Journal of Agricultural Science and Technology ›› 2022, Vol. 24 ›› Issue (1): 137-147.DOI: 10.13304/j.nykjdb.2020.0802
• BIO-MANUFACTURING & RESOURCE AND ECOLOGY • Previous Articles Next Articles
Jian WANG(), Ailing XU, Xiaodong WEI, Jilong XI, Na YANG, Ke WANG, Tianyuan XI(
), Jiancheng ZHANG(
)
Received:
2020-09-15
Accepted:
2021-01-15
Online:
2022-01-15
Published:
2022-01-25
Contact:
Tianyuan XI,Jiancheng ZHANG
王健(), 许爱玲, 卫晓东, 席吉龙, 杨娜, 王珂, 席天元(
), 张建诚(
)
通讯作者:
席天元,张建诚
作者简介:
王健 E-mail: wangjianmhs@163.com
基金资助:
CLC Number:
Jian WANG, Ailing XU, Xiaodong WEI, Jilong XI, Na YANG, Ke WANG, Tianyuan XI, Jiancheng ZHANG. Risk Assessment of Spring Freezing Injury of Wheat at Different Sowing Dates in Yuncheng Basin[J]. Journal of Agricultural Science and Technology, 2022, 24(1): 137-147.
王健, 许爱玲, 卫晓东, 席吉龙, 杨娜, 王珂, 席天元, 张建诚. 运城盆地不同播期小麦春季冻害风险评价[J]. 中国农业科技导报, 2022, 24(1): 137-147.
Add to citation manager EndNote|Ris|BibTeX
URL: https://nkdb.magtechjournal.com/EN/10.13304/j.nykjdb.2020.0802
序号 Number | 日期 Date | 低温指标 Low temperature/℃ |
---|---|---|
1 | 拔节前4 d 4 d before jointing | -4.2 |
2 | 拔节后1~5 d 1~5 d after jointing | -3.5 |
3 | 拔节后6~10 d 6~10 d after jointing | -2.5 |
4 | 拔节后11~15 d 11~15 d after jointing | -1 |
5 | 拔节后16~20 d 16~20 d after jointing | 0 |
Table 1 The lowest temperature index of heavy frost damage in wheat
序号 Number | 日期 Date | 低温指标 Low temperature/℃ |
---|---|---|
1 | 拔节前4 d 4 d before jointing | -4.2 |
2 | 拔节后1~5 d 1~5 d after jointing | -3.5 |
3 | 拔节后6~10 d 6~10 d after jointing | -2.5 |
4 | 拔节后11~15 d 11~15 d after jointing | -1 |
5 | 拔节后16~20 d 16~20 d after jointing | 0 |
品种 Cultivar | 播期 Sowing date (m/d) | 冬前≥0℃积温 ≥0℃ accumulated temperature before winter/℃ | 冬前叶龄 Leaf age before winter | 冬前分蘖数Tillering No. before winter | 拔节期 Jointing (m/d) | 拔节期推迟天数 Delay days of jointing compared with October 5/d |
---|---|---|---|---|---|---|
济麦22 Jimai 22 | 10/05 | 616.3 | 7.0±0.85 a | 4.0±0.56 a | 03/21 | — |
10/20 | 390.1 | 5.0±0.61 b | 1.9±0.29 b | 03/26 | 5 | |
11/05 | 186.9 | 2.2±0.30 c | — | 04/01 | 11 | |
11/15 | 107.7 | — | — | 04/05 | 15 | |
11/25 | 62.9 | — | — | 04/06 | 16 | |
周麦18 Zhoumai 18 | 10/05 | 616.3 | 7.0±0.40 a | 4.0±0.36 a | 03/19 | — |
10/20 | 390.1 | 5.0±0.36 b | 2.0±0.30 b | 03/25 | 5 | |
11/05 | 186.9 | 2.2±0.53 c | — | 03/30 | 9 | |
11/15 | 107.7 | — | — | 04/03 | 12 | |
11/25 | 62.9 | — | — | 04/04 | 14 | |
西农529 Xinong 529 | 10/05 | 616.3 | 7.0±0.36 a | 4.0±0.70 a | 03/17 | — |
10/20 | 390.1 | 5.0±0.41 b | 2.0±0.46 b | 03/23 | 6 | |
11/05 | 186.9 | 3.0±0.35 c | — | 03/29 | 13 | |
11/15 | 107.7 | — | — | 04/01 | 17 | |
11/25 | 62.9 | — | — | 04/03 | 18 |
Table 2 Performance of wheat jointing stage under different pre-winter accumulated temperature
品种 Cultivar | 播期 Sowing date (m/d) | 冬前≥0℃积温 ≥0℃ accumulated temperature before winter/℃ | 冬前叶龄 Leaf age before winter | 冬前分蘖数Tillering No. before winter | 拔节期 Jointing (m/d) | 拔节期推迟天数 Delay days of jointing compared with October 5/d |
---|---|---|---|---|---|---|
济麦22 Jimai 22 | 10/05 | 616.3 | 7.0±0.85 a | 4.0±0.56 a | 03/21 | — |
10/20 | 390.1 | 5.0±0.61 b | 1.9±0.29 b | 03/26 | 5 | |
11/05 | 186.9 | 2.2±0.30 c | — | 04/01 | 11 | |
11/15 | 107.7 | — | — | 04/05 | 15 | |
11/25 | 62.9 | — | — | 04/06 | 16 | |
周麦18 Zhoumai 18 | 10/05 | 616.3 | 7.0±0.40 a | 4.0±0.36 a | 03/19 | — |
10/20 | 390.1 | 5.0±0.36 b | 2.0±0.30 b | 03/25 | 5 | |
11/05 | 186.9 | 2.2±0.53 c | — | 03/30 | 9 | |
11/15 | 107.7 | — | — | 04/03 | 12 | |
11/25 | 62.9 | — | — | 04/04 | 14 | |
西农529 Xinong 529 | 10/05 | 616.3 | 7.0±0.36 a | 4.0±0.70 a | 03/17 | — |
10/20 | 390.1 | 5.0±0.41 b | 2.0±0.46 b | 03/23 | 6 | |
11/05 | 186.9 | 3.0±0.35 c | — | 03/29 | 13 | |
11/15 | 107.7 | — | — | 04/01 | 17 | |
11/25 | 62.9 | — | — | 04/03 | 18 |
品种 Cultivar | 播期 Sowing date (m/d) | 拔节期Jointing (m/d) | 3月下旬 Late March(03/21—03/31) | 4月上旬 Early April(04/01—04/10) | |||||
---|---|---|---|---|---|---|---|---|---|
可承受的 低温范围 Low temperature range/℃ | 冻害发生风险 Risk of freezing injury/% | 平均Average/% | 可承受的 低温范围 Low temperature range/℃ | 冻害发生风险 Risk of freezing injury/% | 平均Average/% | ||||
济麦22 Jimai 22 | 10/05 | 03/21 | -3.4~-1.0 | 3.33~23.33 | 13.33±14.14 a | -0.7~1.9 | 10.00~30.00 | 20.00±14.14 a | |
10/20 | 03/26 | -4.3~-2.2 | 0.00~10.00 | 5.00±7.07 a | -2.0~0.4 | 6.67~13.33 | 10.00±4.71 a | ||
11/05 | 04/01 | -5.1~-3.6 | 0.00~3.33 | 1.67±2.36 a | -3.4~-1.2 | 6.67~10.00 | 8.33±2.36 a | ||
11/15 | 04/05 | -5.5~-4.3 | 0.00 | 0.00 | -4.0~-2.2 | 0.00~6.67 | 3.34±4.72 a | ||
11/25 | 04/06 | -5.6~-4.4 | 0.00 | 0.00 | -4.3~-2.4 | 0.00~3.33 | 1.67±2.36 a | ||
周麦18 Zhoumai 18 | 10/05 | 03/19 | -3.0~-0.5 | 3.33~33.33 | 18.33±21.21 a | -0.2~2.6 | 10.00~30.00 | 20.00±14.14 a | |
10/20 | 03/25 | -4.0~-2.0 | 0.00~13.33 | 6.67±9.43 a | -1.7~0.7 | 6.67~13.33 | 10.00±4.71 a | ||
11/05 | 03/30 | -4.8~-3.2 | 0.00~3.33 | 1.67±2.36 a | -3.0~-0.7 | 0.00~10.00 | 5.00±7.07 a | ||
11/15 | 04/03 | -5.3~-3.9 | 0.00 | 0.00 | -3.8~-1.7 | 0.00~6.67 | 3.34±4.72 a | ||
11/25 | 04/04 | -5.4~-4.1 | 0.00 | 0.00 | -3.9~-2.0 | 0.00~6.67 | 3.34±4.72 a | ||
西农529 Xinong 529 | 10/05 | 03/17 | -2.4~0.1 | 13.33~36.67 | 25±16.5 a | 0.4~3.2 | 13.33~30.00 | 21.67±11.79 a | |
10/20 | 03/23 | -3.8~-1.5 | 0.00~13.33 | 6.67±9.43 a | -1.2~1.3 | 10.00~20.00 | 15.00±7.07 a | ||
11/05 | 03/29 | -4.7~-3.0 | 0.00~3.33 | 1.67±2.36 a | -2.6~-0.5 | 3.33~10.00 | 6.67±4.72 a | ||
11/15 | 04/01 | -5.1~-3.6 | 0.00~3.33 | 1.67±2.36 a | -3.4~-1.2 | 0.00~10.00 | 5.00±7.07 a | ||
11/25 | 04/03 | -5.3~-3.9 | 0.00 | 0.00 | -3.8~-1.7 | 0.00~6.67 | 3.34±4.72 a |
Table 3 Spring frost damage probability of wheat with different cultivars and sowing dates
品种 Cultivar | 播期 Sowing date (m/d) | 拔节期Jointing (m/d) | 3月下旬 Late March(03/21—03/31) | 4月上旬 Early April(04/01—04/10) | |||||
---|---|---|---|---|---|---|---|---|---|
可承受的 低温范围 Low temperature range/℃ | 冻害发生风险 Risk of freezing injury/% | 平均Average/% | 可承受的 低温范围 Low temperature range/℃ | 冻害发生风险 Risk of freezing injury/% | 平均Average/% | ||||
济麦22 Jimai 22 | 10/05 | 03/21 | -3.4~-1.0 | 3.33~23.33 | 13.33±14.14 a | -0.7~1.9 | 10.00~30.00 | 20.00±14.14 a | |
10/20 | 03/26 | -4.3~-2.2 | 0.00~10.00 | 5.00±7.07 a | -2.0~0.4 | 6.67~13.33 | 10.00±4.71 a | ||
11/05 | 04/01 | -5.1~-3.6 | 0.00~3.33 | 1.67±2.36 a | -3.4~-1.2 | 6.67~10.00 | 8.33±2.36 a | ||
11/15 | 04/05 | -5.5~-4.3 | 0.00 | 0.00 | -4.0~-2.2 | 0.00~6.67 | 3.34±4.72 a | ||
11/25 | 04/06 | -5.6~-4.4 | 0.00 | 0.00 | -4.3~-2.4 | 0.00~3.33 | 1.67±2.36 a | ||
周麦18 Zhoumai 18 | 10/05 | 03/19 | -3.0~-0.5 | 3.33~33.33 | 18.33±21.21 a | -0.2~2.6 | 10.00~30.00 | 20.00±14.14 a | |
10/20 | 03/25 | -4.0~-2.0 | 0.00~13.33 | 6.67±9.43 a | -1.7~0.7 | 6.67~13.33 | 10.00±4.71 a | ||
11/05 | 03/30 | -4.8~-3.2 | 0.00~3.33 | 1.67±2.36 a | -3.0~-0.7 | 0.00~10.00 | 5.00±7.07 a | ||
11/15 | 04/03 | -5.3~-3.9 | 0.00 | 0.00 | -3.8~-1.7 | 0.00~6.67 | 3.34±4.72 a | ||
11/25 | 04/04 | -5.4~-4.1 | 0.00 | 0.00 | -3.9~-2.0 | 0.00~6.67 | 3.34±4.72 a | ||
西农529 Xinong 529 | 10/05 | 03/17 | -2.4~0.1 | 13.33~36.67 | 25±16.5 a | 0.4~3.2 | 13.33~30.00 | 21.67±11.79 a | |
10/20 | 03/23 | -3.8~-1.5 | 0.00~13.33 | 6.67±9.43 a | -1.2~1.3 | 10.00~20.00 | 15.00±7.07 a | ||
11/05 | 03/29 | -4.7~-3.0 | 0.00~3.33 | 1.67±2.36 a | -2.6~-0.5 | 3.33~10.00 | 6.67±4.72 a | ||
11/15 | 04/01 | -5.1~-3.6 | 0.00~3.33 | 1.67±2.36 a | -3.4~-1.2 | 0.00~10.00 | 5.00±7.07 a | ||
11/25 | 04/03 | -5.3~-3.9 | 0.00 | 0.00 | -3.8~-1.7 | 0.00~6.67 | 3.34±4.72 a |
Fig.2 Frost damage rate of wheat from 2017 to 2018Note:Different lowercase letters indicate significant differences between different treatments of same variety at P<0.05 level.
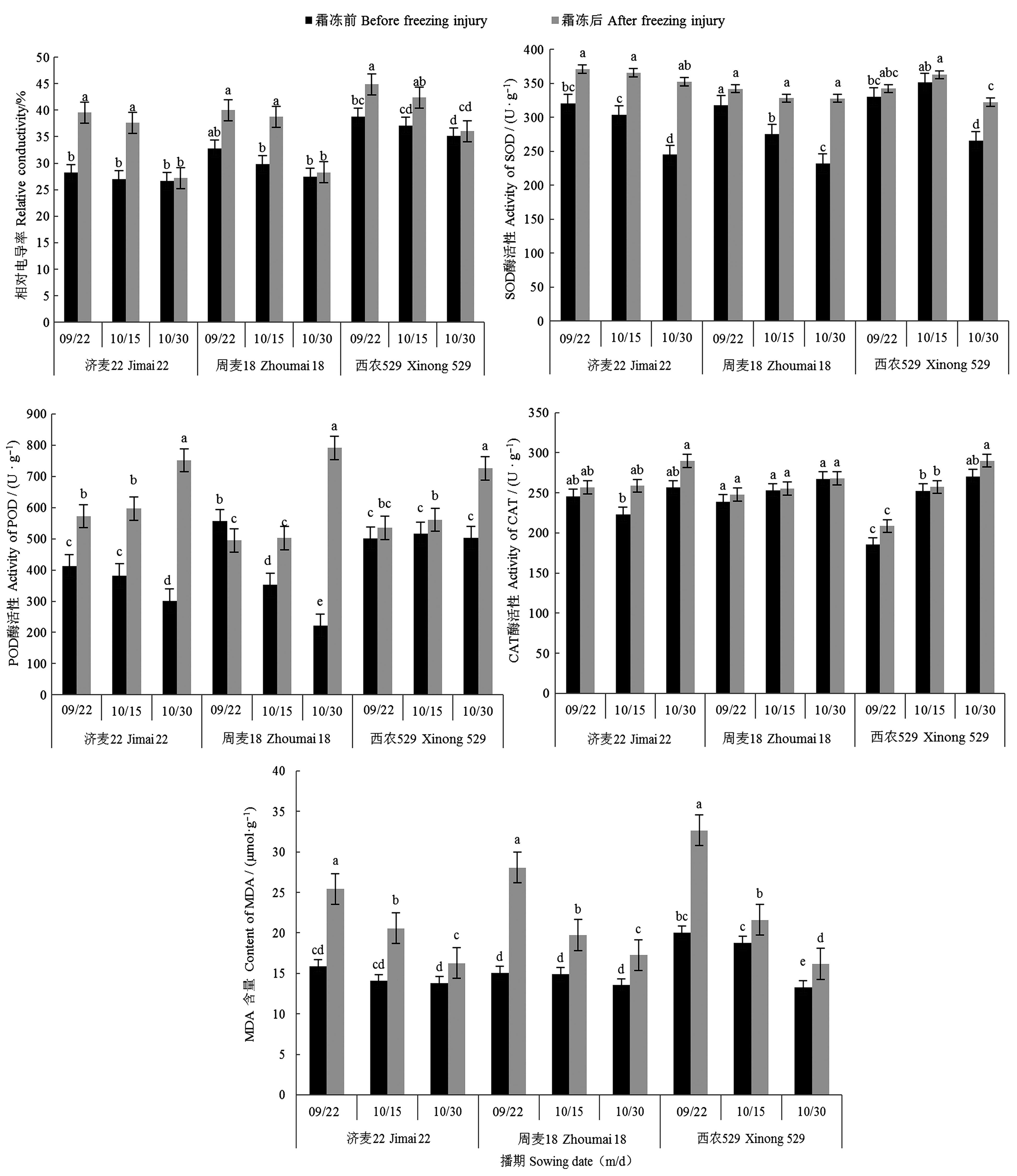
Fig.4 Relative conductivity, antioxidant enzyme activity and MDA content of wheat before and after freezing injury from 2017 to 2018Note:Different lowercase letters indicate significant differences between different treatments at P<0.05 level.
品种 Cultivar | 产量性状 Yield characters | 播期(冬前积温) Sowing date(m/d)(Accumulated temperature before winter/℃) | ||
---|---|---|---|---|
09/22(833.4) | 10/15(464.7) | 10/30(252.0) | ||
济麦 22 jimai 22 | 产量 Yield/(kg·hm-2) | 7 795.65±811.34 c | 9 032.25±410.95 b | 10 162.05±423.93 a |
穗数 Spike No./(104·hm-2) | 656.70±44.43 b | 701.85±91.43 a | 713.70±94.32 a | |
穗粒数 Grains No. per spike | 25.69±2.89 c | 29.08±3.68 b | 32.00±3.37 a | |
千粒重 Thousand grains weight/g | 46.34±1.72 a | 44.90±1.49 c | 45.07±1.17 b | |
周麦18 zhoumai 18 | 产量 Yield/(kg·hm-2) | 7 255.05±450.89 c | 8 669.7±431.29 b | 9 982.8±493.25 a |
穗数 Spike No./(104·hm-2) | 481.80±34.88 c | 666.60±74.32 a | 606.15±84.77 b | |
穗粒数 Grains No. per spike | 29.72±1.52 b | 26.97±3.56 c | 35.07±4.40 a | |
千粒重 Thousand grains weight/g | 50.79±1.13 a | 48.83±1.46 b | 47.70±1.01 c | |
西农529 Xinong 529 | 产量 Yield/(kg·hm-2) | 3 899.10±530.18 c | 7 775.25±480.09 b | 8 481.30±406.89 a |
穗数 Spike No./(104·hm-2) | 378.45±45.16 c | 646.80±59.29 a | 591.90±79.09 b | |
穗粒数 Grains No. per spike | 22.95±3.26 c | 27.54±2.25 b | 33.39±3.28 a | |
千粒重 Thousand grains weight/g | 45.21±1.18 a | 43.93±1.97 ab | 43.48±2.28 b |
Table 4 Yields and yield components of wheat at different sowing date from 2017 to 2018
品种 Cultivar | 产量性状 Yield characters | 播期(冬前积温) Sowing date(m/d)(Accumulated temperature before winter/℃) | ||
---|---|---|---|---|
09/22(833.4) | 10/15(464.7) | 10/30(252.0) | ||
济麦 22 jimai 22 | 产量 Yield/(kg·hm-2) | 7 795.65±811.34 c | 9 032.25±410.95 b | 10 162.05±423.93 a |
穗数 Spike No./(104·hm-2) | 656.70±44.43 b | 701.85±91.43 a | 713.70±94.32 a | |
穗粒数 Grains No. per spike | 25.69±2.89 c | 29.08±3.68 b | 32.00±3.37 a | |
千粒重 Thousand grains weight/g | 46.34±1.72 a | 44.90±1.49 c | 45.07±1.17 b | |
周麦18 zhoumai 18 | 产量 Yield/(kg·hm-2) | 7 255.05±450.89 c | 8 669.7±431.29 b | 9 982.8±493.25 a |
穗数 Spike No./(104·hm-2) | 481.80±34.88 c | 666.60±74.32 a | 606.15±84.77 b | |
穗粒数 Grains No. per spike | 29.72±1.52 b | 26.97±3.56 c | 35.07±4.40 a | |
千粒重 Thousand grains weight/g | 50.79±1.13 a | 48.83±1.46 b | 47.70±1.01 c | |
西农529 Xinong 529 | 产量 Yield/(kg·hm-2) | 3 899.10±530.18 c | 7 775.25±480.09 b | 8 481.30±406.89 a |
穗数 Spike No./(104·hm-2) | 378.45±45.16 c | 646.80±59.29 a | 591.90±79.09 b | |
穗粒数 Grains No. per spike | 22.95±3.26 c | 27.54±2.25 b | 33.39±3.28 a | |
千粒重 Thousand grains weight/g | 45.21±1.18 a | 43.93±1.97 ab | 43.48±2.28 b |
品种 Cultivar | 播期(冬前积温)Sowing date(m/d)(Accumulated temperature before winter/℃) | |||||
---|---|---|---|---|---|---|
产量性状 Yield characters | 10/05(616.3) | 10/20(390) | 11/05(186.9) | 11/15(107.7) | 11/25(62.9) | |
济麦22 Jimai 22 | 产量 Yield/(kg·hm-2) | 11 423.10±179.73 a | 11 359.90±298.29 a | 10 979.10±209.68 a | 10 227.00±197.57 b | 9 489.30±346.87 c |
p i k e N o . /(104·hm-2) 穗数 S | 804.75±26.17 bc | 799.95±18.12 bc | 918.75±17.74 a | 836.10±17.85 b | 774.30±6.09 c | |
穗粒数 Grains No. per spike | 34.01±0.80 a | 34.08±1.00 a | 29.87±0.34 b | 30.19±1.22 b | 30.03±0.87 b | |
千粒重 Thousand grains weight/g | 41.77±0.51 a | 41.72±0.48 a | 40.01±0.41 b | 40.52±0.42 b | 39.89±0.28 b | |
周麦18 Zhoumai 18 | 产量 Yield/(kg·hm-2) | 12 685.60±259.23 a | 12 121.05±218.38 ab | 11 644.50±418.48 b | 11 465.40±359.15 b | 10 230.10±236.72 c |
p i k e N o . /(104·hm-2) 穗数 S | 690.60±19.75 b | 773.85±16.97 a | 824.40±11.23 a | 799.65±24.33 a | 716.55±20.49 b | |
穗粒数 Grains No. per spike | 39.88±1.46 a | 33.75±0.66 b | 30.58±0.78 c | 30.74±0.78 c | 30.97±0.84 c | |
千粒重 Thousand grains weight/g | 46.09±1.32 a | 46.41±1.13 a | 46.09±0.75 a | 46.64±1.62 a | 46.08±1.37 a | |
西529 Xinong 529 | 产量 Yield/(kg·hm-2) | 9 828.40±253.42 b | 10 878.90±193.74 a | 10 839.00±85.49 a | 10 528.90±269.44 a | 9 276.40±301.94 c |
穗数 Spike No. /(104·hm-2) | 677.85±4.03 c | 758.1±14.91 b | 810.45±13.15 a | 785.70±6.74 ab | 774.30±35.89 ab | |
穗粒数 Grains No. per spike | 34.63±1.34 b | 37.33±0.83 a | 34.06±0.35 bc | 32.84±0.24 c | 30.03±0.85 d | |
千粒重 Thousand grains weight/g | 41.87±0.26 a | 38.44±0.46 d | 39.27±0.48 c | 40.80±0.59 b | 39.89±0.47 c |
Table 5 Yield and yield component of wheat at different sowing date from 2018 to 2019
品种 Cultivar | 播期(冬前积温)Sowing date(m/d)(Accumulated temperature before winter/℃) | |||||
---|---|---|---|---|---|---|
产量性状 Yield characters | 10/05(616.3) | 10/20(390) | 11/05(186.9) | 11/15(107.7) | 11/25(62.9) | |
济麦22 Jimai 22 | 产量 Yield/(kg·hm-2) | 11 423.10±179.73 a | 11 359.90±298.29 a | 10 979.10±209.68 a | 10 227.00±197.57 b | 9 489.30±346.87 c |
p i k e N o . /(104·hm-2) 穗数 S | 804.75±26.17 bc | 799.95±18.12 bc | 918.75±17.74 a | 836.10±17.85 b | 774.30±6.09 c | |
穗粒数 Grains No. per spike | 34.01±0.80 a | 34.08±1.00 a | 29.87±0.34 b | 30.19±1.22 b | 30.03±0.87 b | |
千粒重 Thousand grains weight/g | 41.77±0.51 a | 41.72±0.48 a | 40.01±0.41 b | 40.52±0.42 b | 39.89±0.28 b | |
周麦18 Zhoumai 18 | 产量 Yield/(kg·hm-2) | 12 685.60±259.23 a | 12 121.05±218.38 ab | 11 644.50±418.48 b | 11 465.40±359.15 b | 10 230.10±236.72 c |
p i k e N o . /(104·hm-2) 穗数 S | 690.60±19.75 b | 773.85±16.97 a | 824.40±11.23 a | 799.65±24.33 a | 716.55±20.49 b | |
穗粒数 Grains No. per spike | 39.88±1.46 a | 33.75±0.66 b | 30.58±0.78 c | 30.74±0.78 c | 30.97±0.84 c | |
千粒重 Thousand grains weight/g | 46.09±1.32 a | 46.41±1.13 a | 46.09±0.75 a | 46.64±1.62 a | 46.08±1.37 a | |
西529 Xinong 529 | 产量 Yield/(kg·hm-2) | 9 828.40±253.42 b | 10 878.90±193.74 a | 10 839.00±85.49 a | 10 528.90±269.44 a | 9 276.40±301.94 c |
穗数 Spike No. /(104·hm-2) | 677.85±4.03 c | 758.1±14.91 b | 810.45±13.15 a | 785.70±6.74 ab | 774.30±35.89 ab | |
穗粒数 Grains No. per spike | 34.63±1.34 b | 37.33±0.83 a | 34.06±0.35 bc | 32.84±0.24 c | 30.03±0.85 d | |
千粒重 Thousand grains weight/g | 41.87±0.26 a | 38.44±0.46 d | 39.27±0.48 c | 40.80±0.59 b | 39.89±0.47 c |
1 | 潘根兴,高民,胡国华,等. 气候变化对中国农业生产的影响[J]. 农业环境科学学报,2011,30(9):1698-1706. |
PAN G X, GAO M, HU G H, et al.. Impacts of climate change on agricultural production of China [J]. J. Agro-Environ. Sci., 2011, 30(9):1698-1706. | |
2 | 中国气象局气候变化中心. 中国气候变化蓝皮书(2019)[R].北京:中国气象局,2019. |
China Meteorological Administration Climate Change Center. China blue book on chimate change (2019) [R]. Beijing: China Meteorological, 2019. | |
3 | 冯玉香,何维勋,孙忠富,等. 我国冬小麦霜冻害的气候分析[J]. 作物学报,1999,25(3):335-340. |
FENGY X, HE W X, SUN Z F, et al.. CIimatologieal study on frost damage of winter wheat in China [J]. Acta Agron. Sin., 1999, 25(3):335-340. | |
4 | 马倩倩,贺勇,张梦婷,等. 中国北部冬麦区小麦生育期对生育阶段积温变化的响应[J]. 中国农业气象,2018,39(4):234-244. |
MA Q Q, HE Y, ZHANG M T, et al.. Responses of winter wheat phenology to accumulated temperature during growing periods in northern China wheat belt [J]. Chin. J. Agrometeorol., 2018, 39(4):234-244. | |
5 | 孟自力,陈昆,闫向泉,等. 气象因子变化及其对小麦生产的影响[J]. 安徽农业科学,2018,46(7):27-29. |
MENG Z L, CHEN K, YAN X Q, et al.. Research status of change of meteorological factors and its influence on wheat production [J]. Anhui Agric. Sci., 2018, 46(7):27-29. | |
6 | 李晴,甄文超. 河北省冬小麦越冬冻害风险分析[J]. 安徽农业科学,2017,45(28):175-178. |
LI Q, ZHEN W C. Analysis on the risk of freezing injury to winter wheat in Hebei Province [J]. J. Anhui Agric. Sci., 2017, 45(28):175-178. | |
7 | 朱伟,李玉兰,刘茵,等. 黄淮中部麦区冻害发生特点·形成原因及其防御措施[J]. 安徽农业科学,2005,33(5):768-769. |
ZHU W, LI Y L, LIU Y, et al.. Characteristics, causes and preventive measures of frost damage in Middle Huanghuai Wheat Region [J]. J. Anhui Agri. Sci.,2005,33(5):768-769. | |
8 | 李茂松,王道龙,钟秀丽,等. 冬小麦霜冻害研究现状与展望[J]. 自然灾害学报,2005,14(4):72-78. |
LI M S, WANG D L, ZHONG X L, et al.. Current situation and prospect of research on frost of winter wheat [J]. J. Nat. Disasters, 2005, 14(4):72-78. | |
9 | FULLER M P, FULLER A M, KANIOURAS S, et al.. The freezing characteristics of wheat at ear emergence [J]. European J. Agron., 2007, 26(4):435-441. |
10 | 白洪立,孟淑华,王立功,等. 积温变迁对冬小麦夏玉米一年两熟播期的影响[J]. 作物杂志,2009,1(3):55-58. |
BAI H L, MENG S H, WANG L G, et al.. Effect of accumulated temperature change on sowing date of winter wheat and summer maize [J]. Crops, 2009, 1(3):55-58. | |
11 | 吕丽华,梁双波,张丽华,等. 不同小麦品种产量对冬前积温变化的响应[J]. 作物学报,2016,42(1):149-156. |
LYU L H, LIANG S B, ZHANG L H, et al.. Yield in response to accumulated temperature before winter in winter wheat [J]. Acta Agron. Sin., 2016, 42(1):149-156. | |
12 | 皇甫自起,常守乾,李秀花,等. 小麦晚霜冻害的特点及预防补救技术[J]. 河南农业科学,1996,1(9):6-9,21. |
HUANGPU Z Q, CHANG S Q, LI X H, et al.. Characteristics of late frost damage of wheat and its preventive and remedial techniques [J]. J. Henan Agric. Sci., 1996, 1(9):6-9,21. | |
13 | 任德超,胡新,黄绍华,等. 晚霜冻害对不同类型小麦产量性状的影响[J]. 河南农业科学, 2011, 40(5): 55-58. |
REN D C, HU X, HUANG S H, et al.. Influence of spring frost on different ear types of wheat yield component [J]. J. Henan Agric. Sci., 2011, 40(5):55-58. | |
14 | 钟秀丽,王道龙,吉田久,等. 冬小麦品种抗霜冻力的影响因素分析[J]. 作物学报,2007,33(11):1810-1814. |
ZHONG X L, WANG D L, YOSHIDA H, et al.. Analysis on the factors affecting frost resistance for winter wheat [J]. Acta Agron. Sin., 2007, 33(11):1810-1814. | |
15 | 闫世忠,王建廷,冉献忠,等. 黄淮麦区晚霜冻发生频率及防御措施[J]. 河南气象,2002,1(4):40-42. |
YAN S Z, WANG J T, RAN X Z, et al.. Frequency and defense measures of late frost in Huanghuai Wheat Region [J]. Henan Meteorol., 2002, 1(4):40-42. | |
16 | 冯玉香,何维勋,饶敏杰,等. 冬小麦拔节后霜冻害与叶温的关系[J]. 作物学报,2000,26(6):707-712. |
FENG Y X, HE W X, RAO M J, et al.. Relationship between frost damage and leaf temperature with winter wheat after jointing stage [J]. Acta Agron. Sin., 2000, 26(6):707-712. | |
17 | 赵鹏,钟秀丽,王道龙,等. 冬小麦抗霜性与抗冻性的关系[J]. 自然灾害学报,2006,15(6):281-285. |
ZHAO P, ZHONG X L, WANG D L, et al.. Relationship between frost resistance and freezing resistance of winter wheat [J]. J. Nat. Disasters, 2006, 15(6):281-285. | |
18 | 杨洪宾,徐成忠,李春光,等. 播期对冬小麦生长及所需积温的影响[J]. 中国农业气象,2009,30(2):201-203. |
YANG H B, XU C Z, LI C G, et al.. Growth and required accumulated temperature of winter wheat under different sowing time [J]. Chin. J. Agrometeorol. , 2009, 30(2):201-203. | |
19 | 刘新月,裴磊,卫云宗,等. 气温变化背景下中国黄淮旱地冬小麦农艺性状的变化特征——以山西临汾为例[J]. 中国农业科学,2015,48(10):1942-1954. |
LIU X Y, PEI L, WEI Y Z, et al.. Agronomic traits variation analysis of Huanghuai dryland winter wheat under temperature change background in China—taking Linfen, Shanxi as an example[J]. Sci. Agric. Sin., 2015, 48(10):1942-1954. | |
20 | 李合生. 植物生理生化试验原理与技术[M]. 北京:高等教育出版社,2000:167-169. |
LI H S. The Experiment principle and technology of plant physiology [M]. Beijing: Higher Education Press, 2000:167-169. | |
21 | 中国科学院上海植物生理研究所,上海市植物生理学会. 现代植物生理学实验指南[M]. 北京:科学出版社,1999:303. |
Shanghai Institute of Plant Physiology, Shanghai Plant Physiological Society. Modern plant physiology experiment guide [M]. Beijing: Higher Education Press, 1999:303. | |
22 | 李明,王根轩. 干旱胁迫对甘草幼苗保护酶活性及脂质过氧化作用的影响[J]. 生态学报,2002,22(4):503-507. |
LI M, WANG G X, et al.. Effect of drought stress on activities of cell defense enzymes and lipid peroxidation in glycyrrhiza uralensis seedlings [J]. Acta Ecol. Sin., 2002, 22(4):503-507. | |
23 | 张燕,方力,姚照兵,等. PEG对烟草幼苗耐低温胁迫能力的生理效应[J]. 西北农业学报,2003,12(1):63-67. |
ZHANG Y, FANG L, YAO Z B, et al.. Physiological effects of PEG on chilling resistance of tobacco seedlings [J]. Acta Agric. Bor-occid. Sin., 2003, 12(1):63-67. | |
24 | 郝晶,张立军,谢甫绨. 低温对大豆不同耐冷性中萌发期保护酶活性的影响[J]. 大豆科学,2007,26(2):171-175. |
HAO J, ZHANG L J, XIE F T. Effects of The low temperature on defense enzyme activities of different chilling-tolerant soybean cultivars during the germination [J]. Soybean Sci., 2007, 26(2):171-175. | |
25 | 李小安,周青平. 低温胁迫对扁蓿豆的脯氨酸含量和POD、SOD酶活性的影响[J]. 青海大学学报(自然科学版), 2009, 29(1):60-63. |
LI X A, ZHOU Q P. The effect of chilling stress on SOD, POD activity and proline content of Melilotusruthenicus [J]. J. Qinghai Univ. (Nat. Sci.), 2009, 29(1):60-63. | |
26 | 刘大同,邢潇悦,李东升,等. 小麦穗分化不同阶段对低温胁迫的生理响应[J]. 江苏农业科学,2017,33(6):1212-1219. |
LIU D T, XING X Y, LI D S, et al.. The physiological response to low temperature of wheat during young spike development [J]. Jiangsu Agric. Sci.,2017,33(6):1212-1219. | |
27 | 杨健,张保军,毛建昌,等. 播期与密度对冬小麦西农9871籽粒产量的影响[J]. 麦类作物学报,2011,31(3):529-534. |
YANG J, ZHANG B J, MAO J C, et al.. Effects of sowing date and planting density on grain yield in winter wheat Xinong9871 [J]. J. Triticeae Crops, 2011, 31(3):529-534. | |
28 | 阴卫军,刘霞,倪大鹏,等. 播期对优质小麦籽粒灌浆特性及产量构成的影响[J]. 山东农业科学,2005,1(5):22-24,28. |
YIN W J, LIU X, NI D P, et al.. Effect of sowing time on grain filling characteristics and grain yield components of high quality wheat cultivars [J]. Shandong Agric. Sci., 2005, 1(5):22-24,28. | |
29 | 李素真,周爱恋,王霖,等. 不同播期播量对不同类型超级小麦产量构成因子的影响[J]. 山东农业科学,2005,1(5):12-15. |
LI S Z, ZHOU A L, WANG L, et al.. Effect of different sowing time and seed dosage on yield of different genotypes of super wheats [J]. Shandong Agric. Sci., 2005, 1(5):12-15. |
[1] | Zhenfei ZHANG, An YAN, Jing GUO, Yuhang ZHAO, Yilin YUAN, Peng LIU, Zuohao QU, Chuan YUAN. Research on Apple Yield Estimation Model Based on Unmanned Aerial Vehicle Remote Sensing [J]. Journal of Agricultural Science and Technology, 2025, 27(9): 110-119. |
[2] | Jianfeng ZHANG, Wenfeng HOU, Yongqing WU, Kaixu LI, Xiaokun LI. Effects of Nitrogen Fertilizer and Density Interactions on Occurrence of Diseases and Insect Pests and Grain Yield of Rice [J]. Journal of Agricultural Science and Technology, 2025, 27(9): 145-154. |
[3] | Caixia LYU, Yongfu LI, Huinan XIN, Na LI, Ning LAI, Qinglong GENG, Shuhuang CHEN. Effects of Slow Release Nitrogen Fertilizer on Yield of Winter Wheat and Soil Nitrate/Ammonium Nitrogen Under Drip Irrigation [J]. Journal of Agricultural Science and Technology, 2025, 27(8): 179-186. |
[4] | Xueqing LIU, Jing WANG, Yi YANG, Huiqin WU, Yanhong WANG, Luyao WANG, Jiawei LU, Kaixuan ZHANG, Yuan ZHAI, Yan CHENG. Effect of Exogenous Ethephon on Defoliation and Yield of Pigmented Pepper [J]. Journal of Agricultural Science and Technology, 2025, 27(8): 36-46. |
[5] | Qi ZHOU, Qiang LIU, Jing ZHANG, Chaochao DENG, Zhenlong WANG, Yang LIU, Fang WU, Hao CHANG, Yanfang ZHOU, Cuicui SU, Zhiguo SHI, Zhengrui GAO, Fengjie MA. Effects of Organic Fertilizer Replacing Chemical Fertilizer on Yield and Soil Biological Characteristics of Pumpkin [J]. Journal of Agricultural Science and Technology, 2025, 27(7): 190-203. |
[6] | Shichao CHEN, Ju WANG, Fuqiang GUO, Rui HAO, Jianping SHI. Effects of Different Water and Nitrogen Coupling on Physiological Indexes and Yield of Protein Mulberry [J]. Journal of Agricultural Science and Technology, 2025, 27(6): 240-249. |
[7] | Lijun DUAN, Xianhua DING, Weiqin LI, Shuangdui YAN. Investigation of Co-pyrolysis Behavior and Pyrolysis Product Analysis of Oak Bark and Corn Stalks [J]. Journal of Agricultural Science and Technology, 2025, 27(5): 164-172. |
[8] | Guiqian ZHANG, Li ZHANG, Qian WANG, Caiyun LIU. Effect of Astragalus Polysaccharides on Colony Development and Honey Production in Honeybees [J]. Journal of Agricultural Science and Technology, 2025, 27(5): 72-80. |
[9] | Yan WU, Leping ZOU, Huijie SONG, Dandan HU, Kailou LIU, Wanli LIANG. Effect of Controlled-release Nitrogen Fertilizer Combined Urea on Ammonium Nitrogen of Surface Water and Early Rice Yield [J]. Journal of Agricultural Science and Technology, 2025, 27(4): 192-200. |
[10] | Darong LI, Xiaoling LI, Wuxian ZHOU, Meide ZHANG, Xiaogang JIANG, Jinwen YOU, Hua WANG. Effects of Partial Substitution of Chemical Fertilizer with Organic Fertilizer on Growth and Soil Properties of Fritillaria hupehensis [J]. Journal of Agricultural Science and Technology, 2025, 27(3): 216-226. |
[11] | Junya DUAN, Yuanyuan ZHAO, Tingting WANG, Jianyu WEI, Zheng WANG, Dexun WANG, Juan LI, Hongzhi SHI. Effects of Nitrogen Reduction Combined with Polyaspartic Acid on Nitrogen Utilization, Yield and Quality of Flue-cured Tobacco [J]. Journal of Agricultural Science and Technology, 2025, 27(3): 227-238. |
[12] | Qiang WU, Conglian WU, Xiaoyun WU, Jian WU, Xuanmei XU, Junsheng LAI, Weiyun HU, Bangchu GONG, Xibing JIANG. Effect of Different Fertilization Treatments on Yield and Fruit Quality of Castanea henryi [J]. Journal of Agricultural Science and Technology, 2025, 27(2): 228-237. |
[13] | Tingting LIU, Xiyu HAO, Hui WANG, Jingwen LENG, Shihang GONG, Wei LIU. Correlation Analysis Between Yield and Agronomical Traits of Different Foxtail Millet Varieties in Semi-arid Area of Western Jilin Province [J]. Journal of Agricultural Science and Technology, 2025, 27(1): 50-60. |
[14] | Wenxuan SHI, Jinfang TAN, Qian ZHANG, Lantao LI, Yilun WANG. Effect of One-off Fertilization on Yield and Nitrogen Fertilizer Efficiency of Summer Maize in Different Ecological Regions [J]. Journal of Agricultural Science and Technology, 2024, 26(9): 193-202. |
[15] | Mei WU, Jinzhu ZHANG, Zhenhua WANG, Jian LIU, Yue WEN, Xuanzhi LI. Effects of Water and Air Interaction on Physiological Growth and Yield of Maize Under Mulched Drip Irrigation [J]. Journal of Agricultural Science and Technology, 2024, 26(8): 189-200. |
Viewed | ||||||
Full text |
|
|||||
Abstract |
|
|||||