Journal of Agricultural Science and Technology ›› 2025, Vol. 27 ›› Issue (3): 216-226.DOI: 10.13304/j.nykjdb.2023.0405

• BIO-MANUFACTURING & RESOURCE AND ECOLOGY • Previous Articles     Next Articles

Effects of Partial Substitution of Chemical Fertilizer with Organic Fertilizer on Growth and Soil Properties of Fritillaria hupehensis

Darong LI(), Xiaoling LI, Wuxian ZHOU(), Meide ZHANG, Xiaogang JIANG, Jinwen YOU, Hua WANG()   

  1. Key Laboratory of Biology and Cultivation of Traditional Chinese Medicine of Ministry of Agriculture and Rural Affairs,Institute of Chinese Herbal Medicines,Hubei Academy of Agricultural Sciences,Hubei Enshi 445000,China
  • Received:2023-05-25 Accepted:2024-03-01 Online:2025-03-15 Published:2025-03-14
  • Contact: Wuxian ZHOU,Hua WANG

有机肥替代部分化肥对湖北贝母生长及土壤性质的影响

李大荣(), 李小玲, 周武先(), 张美德, 蒋小刚, 由金文, 王华()   

  1. 湖北省农业科学院中药材研究所,农业农村部中药材生物学与栽培重点实验室,湖北 恩施 445000
  • 通讯作者: 周武先,王华
  • 作者简介:李大荣E-mail:Darongli_256@163.com
  • 基金资助:
    国家中药材产业技术体系建设项目(CARS-21);湖北省农业科技创新中心重大科技研发项目(2020-620-000-002-04);恩施州揭榜制科技项目(D20220093)

Abstract:

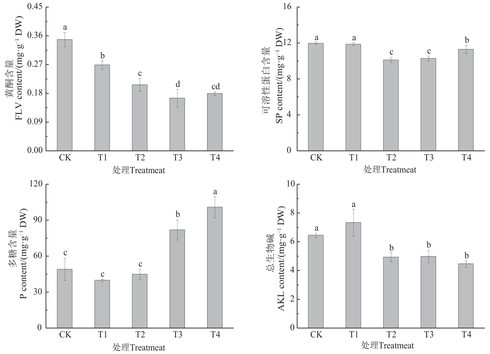
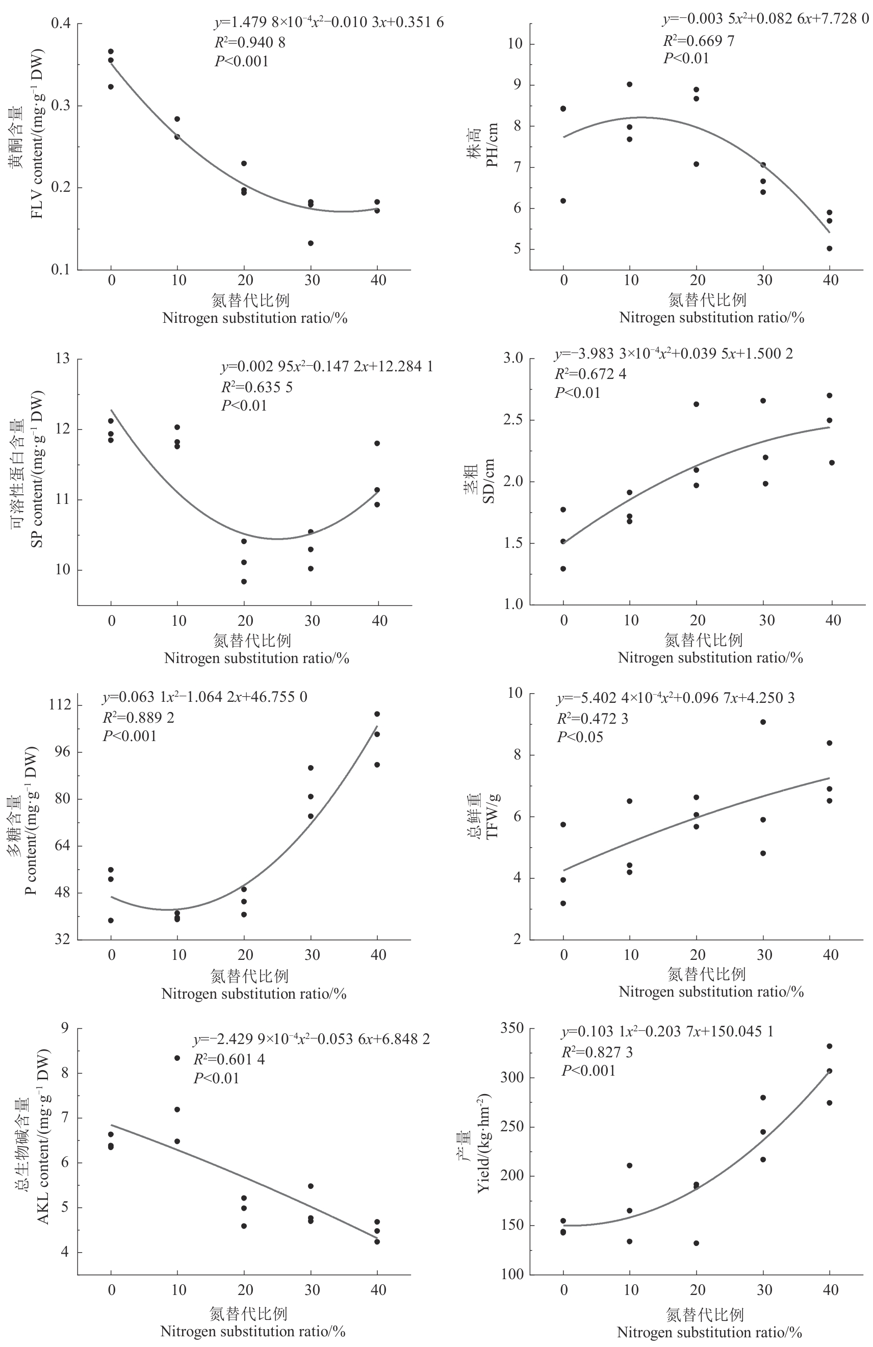
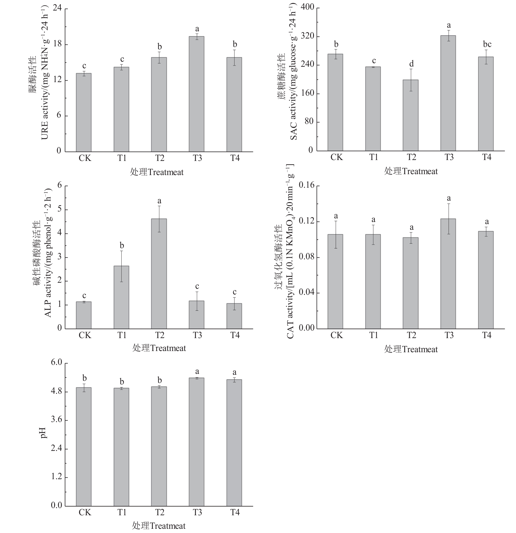
To investigate the effects of partial substitution of chemical fertilizer with organic fertilizer on the growth and quality of Fritillaria hupehensis, a field experiment was designed with Fritillaria hupehensis as materials. 5 treatments were set up, including application of mineral fertilizers alone (CK) and organic fertilizer substitute 10% (T1), 20% (T2), 30% (T3) and 40%(T4) chemical nitrogen, and the morphological and physiological characteristics, yield, quality and rhizospheric soil properties of Fritillaria hupehensis under different treatments were analyzed. The results showed that the stem diameter, fresh weight and yield of Fritillaria hupehensis were the highest under T4 treatment, which were significantly increased by 60.13%, 69.46% and 106.96%, respectively, compared with CK. T1~T4 treatments significantly increased the SPAD value, with an increase of 64.62%~93.05% compared with CK. The soil pH in T3 and T4 treatments was significantly increased compared with CK. The soil urease activity and sucrase activity in T3 treatment were significantly higher than other treatments, with an increase of 47.17% and 19.06%, respectively, compared with CK. The alkaline phosphatase activity was significantly higher in T1 and T2 treatments than that in CK, with an increase of 131.63% and 306.44%, respectively. The flavonoid content in T1~T4 treatments was significantly lower than that in CK. The content of soluble protein and total alkaloid in T2~T4 treatments were significantly lower than that in CK, with a decrease of 5.70%~15.46% and 22.79%~30.85%, respectively. The polysaccharide contents in T3 and T4 treatments were 1.67 and 2.06 times higher than that in CK, respectively. In summary, substituting partial nitrogen with organic fertilizers effectively promoted the growth of Fritillaria hupehensis and increased the yield, and the larger the nitrogen substitution ratio, the better the effect. However, substituting partial nitrogen with organic fertilizers had a negative effect on the accumulation of secondary metabolites. In addition, substituting partial nitrogen with organic fertilizers could alter the soil enzyme activities and pH, and had a positive impact on the growth of Fritillaria hupehensis. In general, substituting 30%~40% chemical nitrogen with organic fertilizer showed the best effect.

Key words: organic fertilizer, Fritillaria hupehensis, yield, quality, soil enzyme activity

摘要:

为探究有机肥替代部分化肥对湖北贝母生长及品质的影响,以湖北贝母为研究对象进行大田试验,设置单施化肥(CK)和有机肥氮分别替代10%(T1)、20%(T2)、30%(T3)、40%化肥氮(T4)5种处理,分析不同处理下湖北贝母形态、生理特性、产量、品质以及土壤理化性质。结果表明,湖北贝母的茎粗、总鲜重和产量在T4处理下均达到最大值,与CK相比分别显著提高60.13%、69.46%和106.96%。与CK相比,T1~T4处理均能显著提高叶片SPAD值,增幅为64.62%~93.05%; T3和T4处理的土壤pH有显著提高。相较于CK,脲酶、蔗糖酶活性在T3处理下分别提高47.17%、19.06%,且显著高于其他处理;碱性磷酸酶活性在T1和T2处理下均显著高于CK,增幅分别为131.63%和306.44%。T1~T4处理的黄酮含量显著低于CK。T2~T4处理下,湖北贝母可溶性蛋白和总生物碱含量均显著低于CK,降幅分别达5.70%~15.46%和22.79%~30.85%。多糖含量在T3和T4处理下显著高于CK,分别是CK的1.67和2.06倍。综上,有机肥替代部分化肥能有效促进湖北贝母的生长,提高其产量,且氮替代比例越大,作用效果越明显,但对次生代谢产物的形成有一定的影响。此外,有机肥替代部分化肥还能有效调节土壤酶活性及pH,对湖北贝母的生长具有积极作用,以有机肥氮替代30%~40%化肥氮效果最佳。

关键词: 有机肥, 湖北贝母, 产量, 品质, 土壤酶活性

CLC Number: