Journal of Agricultural Science and Technology ›› 2023, Vol. 25 ›› Issue (12): 195-204.DOI: 10.13304/j.nykjdb.2022.0504

• BIO-MANUFACTURING & RESOURCE AND ECOLOGY • Previous Articles     Next Articles

Effects of Mixed Saline-alkali Stress on Photosynthetic Physiology and Yield in Cyperus esculentus L.

Peixin LIANG(), Rong TANG, Jianguo LIU()   

  1. Key Laboratory of Oasis Eco-Agriculture,Xinjiang Production and Construction Corps,Shihezi University,Xinjiang Shihezi 832003,China
  • Received:2022-06-17 Accepted:2022-07-15 Online:2023-12-15 Published:2023-12-12
  • Contact: Jianguo LIU

混合盐碱胁迫对油莎豆光合生理及产量的影响

梁培鑫(), 唐榕, 刘建国()   

  1. 石河子大学新疆生产建设兵团绿洲生态农业重点实验室,新疆 石河子 832003
  • 通讯作者: 刘建国
  • 作者简介:梁培鑫 E-mail:1462442861@qq.com
  • 基金资助:
    国家重点研发计划项目(2016YFC0501406)

Abstract:

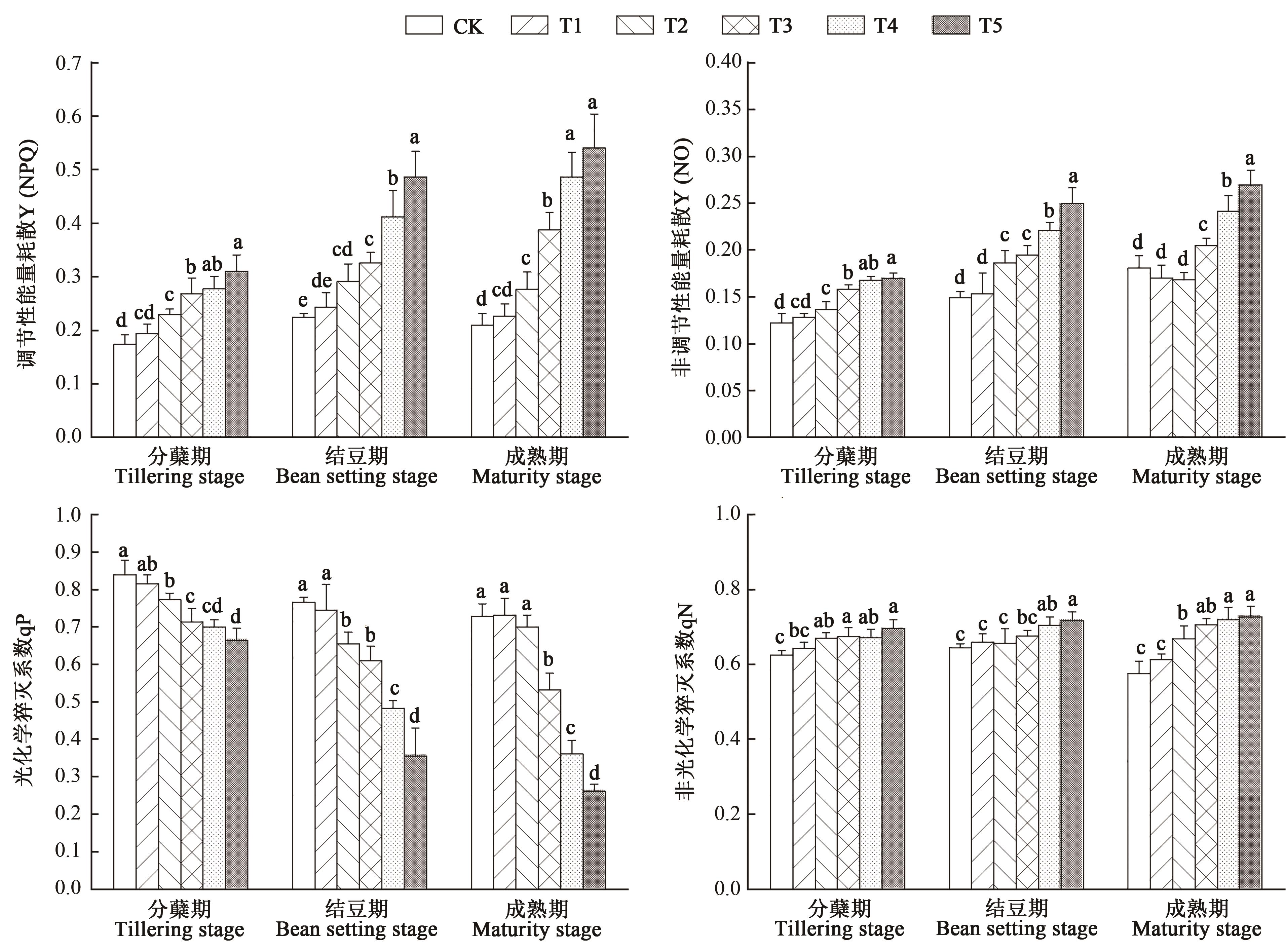
To investigate the effects of different levels of mixed saline-alkaline stress on the photosynthetic physiological indicators of Cyperus esculentus L., and to reveal the salt-and-alkali tolerance mechanism and ability of Cyperus esculentus L. under mixed saline-alkaline stress,the Zhongyousha 1 variety was used as the test material, and the farmland soil with a total salt content of 1.18 g·kg-1 was used as the control. 2 neutral salts (NaCl, Na2SO4) and 2 alkaline salts (NaHCO3, Na2CO3) were selected,the mixed saline-alkaline was prepared according to the molar ratio of NaCl∶Na2SO4∶NaHCO3∶Na2CO3 of 12∶9∶8∶1, and five saline-alkaline treatment levels of 3.0, 4.0, 5.0, 7.5, and 10.0 g·kg-1 were set. The treatments were applied at different levels throughout the reproductive period. The results showed that saline-alkaline stress at the tillering stage promoted the increase of chlorophyll content in the leaves of Cyperus esculentus L. to some extent, but with the development of the growth period, it showed inhibition at the mature stage. Net photosynthetic rate (Pn), stomatal conductance (Gs), and transpiration rate (Tr) increased first and then decreased at the tillering stage and decreased at the maturity stage with the increase of saline-alkaline stress level. With the increase of saline-alkaline stress, initial fluorescence (F0), regulatory energy dissipation [Y(NPQ)], non regulatory energy dissipation [Y(NO)] and non photochemical fluorescence quenching coefficient (qN) in fluorescence parameters all showed an upward trend at each stage, maximum photochemical efficiency (Fv/Fm), PSⅡ actual photochemical efficiency (ΦPSⅡ) and photochemical quenching coefficient (qP) showed a downward trend. The yield of Cyperus esculentus L. decreased significantly with the increase of saline-alkaline stress and was adaptable to mixed salinity at 5 g·kg-1. This study could provide a theoretical basis for the planting of Cyperus esculentus L. in saline-alkali land in arid areas of Xinjiang.

Key words: Cyperus esculentus L., saline-alkali stress, photosynthetic gas exchange parameters, chlorophyll fluorescence parameters, biomass

摘要:

为探究不同水平混合盐碱胁迫对油莎豆光合生理指标的影响,揭示油莎豆在混合盐碱胁迫下的耐盐碱机制与能力,以‘中油莎1号’品种为试验材料,以总盐量为1.18 g·kg-1的农田土壤作对照,选择2种中性盐(NaCl、Na2SO4)和2种碱性盐(NaHCO3、Na2CO3),按照NaCl∶Na2SO4∶NaHCO3∶Na2CO3为12∶9∶8∶1的摩尔比配成混合盐碱,设置3.0、4.0、5.0、7.5、10.0 g·kg-1共5个水平混合盐碱处理,在全生育期对油莎豆进行盐碱混合胁迫处理,于油莎豆分蘖期、结豆期和成熟期分别测定其叶绿素和光合荧光等指标。结果表明,分蘖期盐碱胁迫对油莎豆叶片叶绿素含量的增加有一定促进作用,但随着生育期的推移,成熟期时表现为抑制作用;净光合速率(net photosynthetic rate,Pn)、气孔导度(stomatal conductance,Gs)、蒸腾速率(transpiration,Tr)均随着盐碱胁迫程度的增加在分蘖期表现为先升后降的趋势,成熟期则表现为下降趋势;随盐碱胁迫程度的增加各时期下,荧光参数中初始荧光(initial fluorescence,F0)、调节性能量耗散[regulatory energy dissipation,Y(NPQ)]、非调节性能量耗散[non regulatory energy dissipation,Y(NO)]和非光化学荧光淬灭系数(non photochemical quenching coefficient,qN)均表现为上升趋势,最大光化学效率(maximal photochemical efficiency,Fv /Fm)、PSⅡ实际化学效率(actual photochemical efficiency,ΦPSⅡ)和光化学猝灭系数(photochemical quenching coefficient,qP)则表现为下降趋势。结果表明油莎豆可通过增加调节性能量耗散,减少植物因光能过剩所造成的损伤;油莎豆产量随盐碱胁迫程度的增加显著降低,并且对5 g·kg-1的混合盐碱具有一定的适应能力。该研究为油莎豆在新疆干旱区盐碱地种植提供了理论依据。

关键词: 油莎豆, 混合盐碱胁迫, 气体交换参数, 叶绿素荧光参数, 生物量

CLC Number: