








Journal of Agricultural Science and Technology ›› 2023, Vol. 25 ›› Issue (1): 58-64.DOI: 10.13304/j.nykjdb.2021.0486
• BIOTECHNOLOGY & LIFE SCIENCE • Previous Articles Next Articles
Received:2021-06-13
Accepted:2021-08-23
Online:2023-01-15
Published:2023-04-17
作者简介:燕辉 E-mail:hnyanhui@yeah.net
基金资助:CLC Number:
Hui YAN. Response Mechanism of Chlorophyll Fluorescence to Low Temperature Stress in Brassica napus L.[J]. Journal of Agricultural Science and Technology, 2023, 25(1): 58-64.
燕辉. 基于叶绿素荧光分析的油菜响应低温胁迫机制研究[J]. 中国农业科技导报, 2023, 25(1): 58-64.
Add to citation manager EndNote|Ris|BibTeX
URL: https://nkdb.magtechjournal.com/EN/10.13304/j.nykjdb.2021.0486
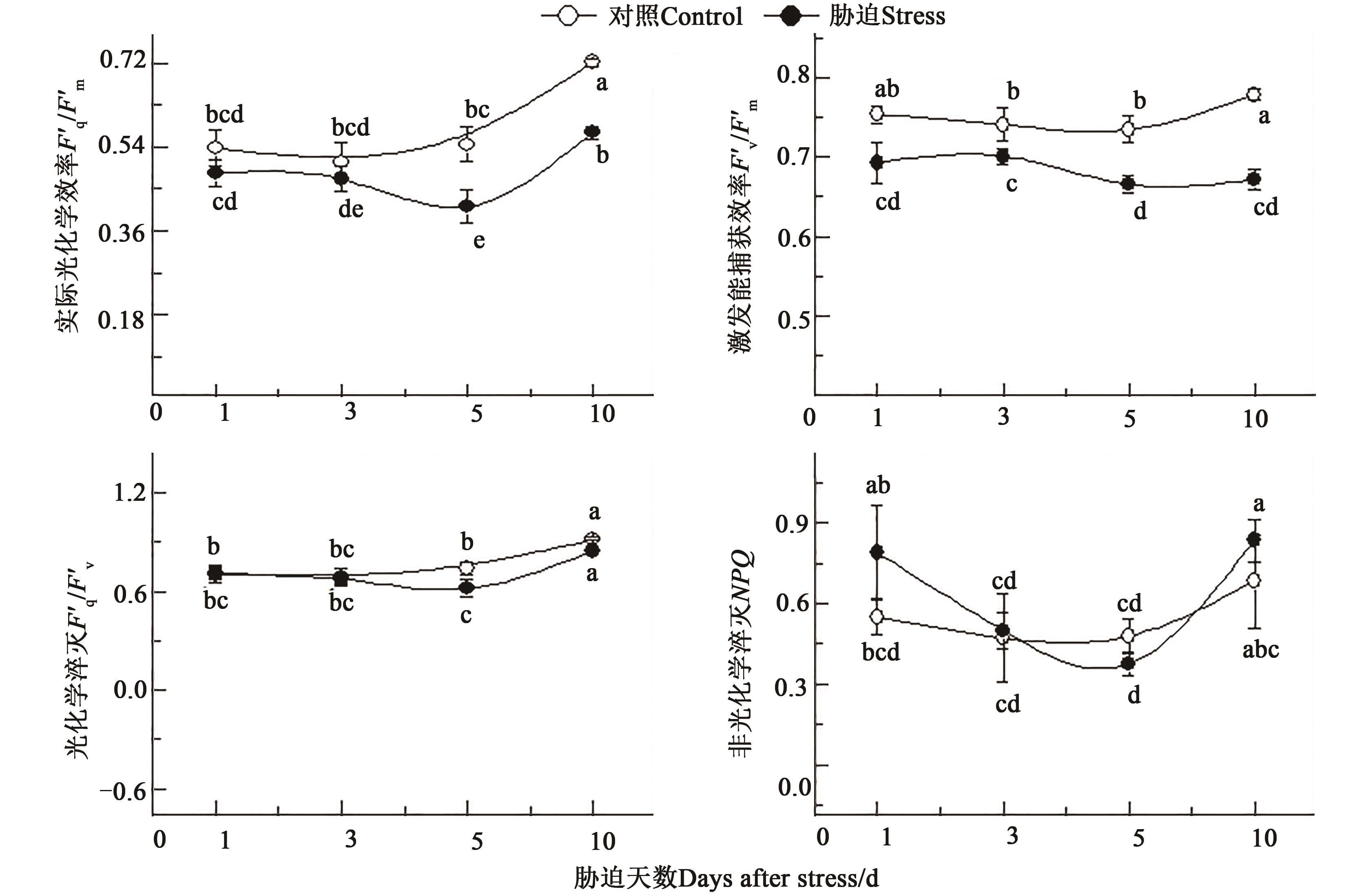
Fig. 2 Fluorescence parameters of rape leaves under different treatmentsNote: Different lowercase letters indicate significant differences at P<0.05 level.
| 1 | 张晓红,冯梁杰,杨特武,等.冬季低温胁迫对油菜抗寒生理特性的影响[J].植物生理学报,2015,51(5):737-746. |
| ZHANG X H, FENG L J, YANG T W, et al.. Effects of chilling stress on physiological characteristics of rapeseed seedlings in winter [J]. Plant Physiol. J., 2015, 51(5):737-746. | |
| 2 | 张智,张耀文,任军荣,等.多效唑处理后油菜苗在低温胁迫下的光合及生理特性[J].西北农业学报,2013,22(10):103-107. |
| ZHANG Z, ZHANG Y W, REN J R, et al.. Photosynthetic and physiological characteristics of Brassica napus seedlings treated with multi-effect triazole under cold stress [J]. Acta Agric. Bor-Occid. Sin., 2013, 22(10):103-107. | |
| 3 | 刘自刚,袁金海,孙万仓,等.低温胁迫下白菜型冬油菜差异蛋白质组学及光合特性分析[J].作物学报,2016,42(10):1541-1550. |
| LIU Z G, YUAN J H, SUN W C, et al.. Differential proteomic analysis and photosynthetic characteristics of winter rapeseed under low temperature stress [J]. Acta Agron. Sin., 2016, 42(10):1541-1550. | |
| 4 | 陈奇,袁金海,孙万仓,等.低温胁迫下白菜型冬油菜与春油菜叶片光合特性及内源激素变化比较[J].中国油料作物学报,2017,39(1):37-46. |
| CHEN Q, YUAN J H, SUN W C, et al.. Leaf photosynthetics and endogenous hormones of spring and winter rapa (Brassica rapa L.) under low temperature [J]. Chin. J. Oil. Crop. Sci., 2017, 39(1):37-46. | |
| 5 | 岑海燕,姚洁妮,翁海勇,等.叶绿素荧光技术在植物表型分析的研究进展[J].光谱学与光谱分析,2018,38(12):3773-3779. |
| CEN H Y, YAO J N, WENG H Y, et al.. Applications of chlorophyll fluorescence in plant phenotyping: a review [J]. Spectrosc. Spect. Anal., 2018, 38(12):3773-3779. | |
| 6 | ZHANG J, LIU J, ZHAO T, et al.. Effects of drought stress on chlorophyll fluorescence in tomato [J]. Mol. Plant Breeding, 2017, 8(7):65-69. |
| 7 | GENTY B, BRIANTAIS J M, BAKER N R. The relationship between quantum yield of photosynthetic electron transport and quenching of chlorophyll fluorescence [J]. Bba-Gen. Subjects., 1989, 990(1):87-92. |
| 8 | MAXWELL K, JOHNSON G N. Chlorophyll fluorescence-a practical guide [J]. J. Exp. Bot., 2000, 51(345):659-668. |
| 9 | BAKER N R. Chlorophyll fluorescence: a probe of photosynthesis in vivo [J]. Annu. Rev. Plant. Biol., 2008, 59:89-113. |
| 10 | 尤鑫,龚吉蕊.叶绿素荧光动力学参数的意义及实例辨析[J].西部林业科学,2012,41(5):90-94. |
| YOU X, GONG J R. Significance and application of chlorophyll fluorescence dynamics process parameters [J]. J. West. China. For. Sci., 2012, 41(5):90-94. | |
| 11 | DEVACHT S, LOOTENS P, BAERT J, et al.. Evaluation of cold stress of young industrial chicory (Cichorium intybus L.) plants by chlorophyll a fluorescence imaging. I. light induction curve [J]. Photosynthetica, 2011, 49(2):161-171. |
| 12 | ZHOU R, YU X Q, KJæR K H, et al.. Screening and validation of tomato genotypes under heat stress using Fv/Fm to reveal the physiological mechanism of heat tolerance [J]. Environ. Exp. Bot., 2015, 118:1-11. |
| 13 | XU L, PAN R, SHABALA L, et al.. Temperature influences waterlogging stress-induced damage in Arabidopsis through the regulation of photosynthesis and hypoxia-related genes [J]. Plant Growth Regul., 2019, 89:143-152. |
| 14 | SOUZA R P, MACHADO E C, SILVA J A B, et al.. Photosynthetic gas exchange, chlorophyll fluorescence and some associated metabolic changes in cowpea (Vigna unguiculata) during water stress and recovery [J]. Environ. Exp. Bot., 2004, 51(1):45-56. |
| 15 | ZHAO X, ZHONG Y, ZHANG H, et al.. Cooperation between photosynthetic and antioxidant systems: an important factor in the adaptation of Ulva prolifera to abiotic factors on the sea surface [J/OL]. Front. Plant Sci., 2019, 10:648 [2021-05-05]. . |
| 16 | MATESE A, BARALDI R, BERTON A, et al.. Estimation of water stress in grapevines using proximal and remote sensing methods [J/OL]. Remote. Sens., 2018, 10(1):114 [2021-05-05]. . |
| 17 | PANDIT A, REWS M, MOROSINOTTO T, et al.. An NMR comparison of the light-harvesting complex II (LHCII) in active and photoprotective states reveals subtle changes in the chlorophyll a ground-state electronic structures [J]. BBA-Bioenergetics, 2013, 1827(6):738-744. |
| 18 | QUAAS T, BERTEOTTI S, BALLOTTARI M, et al.. Non-photochemical quenching and xanthophyll cycle activities in six green algal species suggest mechanistic differences in the process of excess energy dissipation [J]. J. Plant Physiol., 2015, 172(1):92-103. |
| 19 | CISSE A, ZHAO X, FU W, et al.. Non-photochemical quenching involved in the regulation of photosynthesis of rice leaves under high nitrogen conditions [J/OL]. Int. J. Mol. Sci., 2020, 21(6):2115 [2021-05-05]. . |
| 20 | SHANGGUAN Z P, SHAO M A, DYCKMANS J. Nitrogen nutrition and water stress effects on leaf photosynthetic gas exchange and water use efficiency in winter wheat [J]. Environ. Exp. Bot., 2000, 44:141-149. |
| 21 | 孙永平,汪良驹.ALA处理对遮荫下西瓜幼苗叶绿素荧光参数的影响[J].园艺学报,2007,34(4):901-908. |
| SUN Y P, WANG L J. Effects of 5-am inolevulinic acid (ALA) on chlorophyll fluorescence dynamics of watermelon seedlings under shade condition [J]. Acta. Hortic. Sin., 2007, 34(4):901-908. | |
| 22 | 康琅,汪良驹.ALA对西瓜叶片叶绿素荧光光响应曲线的影响[J].南京农业大学学报,2008,31(1):31-36. |
| KANG L, WANG L J. Effects of ALA treatments on light response curves of chlorophyll fluorescence of water melon leaves [J]. J. Nanjing. Agric. Univ., 2008, 31(1):31-36. | |
| 23 | 许耀照,曾秀存,张芬琴,等.白菜型冬油菜叶片结构和光合特性对冬前低温的响应[J].作物学报,2017,43(3):432-441. |
| XU Y Z, ZENG X C, ZHANG F Q, et al.. Response of leaf anatomical structure and photosynthetic characteristics of winter turnip rape (Brassica rapa L.) to low temperature before winter [J]. Acta. Agron. Sin., 2017, 43(3):432-441. | |
| 24 | 杨佳伟,文仕知,何功秀,等.施肥对闽楠幼树 PSⅡ叶绿素荧光快速光响应曲线的影响[J].中南林业科技大学学报,2018,38(2):43-49. |
| YANG J W, WEN S Z, HE G X, et al.. Rapid light curves of PSⅡ chlorophyll fluorescence parameters in leaves of Phoebe bournei saplings fertilized [J]. J. Cent. South Univ. For. Tech., 2018, 38(2):43-49. | |
| 25 | QIU N, LU Q, LU C. Photosynthesis, photosystem II efficiency and the xanthophyll cycle in the salt-adapted halophyte Atriplex centralasiatica [J]. New Phytol., 2003, 159:479-486. |
| 26 | HUI Y, WU L, FILARDO F, et al.. Chemical and hydraulic signals regulate stomatal behavior and photosynthetic activity in maize during progressive drought [J/OL]. Acta. Physiol. Plant, 2017, 39:125 [2021-05-05]. . |
| [1] | Min YAN, Yan WANG, Chengcheng WANG, Songchao GUO, Dengyang LU, Cuiyun WU. Effect of Mixed Saline-alkali Stress on Leaf Structure and Photosynthetic Fluorescence Properties of Jujube [J]. Journal of Agricultural Science and Technology, 2024, 26(3): 57-65. |
| [2] | Peng ZHONG, Lili MIAO, Jianli WANG, Jie LIU, Xiaolong WANG. Physiological Response and Cold Resistance Evaluation of Cyperus esculentus Germplasms Under Low Temperature Stress [J]. Journal of Agricultural Science and Technology, 2023, 25(9): 83-96. |
| [3] | Lu MENG, Jingwen FAN, Xinyu SAI, Lusheng ZENG, Xiangyun SONG, Dejie CUI. Effects of Lime on Soil Improvement and Plant Growth in Apple Orchards [J]. Journal of Agricultural Science and Technology, 2023, 25(4): 197-204. |
| [4] | Yiwei YAN, Jie TIAN. Identification and Expression Analysis of NAC Gene Family Under Low Temperature in Allium sativum L. [J]. Journal of Agricultural Science and Technology, 2023, 25(4): 67-76. |
| [5] | Ze TENG, Yuxia ZHANG, Weidong CHEN, Baiming CONG, Yonglei TIAN, Qingxin ZHANG, Yongliang ZHANG, Dongru WANG. Effect of Chitosan on Alfalfa’s Cold Resistance and Content of Cold-resistant Protective Substances [J]. Journal of Agricultural Science and Technology, 2023, 25(2): 192-198. |
| [6] | Lifang HUANG, Yuzhou LONG, Jinqin LI, Yunping DONG, Xiaoyang WANG, Peng CHEN, Xianwen WANG, Lin YAN. Physiological and Biochemical Characteristics of Coffea arabica Seedling Under Low Temperature Stress [J]. Journal of Agricultural Science and Technology, 2023, 25(2): 60-67. |
| [7] | Peixin LIANG, Rong TANG, Jianguo LIU. Effects of Mixed Saline-alkali Stress on Photosynthetic Physiology and Yield in Cyperus esculentus L. [J]. Journal of Agricultural Science and Technology, 2023, 25(12): 195-204. |
| [8] | Xin WANG, Yuxia ZHANG, Weidong CHEN, Congying LIN, Wenhui HOU, Guleng SIRI, Baiming CONG. Effects of Nitrogen Topdressing on Yield and Photosynthetic Fluorescence Characteristics of Different Forage Oat Varieties [J]. Journal of Agricultural Science and Technology, 2022, 24(5): 170-179. |
| [9] | ZHANG Jiawen, LU Shaohao, ZHAO Zhe, ZHAO Mingqin*. Influences of Exogenous Melatonin on Physiological Properties of Tobacco Seedlings Under Low Temperature Stress [J]. Journal of Agricultural Science and Technology, 2020, 22(9): 78-86. |
| [10] | YIN Yonggang, YUAN Junwei, LIU Changjiang, HAN Bin, LI Minmin, SUN Yan, JIA Nan, GUO Zijuan, ZHAO Shengjian*. Effects of NaCl Stress on Leaf Photosynthesis and Chlorophyll Fluorescence Parameters of Vitis sp. Rootstocks [J]. Journal of Agricultural Science and Technology, 2020, 22(8): 49-55. |
| [11] | XIA Hongxia, YU Dayan, ZHU Qihong*, LIU Xidong, LI Qiang, WANG Shumin, DING Wuquan. Effect of Different Biochar Extracts on Seed Germination and Seedling Fluorescence of Brassica campestris [J]. Journal of Agricultural Science and Technology, 2020, 22(3): 31-37. |
| [12] | SHI Zhao1, HU Yanxia2*, QIN Xiangyang1, ZHENG Caixia3. Study on Behavioral Characteristics of PhotosystemⅡ of Osmanthus fragrans in Winter [J]. Journal of Agricultural Science and Technology, 2017, 19(8): 41-46. |
| [13] | CHEN Fang-quan1, SHAO Hui-fang1*, JIA Guo-tao1, XU Zi-cheng1, HUANG Wu-xing1, FAN Yi-kuan2, DU Xiu-zhi3, ZHANG Man-man1, ZHAO Rong-rong1. Effect of Water Retaining Agent on Photosynthetic Characteristics and Chlorophyll Fluorescence Parameters of Tobacco [J]. Journal of Agricultural Science and Technology, 2016, 18(5): 157-163. |
| [14] | DUAN Long\|fei1, SHANG Ai\|qin1*, YANG Min\|sheng2, WANG Jin\|mao2, ZUO Li\|hui2. Studies on Diurnal Variations of Photosynthetic Characteristics and Chlorophyll Fluorescence Parameters of Different Clones of Ulmus pumila cv. ‘Zhonghua jinye’ [J]. , 2014, 16(6): 21-27. |
| [15] | YANG Yang1,2,3, SHEN Lin2, SHENG Ji-ping2,4, WANG Feng-zhong1, WANG Feng1, FAN B. Effect of Exogenous NO on H2O2 Metabolism in Postharvest Mango Fruit under Low Temperature Stress [J]. , 2013, 15(2): 131-136. |
| Viewed | ||||||
|
Full text |
|
|||||
|
Abstract |
|
|||||
京公网安备11010802021197号 