








Journal of Agricultural Science and Technology ›› 2023, Vol. 25 ›› Issue (2): 60-67.DOI: 10.13304/j.nykjdb.2021.0640
• BIOTECHNOLOGY & LIFE SCIENCE • Previous Articles Next Articles
Lifang HUANG1,2(
), Yuzhou LONG1, Jinqin LI3, Yunping DONG1, Xiaoyang WANG1, Peng CHEN1, Xianwen WANG4, Lin YAN1,2(
)
Received:2021-08-02
Accepted:2021-11-22
Online:2023-02-15
Published:2023-05-17
Contact:
Lin YAN
黄丽芳1,2(
), 龙宇宙1, 李金芹3, 董云萍1, 王晓阳1, 陈鹏1, 王宪文4, 闫林1,2(
)
通讯作者:
闫林
作者简介:黄丽芳 E-mail:hlf032@163.com;
基金资助:CLC Number:
Lifang HUANG, Yuzhou LONG, Jinqin LI, Yunping DONG, Xiaoyang WANG, Peng CHEN, Xianwen WANG, Lin YAN. Physiological and Biochemical Characteristics of Coffea arabica Seedling Under Low Temperature Stress[J]. Journal of Agricultural Science and Technology, 2023, 25(2): 60-67.
黄丽芳, 龙宇宙, 李金芹, 董云萍, 王晓阳, 陈鹏, 王宪文, 闫林. 低温胁迫对小粒种咖啡幼苗生理特性的影响[J]. 中国农业科技导报, 2023, 25(2): 60-67.
Add to citation manager EndNote|Ris|BibTeX
URL: https://nkdb.magtechjournal.com/EN/10.13304/j.nykjdb.2021.0640
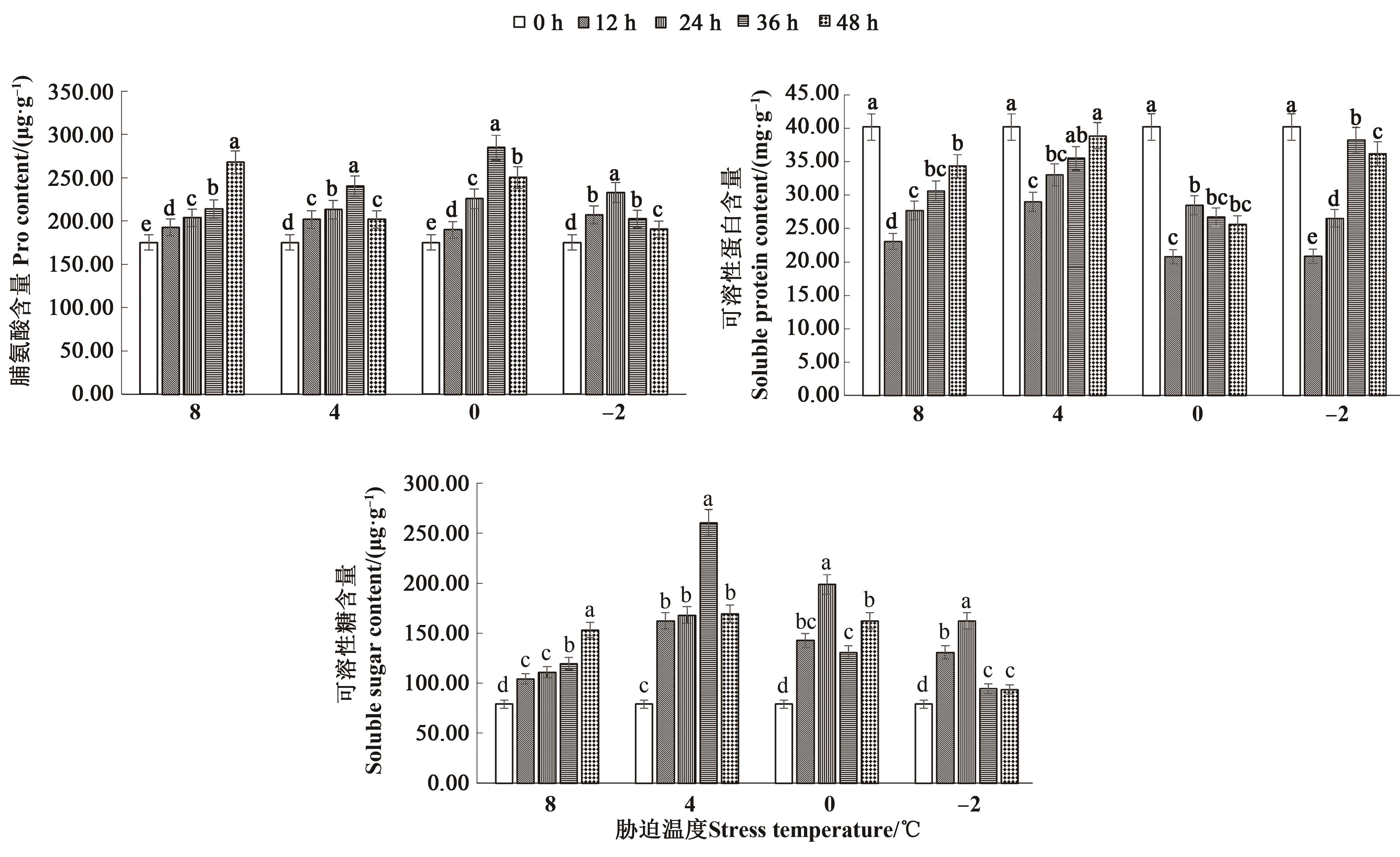
Fig. 1 Proline, soluble protein and soluble sugar contents in coffee leaves under different treatmentsNote: Different lowercase letters at the same temperature indicate significant differences at P<0.05 level.
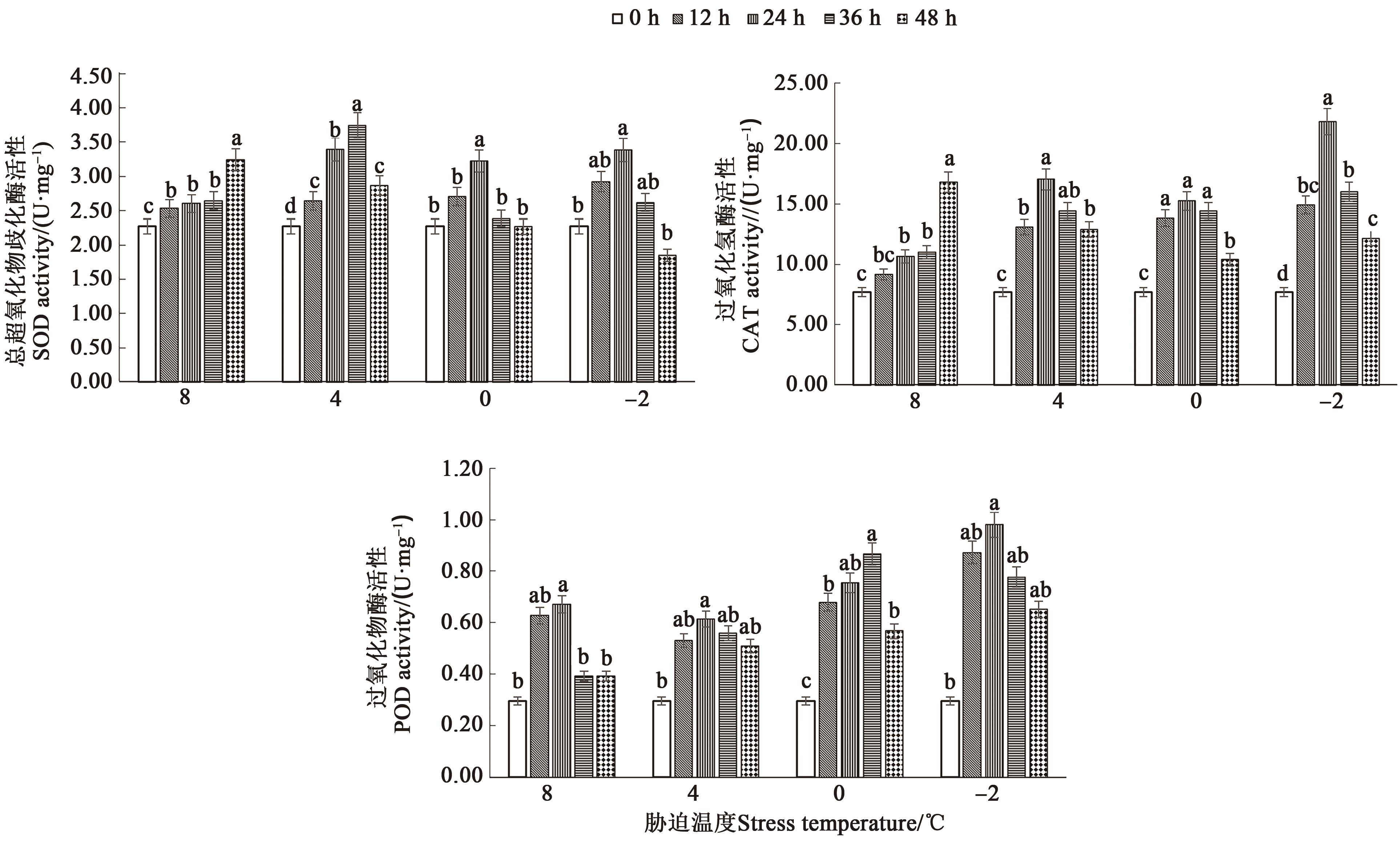
Fig. 2 SOD, CAT and POD activities in coffee leaves under different treatmentsNote: Different lowercase letters at the same temperature indicate significant differences at P<0.05 level.
Fig. 3 MDA and relative conductivity of coffee leaves under different treatmentsNote: Different lowercase letters at the same temperature indicate significant differences at P<0.05 level.
| 指标 Index | 过氧化物酶POD | 超氧化物歧化酶SOD | 过氧化氢酶 CAT | 脯氨酸 Pro | 可溶性糖 Soluble proteint | 可溶性蛋白 Soluble protein | 丙二醛 MDA |
|---|---|---|---|---|---|---|---|
| 超氧化物歧化酶SOD | 0.229 | ||||||
| 过氧化氢酶CAT | 0.474** | 0.519** | |||||
| 脯氨酸Pro | 0.134 | 0.271 | 0.372** | ||||
可溶性糖 Soluble proteint | 0.038 | 0.652** | 0.363** | 0.442** | |||
可溶性蛋白 Soluble protein | -0.312* | 0.001 | -0.102 | -0.113 | -0.041 | ||
| 丙二醛MDA | 0.059 | -0.250 | 0.095 | 0.425** | 0.055 | 0.172 | |
相对电导率 Relative conductivity | 0.360** | 0.027 | 0.382** | 0.245 | 0.166 | 0.126 | 0.581** |
Table 1 Analysis of correlation of indexes for cold resistance
| 指标 Index | 过氧化物酶POD | 超氧化物歧化酶SOD | 过氧化氢酶 CAT | 脯氨酸 Pro | 可溶性糖 Soluble proteint | 可溶性蛋白 Soluble protein | 丙二醛 MDA |
|---|---|---|---|---|---|---|---|
| 超氧化物歧化酶SOD | 0.229 | ||||||
| 过氧化氢酶CAT | 0.474** | 0.519** | |||||
| 脯氨酸Pro | 0.134 | 0.271 | 0.372** | ||||
可溶性糖 Soluble proteint | 0.038 | 0.652** | 0.363** | 0.442** | |||
可溶性蛋白 Soluble protein | -0.312* | 0.001 | -0.102 | -0.113 | -0.041 | ||
| 丙二醛MDA | 0.059 | -0.250 | 0.095 | 0.425** | 0.055 | 0.172 | |
相对电导率 Relative conductivity | 0.360** | 0.027 | 0.382** | 0.245 | 0.166 | 0.126 | 0.581** |
主成分 Principal component | 过氧化物酶 POD | 超氧化物歧化酶SOD | 过氧化氢酶CAT | 脯氨酸 Pro | 可溶性糖 Soluble proteint | 可溶性蛋白 Soluble protein | 丙二醛MDA | 相对电导率 Relative conductivity | 特征值 Eigen value | 贡献率 Contribution rate/% | 累积贡献率 Cumulative contribution rate/% |
|---|---|---|---|---|---|---|---|---|---|---|---|
| A1 | 0.53 | 0.64 | 0.79 | 0.67 | 0.67 | -0.13 | 0.34 | 0.57 | 2.70 | 33.69 | 33.69 |
| A2 | -0.03 | -0.60 | -0.13 | 0.17 | -0.32 | 0.33 | 0.85 | 0.62 | 1.72 | 21.48 | 55.17 |
| A3 | -0.70 | 0.27 | -0.17 | 0.21 | 0.46 | 0.65 | 0.11 | -0.12 | 1.30 | 16.28 | 71.45 |
Table 2 Coefficients and contribution rates of various comprehensive indicators
主成分 Principal component | 过氧化物酶 POD | 超氧化物歧化酶SOD | 过氧化氢酶CAT | 脯氨酸 Pro | 可溶性糖 Soluble proteint | 可溶性蛋白 Soluble protein | 丙二醛MDA | 相对电导率 Relative conductivity | 特征值 Eigen value | 贡献率 Contribution rate/% | 累积贡献率 Cumulative contribution rate/% |
|---|---|---|---|---|---|---|---|---|---|---|---|
| A1 | 0.53 | 0.64 | 0.79 | 0.67 | 0.67 | -0.13 | 0.34 | 0.57 | 2.70 | 33.69 | 33.69 |
| A2 | -0.03 | -0.60 | -0.13 | 0.17 | -0.32 | 0.33 | 0.85 | 0.62 | 1.72 | 21.48 | 55.17 |
| A3 | -0.70 | 0.27 | -0.17 | 0.21 | 0.46 | 0.65 | 0.11 | -0.12 | 1.30 | 16.28 | 71.45 |
| 1 | 胡荣锁,况沁蕊,王晓阳,等.普洱产区咖啡干香感官特征解析及杯品质量分析[J]. 热带作物学报,2021,42(2):535-545. |
| HU R S, KUANG Q R, WANG X Y, et al.. Sensory characteristics of dry aroma and cupping quality of coffee from Pu’er producing area [J]. Chin. J. Trop. Crops, 2021,42(2):535-545. | |
| 2 | 闫林, 黄丽芳, 王晓阳, 等. 咖啡新品种热研3号选育[J]. 种子, 2020,39(7): 119-121. |
| YAN L, HUANG L F, WANG X Y, et al.. Breeding of a new coffee variety Reyan 3 [J]. Seed, 2020,39(7): 119-121. | |
| 3 | 樊帆, 李正涛, 李世钰, 等. 云南热区咖啡种植地红壤细菌群落多样性分析[J]. 中国农业科技导报, 2020, 22(8): 178-186. |
| FAN F, LI Z T, LI S Y, et al.. Diversity of red soil bacterial community in coffee-growing regions of tropical Yunnan [J]. J. Agric. Sci. Technol., 2020, 22(8): 178-186. | |
| 4 | 闫林, 陈婷, 黄丽芳, 等. 小粒种咖啡种质资源重要农艺性状遗传多样性分析[J]. 福建农业学报, 2019, 34(12): 1383-1391. |
| YAN L, CHEN T, HUANG L F, et al.. Genetic diversity on selected agronomic traits of arabica coffee germplasm [J]. Fujian J. Agric. Sci., 2019, 34(12): 1383-1391. | |
| 5 | 何丽. 咖啡防寒御寒措施与寒害后的处理[J]. 云南农业科技, 2002 (): 235-236. |
| 6 | 孙娟, 熊惠波. 世界咖啡产销情况及中国咖啡产业发展分析[J]. 世界农业, 2010(2): 38-40. |
| 7 | RAMALHO J C, FORTUNATO A S, GOULAO L F, et al.. Cold-induced changes in mineral content in leaves of Coffea spp. identification of descriptors for tolerance assessment [J]. Biol. Plantarum, 2013, 57(3): 495-506. |
| 8 | RAMALHO J C, DAMATTA F M, RODRIGUES A P, et al.. Cold impact and acclimation response of Coffea spp. plants [J]. Theor. Exp. Plant Physiol., 2014, 26(1): 5-18. |
| 9 | FORTUNATO A S, LIDON F C, SANTOS P B, et al.. Biochemical and molecular characterization of the antioxidative system of Coffea sp. under cold conditions in genotypes with contrasting tolerance [J]. J. Plant Physiol., 2010, 5(167): 333-342. |
| 10 | 孙燕, 董云萍. 咖啡寒害及其防治[J]. 农村实用技术, 2015(7): 36-37. |
| 11 | 周华, 李锦红, 杨世华, 等. 小粒种咖啡寒害树截干复壮试验初报[J]. 热带农业科技, 2004, 27(4): 13-16. |
| ZHOU H, LI J H, YANG S H, et al.. Rejuvenation trial on cold damaged trees of Coffea arabica [J]. Trop. Agric. Sci. Technol., 2004,27 (4): 13-16. | |
| 12 | 黄丽芳, 李金芹, 王晓阳, 等. 基于幼苗光合及叶绿素荧光参数的3 种咖啡耐低温胁迫的综合评判[J]. 福建农业学报, 2020, 35(10): 1063-1070. |
| HUANG L F, LI J Q, WANG X Y, et al.. Low-temperature tolerance of coffea seedlings evaluated by photosynthesis and chlorophyll fluorescence indices [J]. Fujian J. Agric. Sci., 2020, 35(10): 1063-1070. | |
| 13 | 李金芹, 韩永庄, 董云萍, 等. 低温胁迫对咖啡2种嫁接方式叶绿素荧光参数的影响[J]. 中国热带农业, 2021(1): 63-68. |
| LI J Q, HAN Y Z, DONG Y P, et al.. Effects of low temperature stress on chlorophyll fluorescence parameters of two grafting methods of coffee [J]. China Trop. Agric., 2021(1): 63-68. | |
| 14 | 李亚男, 李荣福, 黄家雄, 等. 咖啡主要栽培品种特性研究[J]. 安徽农业科学, 2012, 40(35): 17038-17041. |
| LI Y N, LI R F, HUANG J X, et al.. Character of main cultivated coffee varieties [J]. J. Anhui Agric. Sci., 2012, 40(35): 17038-17041. | |
| 15 | 罗新义, 冯昌军, 李红, 等. 低温胁迫下肇东苜蓿SOD、脯氨酸活性变化初报[J]. 中国草地, 2004, 26(4): 79-81. |
| LUO X Y, FENG C J, LI H, et al.. Study on changes of SOD and proline activity during low temperature stress on medicago sativa L. cv. Zhaodong [J]. Grassland China, 2004, 26(4): 79-81. | |
| 16 | LLOYD J R, BLENNOW A, BURHENNE K, et al.. Re-pression of a novel isoform of disproportionating enzyme (stDPE2) in potato leads to inhibition of starch degrada-tion in leaves but not tubers stored at low temperature [J]. Plant Physiol., 2004, 134(4): 1347-1354. |
| 17 | ZEEMAN S C, SMITH S M, SMITH A M. The diurnal metabolism of leaf starch [J]. Biochem. J., 2007, 401(1): 13-28. |
| 18 | 利容千, 王建波. 植物逆境细胞及生理学[M]. 武汉: 武汉大学出版社, 2002:52. |
| 19 | 黄治远, 李隆华, 张云贵, 等. 龙眼耐寒性与叶片可溶性糖含量的关系[J]. 中国南方果树, 2005, 34 (2): 32-33. |
| HUANG Z Y, LI L H, ZHANG Y G, et al.. The relationship between leaf soluble sugar content and cold tolerance of longan [J]. South China Fruits, 2005, 34 (2): 32-33. | |
| 20 | 袁淑珍, 栗淑媛, 乔辰. 低温胁迫对螺旋藻体内可溶性糖含量的影响[J]. 中国农学通报, 2008, 24(5): 113-116. |
| YUAN S Z, LI S Y, QIAO C. The effect of low temperature stress on content of soluble sugar in Spirulina (Arthrospira) [J]. Chin. Agric. Sci. Bull., 2008, 24(5): 113-116. | |
| 21 | 宋杨. 不同抗寒性冬小麦品种各生育期的光合生理特性研究[D]. 哈尔滨: 东北农业大学, 2012. |
| SONG Y. Study on photosynthetic and physiological characteristics at different growing period of two winter wheat cultivars [D]. Harbing: Northeast Agricultural University,2012. | |
| 22 | 姚悦梅, 戴忠良, 张振超, 等. 羽衣甘蓝对低温的生理响应与耐寒性综合评价[J]. 江苏农业学报, 2017, 33(6): 1349-1357. |
| YAO Y M, DAI Z L, ZHANG Z C, et al.. Physiological response to low temperature and comprehensive evaluation of cold tolerance in Kale [J]. Jiangsu J. Agric. Sci., 2017, 33(6): 1349-1357. | |
| 23 | 陈明辉, 张志录, 程世平, 等. 低温胁迫对4个果蔗品种幼苗根系活力和保护酶活性的影响[J]. 江苏农业科学, 2018, 46(3): 116-119. |
| 24 | 胡杨, 李钢铁, 李星, 等. 干旱胁迫对细穗柽柳幼苗生长和生理生化指标的影响[J].中国农业科技导报, 2021, 23(6): 43-50. |
| HU Y, LI G T, LI X, et al.. Growth and physiological index of Tamarix leptostachys bunge seedlings under soil drought stress [J]. J. Agric. Sci. Technol., 2021, 23(6): 43-50. | |
| 25 | 李天来, 高晓倩, 刘玉凤. 夜间低温胁迫下钙对番茄幼苗根系活力及活性氧代谢的调控作用[J]. 西北农业学报, 2011, 20 (8): 127-132. |
| LI T L, GAO X Q, LIU Y F. Effects of calcium on root activity and metabolism of reactive oxygen species of tomato seedlings under low night temperature stress [J].Acta Agric. Bor-Occid. Sin., 2011, 20 (8): 127-132. | |
| 26 | 柴文臣, 马蓉丽, 焦彦生, 等. 低温胁迫对不同辣椒品种生长及生理指标的影响[J]. 华北农学报, 2010, 25(2): 168-171. |
| CHAI W C, MA R L, JIAO Y S, et al.. Influences of low temperature stress on pepper’s growth index and physiological index [J]. Acta Agric. Boreali-Sin., 2010, 25(2): 168-171. | |
| 27 | 王玲丽, 贾文杰, 马璐琳, 等. 低温胁迫对不同百合主要生理指标的影响[J].植物生理学报,2014, 50(9): 1413-1422. |
| WANG L L, JIA W J, MA L L, et al.. Influences of low temperature stress on the main physiological indexes of different lilium [J]. Plant Physiol. J., 2014, 50(9): 1413-1422. | |
| 28 | 朱鹏锦, 庞新华, 梁春, 等. 低温胁迫对甘蔗幼苗活性氧代谢和抗氧化酶的影响[J]. 作物杂志, 2018(4): 131-137. |
| ZHU P J, PANG X H, LIANG C, et al.. Effects of cold stress on reactive oxygen metabolism and antioxidant enzyme activities of sugarcane seedlings [J]. Crops, 2018(4): 131-137. | |
| 29 | 徐呈祥. 提高植物抗寒性的机理研究进展[J]. 生态学报, 2012, 32(24): 7966-7980. |
| XU C X. Research progress on the mechanism of improving plant cold hardiness [J]. Acta Ecol. Sin., 2012, 32(24): 7966- 7980. | |
| 30 | 张泽煌, 黄碧琦, 陈钟佃, 等. 低温胁迫对茄子的伤害及茄子抗寒机理[J]. 福建农业学报, 2000, 15(1): 40-42. |
| ZHANG Z H, HUANG B Q, CHEN Z D, et al.. Low temperature injury and cold resistance mechanism of eggplant [J]. Fujian J. Agric. Sci., 2000, 15(1): 40-42. | |
| 31 | 翁伯琦, 江福英, 方金梅. 低温胁迫下决明属牧草苗期活性氧代谢及其自适性响应的研究[J]. 中国生态农业学报, 2006, 14(2): 43-45. |
| WENG B Q, JIANG F Y, FANG J M. Active oxygen metabolism and accommodation of Chamaecrista spp. under chilling stress in seedling period [J]. Chin. J. Eco-Agric., 2006, 14(2): 43-45. | |
| 32 | 马德华, 卢育华, 庞金安. 低温对黄瓜幼苗膜脂过氧化的影响[J]. 园艺学报, 1998, 25(1): 61-64. |
| MA D H, LU Y H, PANG J A. Influence of low temperature strss on cucumber membrane-lipid peroxidation [J]. Acta Hortic. Sin., 1998, 25(1): 61-64. | |
| 33 | 郭瑞, 曾榕, 张金鑫, 等. 低温后不同光强对烤烟幼苗叶片活性氧代谢和叶绿素荧光参数的影响[J]. 华北农学报, 2015, 30(1): 225-230. |
| GUO R, ZENG R, ZHANG J X, et al.. Effects of different light intensities on reactive oxygen species metabolism and chlorophyll fluorescence parameters in leaves of flue-curing tobacco seedlings after chilling stress [J]. Acta Agric. Boreali-Sin., 2015, 30(1): 225-230. | |
| 34 | 王旺田, 刘文瑜, 姜寒玉, 等. 低温胁迫对葡萄幼苗渗透调节物质及抗氧化酶活性的影响[J]. 中国果树, 2015(1): 14-17. |
| WANG W T, LIU W Y, JIANG H Y, et al.. Effects of low temperature stress on osmotic regulators and antioxidant enzyme activities of grape seedlings [J]. China Fruits, 2015(1): 14-17. |
| [1] | Yi HU, Jie GONG, Wei ZHAO, Rong CHENG, Zhongyu LIU, Shiqing GAO, Yazhen YANG. Identification of PHY Gene Family in Wheat (Triticum aestivum L.)and Their Expression Analysis Under Heat Stress [J]. Journal of Agricultural Science and Technology, 2025, 27(7): 30-43. |
| [2] | Haohao YU, Xiangshu DONG, Hao ZHAO, Zhongxian LI, Faguang HU, Yanan LI, Yuqiang LOU, Feifei HE. Analysis of SNP Loci and Alternative Splicing Events in Coffea arabica L. Under Drought Stress [J]. Journal of Agricultural Science and Technology, 2025, 27(6): 72-82. |
| [3] | Pengyang SHAO, Yuzhu SHA, Xiu LIU, Guoshun CHEN, Caiye ZHU, Jiqing WANG, Fanxiong WANG, Xiaowei CHEN, Wenxin YANG. Effects of Astragalus Feed Additive on Growth Performance, Serum Ig, Rumen Fermentation and Microbiota of Lambs [J]. Journal of Agricultural Science and Technology, 2025, 27(3): 83-94. |
| [4] | Shifang WANG, Haiyan SONG. Study on Characteristics of Visible and Near Infrared Reflectance Spectra of Soil Organic Matter [J]. Journal of Agricultural Science and Technology, 2024, 26(7): 183-188. |
| [5] | Xiaoyu SHI, Lianqing JIAO, Min YU, Yixin TIAN, Anni JIAO, Yilin LUAN. Multidimensional Evaluation and Optimization of High Temperature Short Time Process of Astragalus membranaceus [J]. Journal of Agricultural Science and Technology, 2024, 26(7): 223-233. |
| [6] | Erhao ZHANG, Panpan LIU, Ping HE, Yue JIAN, Yuting XU, Chengxin CHEN, Yazhou LU, Xiaozhong LAN, Sangmu SUOLANG. Physiochemical Properties and Microbial Community Structure in Rhizosphere Soil of Dracocephalum tanguticum [J]. Journal of Agricultural Science and Technology, 2024, 26(3): 201-213. |
| [7] | Zhenwei ZHANG, Xiangshu DONG, Jing YANG, Xuejun LI, Meijun QI, Kuaile JIANG, Yonglin YANG, Butian WANG, Xuedong SHI, Junchao QIU, Zhihua CHEN, Yu GE. Genome-wide Identification and Expression Analysis of Key Chlorophyll Synthesis Related Gene CaPOR in Coffea arabica [J]. Journal of Agricultural Science and Technology, 2024, 26(10): 83-97. |
| [8] | Weiwei PEI, Zhe YANG, Yunying WANG, Xin WANG, Yangong DU. Carbon Sink Characteristics and Regulatory Factors of Qinghai Spruce Forests in the Qilian Mountains [J]. Journal of Agricultural Science and Technology, 2024, 26(1): 226-233. |
| [9] | Ningning LU, Linyun CHEN, Taixin YANG, Shulin YANG, Guoku LIU. Correlation AnalysisBetweenFruit Formation and Endogenous Hormone Contents in Glehnia littoralis [J]. Journal of Agricultural Science and Technology, 2024, 26(1): 63-69. |
| [10] | Peng ZHONG, Lili MIAO, Jianli WANG, Jie LIU, Xiaolong WANG. Physiological Response and Cold Resistance Evaluation of Cyperus esculentus Germplasms Under Low Temperature Stress [J]. Journal of Agricultural Science and Technology, 2023, 25(9): 83-96. |
| [11] | Pengfei LIU, Xiaoshuang LU, Dilimurat Reheman, Tangnur Slay, Yanying QU, Quanjia CHEN, Xiaojuan DENG. Genetic Variation Analysis of Main Quality Traits and Agronomic Traits in Upland Cotton Seed [J]. Journal of Agricultural Science and Technology, 2023, 25(8): 22-32. |
| [12] | Zhonghua MA, Juan CHEN, Na WU, Benju MAN, Xiaogang WANG, Yongqing ZHE, Jili LIU. Effects of Salt Stress and Phosphorus Supply on Photosynthetic Characteristics and Total Biomass of Switchgrass at Seedling Stage [J]. Journal of Agricultural Science and Technology, 2023, 25(6): 190-200. |
| [13] | Yiwei YAN, Jie TIAN. Identification and Expression Analysis of NAC Gene Family Under Low Temperature in Allium sativum L. [J]. Journal of Agricultural Science and Technology, 2023, 25(4): 67-76. |
| [14] | Zhixiong HOU, Changqing JING, Gongxin WANG, Wenzhang GUO, Weikang ZHAO. Temporal and Spatial Variation of Natural Grassland Vegetation Coverage and Its Relationship with Meteorological Factors in Northern Xinjiang from 1998 to 2018 [J]. Journal of Agricultural Science and Technology, 2023, 25(2): 140-151. |
| [15] | Ze TENG, Yuxia ZHANG, Weidong CHEN, Baiming CONG, Yonglei TIAN, Qingxin ZHANG, Yongliang ZHANG, Dongru WANG. Effect of Chitosan on Alfalfa’s Cold Resistance and Content of Cold-resistant Protective Substances [J]. Journal of Agricultural Science and Technology, 2023, 25(2): 192-198. |
| Viewed | ||||||
|
Full text |
|
|||||
|
Abstract |
|
|||||
京公网安备11010802021197号