2025, 27(7): 217-228. |
[9] | Taotao MAO, Xiaoqiang ZHAO, Xiaodong BAI, Bin YU. Effect of Low Temperature Stress on Photosynthetic Performance, Antioxidant Enzyme System and Related Gene Expression in Maize Seedlings [J]. Journal of Agricultural Science and Technology, 2025, 27(5): 49-60. |
[10] | Saisai HOU, Shanshan TONG, Pengqi WANG, Bingxue XIE, Ruifang ZHANG, Xinxin WANG. Effects of Biochar and Straw on Growth Characteristics and Nutrient Uptake of Different Crops [J]. Journal of Agricultural Science and Technology, 2025, 27(4): 179-191. |
[11] | Zihao WANG, Xue ZHOU, Donghan ZHANG, Hongyi LIANG, Yan WANG, Ziang ZHAO, Qing CHEN. Effect of Water-soluble Fertilizers Containing Humic-acids on Maize Seedlings Growth and Soil Properties [J]. Journal of Agricultural Science and Technology, 2025, 27(4): 209-220. |
[12] | Bing YANG. Research Progress on Pathogenic Mechanism, Host Molecule Response, and Prevention and Control Methods of Soybean Phytophthora sojae [J]. Journal of Agricultural Science and Technology, 2025, 27(3): 133-142. |
[13] | Darong LI, Xiaoling LI, Wuxian ZHOU, Meide ZHANG, Xiaogang JIANG, Jinwen YOU, Hua WANG. Effects of Partial Substitution of Chemical Fertilizer with Organic Fertilizer on Growth and Soil Properties of Fritillaria hupehensis [J]. Journal of Agricultural Science and Technology, 2025, 27(3): 216-226. |
[14] | Yumang ZHANG, Guijuan CHEN, Hongyan CHANG, Yongheng WANG, Shuxia LIU, Yunxiu YING. Effect of New Degradable Soil Water-retaining Agent on Growth and Development of Maize Seedlings Under Water Stress at Seedling Stage [J]. Journal of Agricultural Science and Technology, 2025, 27(1): 201-210. |
[15] | Chunjiao MI, Hongren SUN, Jiping ZHANG, Yucai LYU, Yandi ZHANG. Abundance-deficiency Index of Soil Available Phosphorus and Recommended Phosphorus Fertilizer Application Rates for Tomato in China [J]. Journal of Agricultural Science and Technology, 2025, 27(1): 222-232. |
Viewed | ||||||
Full text |
|
|||||
Abstract |
|
|||||