Journal of Agricultural Science and Technology ›› 2023, Vol. 25 ›› Issue (11): 207-217.DOI: 10.13304/j.nykjdb.2022.0417

• BIO-MANUFACTURING & RESOURCE AND ECOLOGY • Previous Articles     Next Articles

Study on Branching Architecture of Clipping Hedysarum scoparium in Desert-oasis Ecotone of Jilantai

Yajuan WEI1,2(), Jing GUO3, Yunhu XIE1(), Xiangfei WANG4, Shan JIN5   

  1. 1.CDepartment of Resource and Environment,Baotou Normal College,Inner Mongolia Baotou 014030,China
    2.College of Desert Control Science and Engineering,Inner Mongolia Agricultural University,Hohhot 010018,China
    3.Inner Mongolia Baotou Steel Rare Earth Steel Plate Co. ,Ltd. ,Inner Mongolia Baotou 014010,China
    4.Urumqi Forestry and Grassland Bureau,Urumqi 830000,China
    5.Resource Protection Department of Inner Mongolia Lantai Co. ,Ltd,Inner Mongolia Alashan 750333,China
  • Received:2022-05-08 Accepted:2022-07-23 Online:2023-11-15 Published:2023-11-20
  • Contact: Yunhu XIE

吉兰泰荒漠-绿洲过渡带平茬花棒枝系构型特征

魏亚娟1,2(), 郭靖3, 解云虎1(), 王项飞4, 金山5   

  1. 1.包头师范学院资源与环境学院,内蒙古 包头 014030
    2.内蒙古农业大学沙漠治理学院,呼和浩特 010018
    3.内蒙古包钢稀土钢材板厂,内蒙古 包头 014010
    4.乌鲁木齐市林业和草原局,乌鲁木齐 830000
    5.内蒙古兰太股份有限公司,内蒙古 阿拉善 750333
  • 通讯作者: 解云虎
  • 作者简介:魏亚娟 E-mail:2404336139@qq.com
  • 基金资助:
    内蒙古自治区高等学校碳达峰碳中和研究专项(STZX202213);内蒙古自治区重点研发和成果转化计划项目(2022YFDZ0027);包头师范学院高层次引进人才科研启动基金项目(BTTCRCQD2020-011);包头师范学院自然科学类一般项目(BSYKJ2021-ZY02);国家重点研发计划项目(2019YFC0507605)

Abstract:

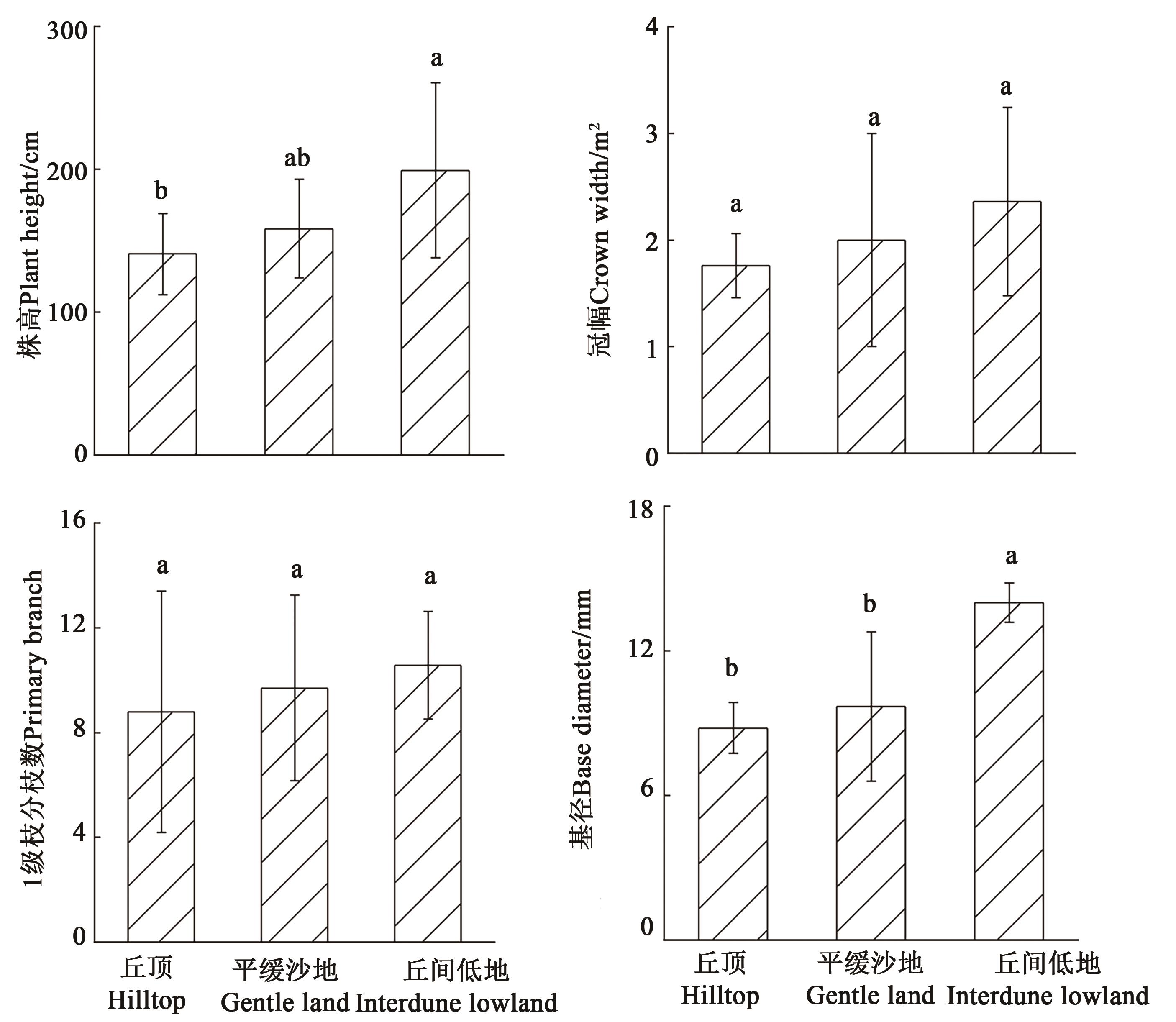
In order to investigate the response and adaptation mechanism of Hedysarum scoparium to different site types, typical sampling method was used to analyze the characteristics of shoot system and biomass allocation of Hedysarum scoparium in different site types (hilltop, gentle sandy land and interdune lowland) in the desert-oasis transition zone of Jilantai. The results showed that, the plant height and basal diameter of clipping H. scoparium in interdune lowland were significantly larger than that in hilltop (P<0.05),and the above ground biomass of clipping H. scoparium showed as follows: interdune lowland>gentle land>hilltop. Overall bifurcation ratio increased gradually from interdune lowland to hilltop, indicating branching ability of H. scoparium in interdune lowland was weaker than that in hilltop and gentle land. Grade 2 and grade 3 bifurcation ratio (SBR2∶3) in hilltop was greater than that in interdune lowland (P<0.05), indicating clipping H. scoparium grew in a spread-out branch architecture characteristics in hilltop. The branching length gradually decreased from interdune lowland to hilltop, branch diameter ratio of grade 2 and 3 (RBD3:2) in hilltop was significantly higher than that in the gentle land and interdune lowland, indicating that the branching capacity of clipping H. scoparium in the hilltop was better than that in the gentle land and interdune lowland. Correlation analysis revealed that soil water content, soil temperature and atmospheric temperature had significant effects on plant height, crown width, basal diameter and aboveground biomass of clipping H. scoparium. The results showed that clipping H. scoparium could adapt to the change of external environment by increasing branch diameter ratio, reducing branch number and aboveground biomass in habitats with poor water conditions. Moreover, in the interdune lowland, chipping measure was more conducive to the rejuvenation and renewal of degenerated H. scoparium. The results were useful for the regeneration of H. scoparium plantations and ecological restoration in the region.

Key words: branching architecture, clipping, Hedysarum scoparium, desert plant, aboveground biomass, Jilantai

摘要:

为探讨平茬花棒(Hedysarum scoparium)对不同立地类型的响应及适应机制,采用典型抽样法对吉兰泰荒漠-绿洲过渡带不同立地类型(丘顶、平缓沙地、丘间低地)平茬花棒枝系特征和生物量分配特征进行了分析。结果表明,各立地类型平茬花棒长势良好,丘间低地花棒株高和基径均显著高于丘顶(P<0.05),平茬花棒地上生物量大小依次为:丘间低地>平缓沙地>丘顶;总体分枝率由丘间低地到丘顶呈逐渐增大趋势,丘间低地平茬花棒的分枝能力弱于丘顶、平缓沙地;丘顶2、3级分枝数(SBR2∶3)的分枝能力大于丘间低地(P<0.05),平茬花棒在丘顶呈发散式生长;各级分枝长度由丘间低地到丘顶呈逐渐减小趋势,丘顶2、3级枝茎比(RBD3∶2)显著大于平缓沙地和丘间低地,丘顶平茬花棒枝系承载力优于平缓沙地和丘间低地;相关性分析发现,土壤含水量、土壤温度和空气温度对平茬花棒株高、冠幅、基径和地上生物量影响显著,且土壤水分与地上生物量呈正相关关系。研究结果表明,在水分条件较差的生境,平茬花棒通过增加枝径比、减少分枝数和地上生物量来适应外界环境变化,而且在丘间低地平茬措施更有利于退化花棒复壮更新。研究结果可为地区花棒人工林更新复壮及地区生态恢复提供科学依据。

关键词: 枝系构型, 平茬, 花棒, 荒漠植物, 地上生物量, 吉兰泰

CLC Number: