Journal of Agricultural Science and Technology ›› 2023, Vol. 25 ›› Issue (1): 65-71.DOI: 10.13304/j.nykjdb.2021.1110
• BIOTECHNOLOGY & LIFE SCIENCE • Previous Articles Next Articles
Zhiyun CHU1,2(), Hui QI1, Ying LI1, Yibing WAN1, Zhiyu REN2, Chun LIU1(
), Suxia YUAN1(
)
Received:
2021-12-30
Accepted:
2022-06-21
Online:
2023-01-15
Published:
2023-04-17
Contact:
Chun LIU,Suxia YUAN
褚志云1,2(), 祁惠1, 李颖1, 万一兵1, 任志雨2, 刘春1(
), 袁素霞1(
)
通讯作者:
刘春,袁素霞
作者简介:
褚志云 E-mail:601385020@qq.com
基金资助:
CLC Number:
Zhiyun CHU, Hui QI, Ying LI, Yibing WAN, Zhiyu REN, Chun LIU, Suxia YUAN. Dynamic Changes of Aluminium Ion in the Sepals and Leaves of Hydrangea macrophylla ‘Bailmer’[J]. Journal of Agricultural Science and Technology, 2023, 25(1): 65-71.
褚志云, 祁惠, 李颖, 万一兵, 任志雨, 刘春, 袁素霞. 八仙花‘Bailmer’花萼和叶片内铝离子的动态变化[J]. 中国农业科技导报, 2023, 25(1): 65-71.
Add to citation manager EndNote|Ris|BibTeX
URL: https://nkdb.magtechjournal.com/EN/10.13304/j.nykjdb.2021.1110
Fig. 1 Al ion content in sepal and leaf of ‘Bailmer’ under different temperaturesNote: Different small letters in the figure indicate significant difference at P<0.05 level.
Fig. 2 Chlorophyll fluorescence parameters in ‘Bailmer’ leaf under different temperaturesNote: Different small letters in the figure indicate significant difference at P<0.05 level.
处理温度 Temperature/℃ | 株高 Plant height/mm | 茎粗 Stem thickness/mm | 叶长 Leaf length/mm | 叶宽 Leaf width/mm | 花径 Flower diameter/mm |
---|---|---|---|---|---|
18 | 320.00±20.00 a | 4.49±0.35 b | 103.55±8.49 b | 66.58±10.41 a | 77.00±4.58 b |
23 | 311.70±10.40 a | 5.05±0.10 a | 120.08±4.88 a | 72.08±3.79 a | 93.00±3.79 a |
28 | 306.70±15.30 a | 4.41±0.30 b | 97.22±2.55 b | 62.55±6.20 a | 59.00±9.02 c |
Table 1 Plant growth index under different temperature
处理温度 Temperature/℃ | 株高 Plant height/mm | 茎粗 Stem thickness/mm | 叶长 Leaf length/mm | 叶宽 Leaf width/mm | 花径 Flower diameter/mm |
---|---|---|---|---|---|
18 | 320.00±20.00 a | 4.49±0.35 b | 103.55±8.49 b | 66.58±10.41 a | 77.00±4.58 b |
23 | 311.70±10.40 a | 5.05±0.10 a | 120.08±4.88 a | 72.08±3.79 a | 93.00±3.79 a |
28 | 306.70±15.30 a | 4.41±0.30 b | 97.22±2.55 b | 62.55±6.20 a | 59.00±9.02 c |
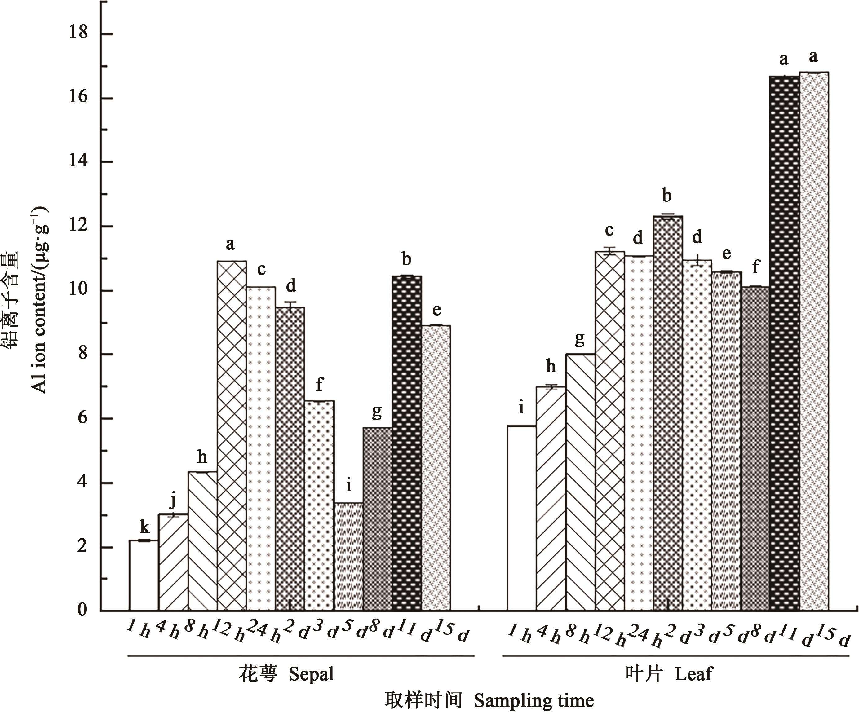
Fig. 4 Dynamic change of Al ion content in sepals and leaves of ‘Bailmer’ after aluminum applicationNote:Different small letters in the figure indicate significant difference at P<0.05 level.
Fig. 5 Dynamic changes of Al ion absorption rate in sepal and leaf of ‘Bailmer’ after aluminum applicationNote: Different small letters in the figure indicate significant difference at P<0.05 level.
1 | 彭尽晖,周朴华,周红灿,等.湖南省绣球属植物资源调查[J].湖南农业大学学报(自然科学版),2008,34 (5):563-567. |
PENG J H, ZHOU P H, ZHOU H C, et al.. Investigation on Hydrangea resource in Hunan province [J]. J. Hunan Agric. Univ. (Nat. Sci.), 2008, 34 (5): 563-567. | |
2 | 曾奕,杨伟权,郁书君.绣球花的育种研究进展[J].广东农业科学,2018,45 (6):36-43. |
ZENG Y, YANG W Q, YU S J. Research progress of Hydrangea breeding [J]. Guangdong Agric. Sci., 2018, 45 (6): 36-43. | |
3 | 刘焕新.八仙花的花色调控[J].天津农林科技,2004 (5):21. |
LIU H X. The regulation of flower colour in Hydrangea macrophylla [J]. Sci. Technol. Tianjin Agric. Forestry, 2004 (5): 21. | |
4 | ITO D, SHINKAI Y, KATO Y, et al.. Chemical studies on different color development in blue-and red-colored sepal cells of Hydrangea macrophylla [J]. Biosci. Biotechnol. Biochem., 2009, 73 (5): 1054-1059. |
5 | SCHREIBER H D, JONES A H, LARIVIERE C M, et al.. Role of aluminum in red-to-blue color changes in Hydrangea macrophylla sepals [J]. BioMetals, 2011, 24 (6): 1005-1015. |
6 | 顾明华,陆申年,白厚义,等.铝毒在不同作物上的差异及温度的影响[J].热带亚热带土壤科学,1994,(2):59-65. |
GU M H, LU S N, BAI H Y, et al.. The difference of aluminum toxicity in different crops and the effect of temperature [J]. Trop. Subtrop. Soil Sci., 1994 (2): 59-65. | |
7 | WAGATSUMA T. Effect of non-metabolic conditions on the uptake of aluminum by plant roots [J]. Soil Sci. Plant Nutr., 1983, 29 (3):323-333. |
8 | SILVA I R, SMYTH T J, MOXLEY D F, et al.. Aluminum accumulation at nuclei of cells in the root tip. Fluorescence detection using lumogallion and confocal laser scanning microscopy [J]. Plant Physiol., 2000, 123 (2): 543-552. |
9 | HUETT D O, MENARY R C. Aluminium Uptake by Excised Roots of Cabbage, Lettuce and Kikuyu Grass [J]. Funct. Plant Biol., 1979, 6 (6): 643-653. |
10 | NAUMANN A, HORST W J. Effect of aluminium supply on aluminium uptake, translocation and blueing of Hydrangea macrophylla (Thunb.) Ser. cultivars in a peatclay substrate [J]. J. Hortic. Sci. Biotechnol., 2003, 78 (4): 463-469. |
11 | HOTTA H, WANG Q, FUKUDA M, et al.. Identification of aluminum species in an aluminum-accumulating plant, hydrangea (Hydrangea macrophylla), by electrospray ionization mass spectrometry [J]. Anal. Sci., 2008, 24 (6): 795-798. |
12 | ITO T, AOKI D, FUKUSHIMA K, et al.. Direct mapping of Hydrangea blue-complex in sepal tissues of Hydrangea macrophylla [J/OL]. Sci. Rep., 2019, 9 (1): 5450 [2022-05-20]. . |
13 | 杨锁宁.基质pH、铝离子对八仙花花色形成的调控机理[D].银川:宁夏大学,2020. |
YANG S N. The study on the mechanism of substrate pH and Al3+ regulating sepal color formation in Hydrangea macrophylla [D].Yinchuan: Ningxia University, 2020. | |
14 | 赵玉萍,邹志荣,白鹏威,等.不同温度对温室番茄生长发育及产量的影响[J]. 西北农业学报,2010,19 (2):133-137. |
ZHAO Y P, ZHOU Z R, BAI P W, et al.. Effect of different temperature on the growth and yield of tomato in greenhouse [J]. Acta Agric. Boreali-occident. Sin., 2010, 19 (2): 133-137. | |
15 | SKALOVA H, MORAVCOVA L, DIXON A F G, et al.. Effect of temperature and nutrients on the growth and development of seedlings of an invasive plant [J]. Food Chem., 2016, 202: 184-188. |
16 | HUANG K L, MIYAJIMA I, OKUBO H. Effects of temperature and shade treatment on flower colors and characteristics in newly established reddish-purple tuberose(Polianthes) [J]. J. Faculty Agric. Kyushu Univ., 2000, 45 (1): 57-63. |
17 | 杨锁宁,张黎,刘春,等.温度和土壤酸度对八仙花‘Bailmer’生长发育的影响[J].中国农业科技导报,2020,22 (5):24-34. |
YANG S N, ZHANG L, LIU C, et al.. Influences of temperature and soils acidity on the growth and development of Hydrangea macrophylla ‘Bailmer’ [J]. J. Agric. Sci. Technol., 2020, 22 (5): 24-34. | |
18 | 杨彬,金小青,陈修斌.温度对龙葵幼苗叶绿素含量和荧光参数的影响[J].安徽农业科学,2018,4605:56-57, 72. |
YANG B, JIN X Q, CHEN X B. Effects of different temperature on the content of chlorophyll in the leaves of Solanum nigrum L. seedlings and the fluorescent index [J]. J. Anhui Agric. Sci., 2018, 46(05): 56-57, 72. | |
19 | HALDIMAN P, FRACHEBOUD Y, STAMP P. Photosynthetic performance and resistance to photoinhibition of Zea mays L. leaves grown at sub-optimal temperature [J]. Plant Cell Environ., 1996, 19: 85-92. |
20 | 彭尽晖.湖南省绣球属(Hydrangea)植物资源及耐铝特性研究[D].长沙:湖南农业大学,2010. |
PENG J H. Study on resources of Hydrangea L . in Hunan Province and characteristics of aluminum tolerance [D]. Changsha: Hunan Agricultural University. 2010. | |
21 | SHEN R F, IWASHITA T, MA J F. Form of Al changes with Al concentration in leaves of buckwheat [J]. J. Exp. Bot., 2004, 55 (394):131-136. |
22 | 陈海霞,胡春梅,彭尽晖,等. 铝胁迫诱导八仙花根系分泌有机酸的研究[J].天津农业科学,2017,23 (2):1-7, 15. |
CHEN H X, HU C M, PENG J H, et al.. Al Stress-Induced Organic Acid Secretion from Roots in Hydrangea macrophylla [J]. Tianjin Agric. Sci., 2017, 23 (2): 1-7, 15. | |
23 | MA J F. Role of organic acids in detoxification of Al in higher plants [J]. Plant Cell Physiol., 2000, 44: 383-390. |
[1] | Haitao XU, Hongzhen MA, Wenwen WANG, Wenxiang FAN, Bo XU, Jungang ZHANG, Haibin GUO, Youhua WANG. Research on Dynamic Development and Accumulated Temperature Model of Maize Plant Height and Stem Diameter Based on Effective Accumulated Temperature [J]. Journal of Agricultural Science and Technology, 2025, 27(8): 187-201. |
[2] | Yanfang ZHU, Qiang CHANG, Yan HAO, Hailong CHEN. Effects of Reflective Film on Fruit Quality and Volatile Components of ‘Shine Muscat’ Grape [J]. Journal of Agricultural Science and Technology, 2025, 27(7): 72-82. |
[3] | Taotao MAO, Xiaoqiang ZHAO, Xiaodong BAI, Bin YU. Effect of Low Temperature Stress on Photosynthetic Performance, Antioxidant Enzyme System and Related Gene Expression in Maize Seedlings [J]. Journal of Agricultural Science and Technology, 2025, 27(5): 49-60. |
[4] | Bei MA, Jie GONG, Yinke DU, Yuwei GAN, Rong CHENG, Bo ZHU, Lixia YI, Jinxiu MA, Shiqing GAO. Identification and Expression Analysis of TaINP1 Gene Related to Pollen Pore Development in Wheat [J]. Journal of Agricultural Science and Technology, 2025, 27(4): 22-35. |
[5] | Zhiwei LYU, Dongmei LI, Meijuan JIN, Yanhui ZHANG, Yueyue TAO, Xinwei ZHOU, Haihou WANG. Effects of Pyrolysis Temperature and Time on Physicochemical Properties and Adsorption Properties of Biochar [J]. Journal of Agricultural Science and Technology, 2025, 27(2): 211-217. |
[6] | Lanting XIANG, Shuhui SONG, Lijuan LIU, Xiaoling SHE, Jiahua ZHOU, Baogang WANG, Hong CHANG, Chao ZHANG, Daqi FU, Yunxiang WANG. Effect of Different Storage Temperatures on Quality of Jingcai 1 Watermelon [J]. Journal of Agricultural Science and Technology, 2024, 26(9): 137-145. |
[7] | Li ZHAO, Jingjing HOU, Bin WANG, Minglu YUAN, Jie LIU. Dynamic Change of Important Traits During the Development of Flax Seed [J]. Journal of Agricultural Science and Technology, 2024, 26(9): 25-33. |
[8] | Xiaoyu SHI, Lianqing JIAO, Min YU, Yixin TIAN, Anni JIAO, Yilin LUAN. Multidimensional Evaluation and Optimization of High Temperature Short Time Process of Astragalus membranaceus [J]. Journal of Agricultural Science and Technology, 2024, 26(7): 223-233. |
[9] | Xiaofei XIONG, Wenqian WU, Hongyan HUO, Xin ZHANG, Yan YU, Dong AN, Tong ZHANG, Jianwei WU. Research on Sensor-based Agricultural Greenhouse Data Direct Reporting System and Intelligent Control [J]. Journal of Agricultural Science and Technology, 2024, 26(7): 93-102. |
[10] | Suilin ZHANG, Yang LI, Yan LI, Yunqi ZHANG, Jianxun QI, Zhixia HOU. Research Progress on Harmful Characteristics and Mechanism of Walnut Late Frost [J]. Journal of Agricultural Science and Technology, 2024, 26(4): 18-26. |
[11] | Yu MIAO, Jie WANG, Yaoyao ZHAO, Lijia ZHANG, Meijun LIU. Study on Recovery Characteristics of Photosynthesis in Alfalfa Leaves After Low Temperature Stress [J]. Journal of Agricultural Science and Technology, 2024, 26(2): 80-89. |
[12] | Xiaokai LI, Tana, Caixia YAN, Caizhu SONG, Mengjie GUO. Influence of Roof Ventilation of Solar Greenhouse on Temperature and Humidity and Carbon Dioxide Level in Cold and Arid Regions [J]. Journal of Agricultural Science and Technology, 2024, 26(12): 187-200. |
[13] | Zhaoyang YANG, Peng XU, Tiejian YUAN, Xiaoqiong LI, Donggen PENG, Zhentao ZHANG, Junling YANG, Chuangchuang DING, Jizhou ZHU. Study on Low Temperature Drying Characteristics and Quality of Hybrid Broussonetia papyrifera [J]. Journal of Agricultural Science and Technology, 2024, 26(11): 157-170. |
[14] | Yaping FAN, Baiquan SONG, Changxian WANG. Progress of Research on Alleviating Obstacles of Continuous Cropping by Soil Sterilization and Arbuscular Mycorrhizal Fungi [J]. Journal of Agricultural Science and Technology, 2024, 26(10): 158-167. |
[15] | Zhen CHENG, Jianlong NIU, Yuting MA, weiyang LIU, Xuewei JIANG, Xueqi LIANG, Hongqiang DONG. Dynamic Changes of Cotton Phenological Stages in Alar Reclamation Area of Southern Xinjiang from 1990 to 2020 [J]. Journal of Agricultural Science and Technology, 2024, 26(10): 206-214. |
Viewed | ||||||
Full text |
|
|||||
Abstract |
|
|||||