Journal of Agricultural Science and Technology ›› 2025, Vol. 27 ›› Issue (6): 240-249.DOI: 10.13304/j.nykjdb.2024.0096
• BIO-MANUFACTURING & RESOURCE AND ECOLOGY • Previous Articles
Shichao CHEN1(), Ju WANG1, Fuqiang GUO1(
), Rui HAO2, Jianping SHI3
Received:
2024-02-03
Accepted:
2024-04-17
Online:
2025-06-15
Published:
2025-06-23
Contact:
Fuqiang GUO
陈士超1(), 王举1, 郭富强1(
), 郝瑞2, 石建平3
通讯作者:
郭富强
作者简介:
陈士超 E-mail: chenshichao2005@126.com;
基金资助:
CLC Number:
Shichao CHEN, Ju WANG, Fuqiang GUO, Rui HAO, Jianping SHI. Effects of Different Water and Nitrogen Coupling on Physiological Indexes and Yield of Protein Mulberry[J]. Journal of Agricultural Science and Technology, 2025, 27(6): 240-249.
陈士超, 王举, 郭富强, 郝瑞, 石建平. 不同水氮耦合对蛋白桑生理指标及产量的影响[J]. 中国农业科技导报, 2025, 27(6): 240-249.
Add to citation manager EndNote|Ris|BibTeX
URL: https://nkdb.magtechjournal.com/EN/10.13304/j.nykjdb.2024.0096
土层深度 Soil layer/cm | 碱解氮 Alkaline hydrolysis nitrogen/ (mg·kg-1) | 速效钾 Available potassium/ (mg·kg-1) | 速效磷 Available phosphorus/ (mg·kg-1) | 有机碳 Organic carbon/% | 容重 Volume weight/ (g·cm-3) | pH | 含水率 Water content/% |
---|---|---|---|---|---|---|---|
0—20 | 0.011 | 0.21 | 1.9 | 0.25 | 1.46 | 7.98 | 8.6 |
20—40 | 0.014 | 0.13 | 0.4 | 0.18 | 1.69 | 8.01 | 13.6 |
40—60 | 0.018 | 0.19 | 0.5 | 0.13 | 1.86 | 8.04 | 7.2 |
Table 1 Physical and chemical properties of soil in study area
土层深度 Soil layer/cm | 碱解氮 Alkaline hydrolysis nitrogen/ (mg·kg-1) | 速效钾 Available potassium/ (mg·kg-1) | 速效磷 Available phosphorus/ (mg·kg-1) | 有机碳 Organic carbon/% | 容重 Volume weight/ (g·cm-3) | pH | 含水率 Water content/% |
---|---|---|---|---|---|---|---|
0—20 | 0.011 | 0.21 | 1.9 | 0.25 | 1.46 | 7.98 | 8.6 |
20—40 | 0.014 | 0.13 | 0.4 | 0.18 | 1.69 | 8.01 | 13.6 |
40—60 | 0.018 | 0.19 | 0.5 | 0.13 | 1.86 | 8.04 | 7.2 |
因子Factor | 土层深度Soil layer/cm | |||||
---|---|---|---|---|---|---|
0—10 | 10—20 | 20—30 | 30—40 | 40—50 | 50—60 | |
N | 0.800ns | 46.312* | 21.250* | 10.684* | 31.419* | 0.356ns |
W | 0.928ns | 37.661* | 15.785* | 13.512* | 30.081* | 0.558ns |
N×W | 0.086ns | 1.642ns | 55.591** | 55.263** | 2.129ns | 0.021ns |
Table 2 Variance analysis of nitrogen application and irrigation on soil moisture content
因子Factor | 土层深度Soil layer/cm | |||||
---|---|---|---|---|---|---|
0—10 | 10—20 | 20—30 | 30—40 | 40—50 | 50—60 | |
N | 0.800ns | 46.312* | 21.250* | 10.684* | 31.419* | 0.356ns |
W | 0.928ns | 37.661* | 15.785* | 13.512* | 30.081* | 0.558ns |
N×W | 0.086ns | 1.642ns | 55.591** | 55.263** | 2.129ns | 0.021ns |
Fig. 2 Soil moisture content of each soil layer under different treatmentsNote:Different lowercase letters indicate significant differences between different treatments at P<0.05 level.
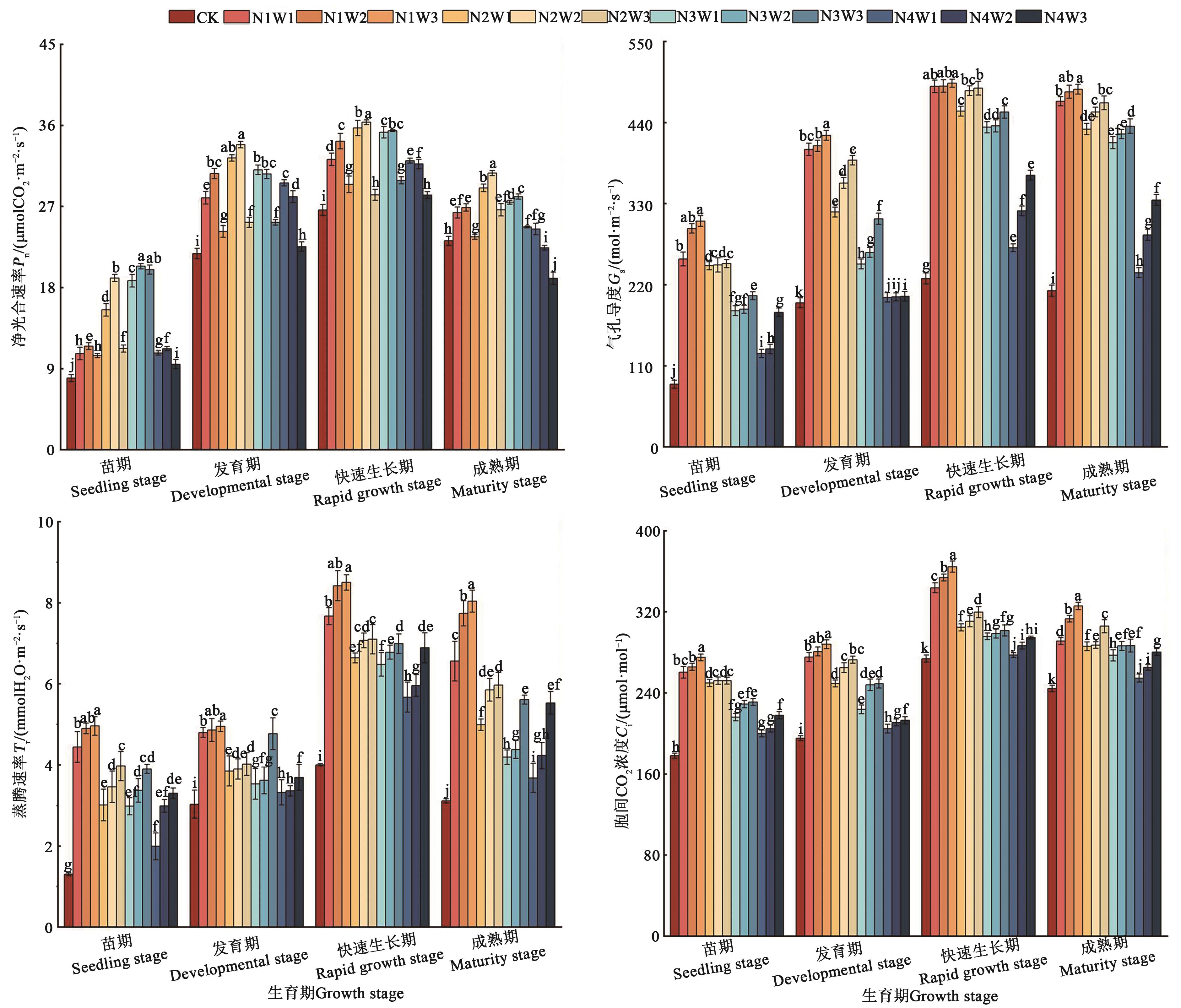
Fig. 3 Photosynthetic index of protein mulberry under different treatmentsNote:Different lowercase letters indicate significant differences between different treatments of same stage at P<0.05 level.
因子Factor | 指标Index | ||||
---|---|---|---|---|---|
株高 Plant height | 基径 Basal diameter | 地上部生物量 Aboveground biomass | 蛋白质含量 Protein content | ||
N | 185.695* | 1.504ns | 488.966** | 561.440** | |
W | 1.436* | 4.217* | 332.951** | 360.909** | |
N×W | 2.103* | 0.177ns | 57.041** | 47.049** |
Table 3 F value test of each index of protein mulberry under different water and nitrogen combinations
因子Factor | 指标Index | ||||
---|---|---|---|---|---|
株高 Plant height | 基径 Basal diameter | 地上部生物量 Aboveground biomass | 蛋白质含量 Protein content | ||
N | 185.695* | 1.504ns | 488.966** | 561.440** | |
W | 1.436* | 4.217* | 332.951** | 360.909** | |
N×W | 2.103* | 0.177ns | 57.041** | 47.049** |
Fig. 4 Plant height, basal diameter, biomass and protein content of protein mulberry under different treatmentsNote:Different lowercase letters indicate significant differences between different treatments at P<0.05 level.
处理 Treatment | 产量 Yield/(kg·hm-2) | 水分利用效率 WUE/(kg·m-3) | 氮肥偏生产力 NPFP/(kg·kg-1) | |
---|---|---|---|---|
CK | 16 176±7.54 i | 15.01±0.27 i | — | |
N1 | W1 | 19 428±4.39 g | 23.78±1.25 e | 2 158.89±9.55 b |
W2 | 21 072±3.24 f | 25.12±0.12 c | 2 341.11±7.15 a | |
W3 | 17 132±2.86 hi | 19.90±1.79 f | 1 903.33±6.33 e | |
N2 | W1 | 22 156±4.68 f | 25.01±0.55 c | 1 477.33±6.18 de |
W2 | 31 064±5.17 b | 27.51±0.58 a | 2 070.67±6.85 b | |
W3 | 28 170±4.20 c | 18.12±0.13 g | 1 878.00±5.59 c | |
N3 | W1 | 23 984±4.43 e | 26.43±0.29 b | 1 140.95±4.19 f |
W2 | 32 670±1.05 a | 28.01±0.39 a | 1 555.71±10.03 d | |
W3 | 29 102±4.91 c | 23.30±1.20 e | 1 385.71±4.68 e | |
N4 | W1 | 21 316±8.83 f | 24.38±0.86 d | 789.63±6.52 h |
W2 | 26 128±7.94 d | 25.97±0.38 b | 967.78±5.86 g | |
W3 | 18 130±3.32 gh | 16.22±0.34 h | 671.48±2.46 i | |
F值 F value | N | 488.966** | 16 999.975** | 2 962.603** |
W | 332.951** | 2 299.230* | 392.776** | |
N×W | 57.041** | 652.408** | 74.209** |
Table 4 Protein mulberry yield and water and fertilizer use efficiency under different water and nitrogen combinations
处理 Treatment | 产量 Yield/(kg·hm-2) | 水分利用效率 WUE/(kg·m-3) | 氮肥偏生产力 NPFP/(kg·kg-1) | |
---|---|---|---|---|
CK | 16 176±7.54 i | 15.01±0.27 i | — | |
N1 | W1 | 19 428±4.39 g | 23.78±1.25 e | 2 158.89±9.55 b |
W2 | 21 072±3.24 f | 25.12±0.12 c | 2 341.11±7.15 a | |
W3 | 17 132±2.86 hi | 19.90±1.79 f | 1 903.33±6.33 e | |
N2 | W1 | 22 156±4.68 f | 25.01±0.55 c | 1 477.33±6.18 de |
W2 | 31 064±5.17 b | 27.51±0.58 a | 2 070.67±6.85 b | |
W3 | 28 170±4.20 c | 18.12±0.13 g | 1 878.00±5.59 c | |
N3 | W1 | 23 984±4.43 e | 26.43±0.29 b | 1 140.95±4.19 f |
W2 | 32 670±1.05 a | 28.01±0.39 a | 1 555.71±10.03 d | |
W3 | 29 102±4.91 c | 23.30±1.20 e | 1 385.71±4.68 e | |
N4 | W1 | 21 316±8.83 f | 24.38±0.86 d | 789.63±6.52 h |
W2 | 26 128±7.94 d | 25.97±0.38 b | 967.78±5.86 g | |
W3 | 18 130±3.32 gh | 16.22±0.34 h | 671.48±2.46 i | |
F值 F value | N | 488.966** | 16 999.975** | 2 962.603** |
W | 332.951** | 2 299.230* | 392.776** | |
N×W | 57.041** | 652.408** | 74.209** |
1 | 陈亚,代先强,袁玲,等.水氮耦合对土壤理化性状及作物生长的影响研究进展[J].河南农业科学,2009(5):11-15. |
CHEN Y, DAI X Q, YUAN L, et al.. Advances of researches on effects of coupling water with nitrogen fertilizers on the physicochemical property of soil and crops growth [J]. J. Henan Agric. Sci., 2009(5):11-15. | |
2 | 韩晓增,裴宇峰,王守宇,等.水氮耦合对大豆生长发育的影响Ⅱ.水氮耦合对大豆生理特征的影响[J].大豆科学,2006,25(2):103-108. |
HAN X Z, PEI Y F, WANG S Y, et al.. Effects of water-nitrogen coupling on the growth and development of soybean Ⅱ.effects of water-nitrogen coupling on the physiological characteristics of soybean [J]. Soybean Sci., 2006, 25(2):103-108. | |
3 | 李广浩,赵斌,董树亭,等.控释尿素水氮耦合对夏玉米产量和光合特性的影响[J].作物学报,2015,41(9):1406-1415. |
LI G H, ZHAO B, DONG S T, et al.. Effects of coupling controlled release urea with water on yield and photo-synthetic characteristics in summer maize [J]. Acta Agron. Sin., 2015, 41(9):1406-1415. | |
4 | 唐锐,韩宜秀,易树生,等.不同水氮组合对冬小麦产量及水氮利用效率的调控效应[J].植物营养与肥料学报,2023,29(10):1944-1955. |
TANG R, HAN Y X, YI S S, et al.. Optimal water and nitrogen rate combination for winter wheat yield and water-nitrogen efficiency in Guanzhong area of Shaanxi [J]. J. Plant Nutr. Fert., 2023, 29(10):1944-1955. | |
5 | 何进尚,张维军,王小亮,等.返青期水氮耦合对宁夏灌区早熟冬小麦物质积累、氮素运移及产量的影响[J].江苏农业科学, 2023,51(12):72-77. |
HE J S, ZHANG W J, WANG X L, et al.. Effects of water and nitrogen coupling on matter accumulation, nitrogen transport and yield of early-maturing winter wheat in Ningxia irrigation area [J]. Jiangsu Agric. Sci., 2023, 51(12):72-77. | |
6 | 张腾,邢英英,密菲瑶,等.根区深层水氮耦合对玉米生长和生理的影响[J].西北农业学报,2023, 32(11):1707-1717. |
ZHANG T, XING Y Y, MI F Y, et al.. Effects of water and nitrogen couplingin deep root zone on growthand physiology in maize [J]. Acta Agric. Bor-Occid. Sin., 2023, 32(11):1707-1717. | |
7 | AL-OGAIDI A A M, WAYAYOK A, ROWSHON M K, et al.. The influence of magnetized water on soil water dynamics under drip irrigation systems [J]. Agric. Water Manag., 2017, 180:70-77. |
8 | 张慧,杨霞庄,胡冬南,等.不同保水措施下油茶林地土壤水分的日变化规律[J].经济林研究,2012,30(2):95-98. |
ZHANG H, YANG X Z, HU D N, et al.. Daily variation regularity of soil moisture of Camellia oleifera forest land under different water-retention treatments [J]. Non Wood For. Res., 2012, 30(2):95-98. | |
9 | 樊吴静,杨鑫,李丽淑,等.不同灌水方式对冬种马铃薯土壤理化性状、水分利用效率及块茎产量的影响[J].西南农业学报,2022,35(5):1069-1078. |
FAN W J, YANG X, LI L S, et al.. Effects of different irrigation methods on soil physical and chemical properties, water use efficiency and tuber yield of winter potato [J]. Southwest Chin. J. Agric. Sci., 2022, 35(5):1069-1078. | |
10 | 汪耀富,邵孝侯,孙德梅,等.基于微区设计的多雨地区烟田土壤氮素平衡研究[J].烟草科技,2019,52(3):18-25. |
WANG Y F, SHAO X H, SUN D M, et al.. Study on nitrogen balance of tobacco-planting soils in rainy regions based on micro-area design [J]. Tob. Sci. Technol., 2019, 52(3):18-25. | |
11 | 李佳蓓,张富仓,段晨骁,等.氮肥溶液磁化灌水下土壤入渗特征和水氮迁移规律研究[J].农业机械学报,2022,53(7):316-324. |
LI J B, ZHANG F C, DUAN C X, et al.. Characteristics of soil infiltration and water and nitrogen transport under irrigation with magnetized nitrogen fertilizer solution [J]. Trans. Chin. Soc. Agric. Mach., 2022, 53(7):316-324. | |
12 | 马怡璠,吕德生,王振华,等.磁氮耦合对膜下滴灌加工番茄产量及水肥利用效率的影响[J].干旱区研究,2023,40(11):1855-1864. |
MA Y F, LYU D S, WANG Z H, et al.. Effects of magnetic and nitrogen coupling on the yield and water and fertilizer usage efficiency of processed tomatoes under mulched drip irrigation [J]. Arid Zone Res., 2023, 40(11):1855-1864. | |
13 | WU W X, FU W X, ALATALO J H, et al.. Effects of coupling water and fertilizer on agronomic traits, sugar content and yield of Sugarcane in Guangxi, China [J/OL]. Agronomy, 2022, 12(2):321[2024-01-10]. . |
14 | ZHAO Y G, WANG S J, LI Y, et al.. Effects of straw layer and flue gas desulfurization gypsum treatments on soil salinity and sodicity in relation to sunflower yield [J]. Geoderma, 2019, 352:13-21. |
15 | 任亚,汪耀富,刘占卿,等.水氮耦合对烟田土壤水分时空分布和利用效率的影响[J].中国农学通报,2005,21(4):194-197. |
REN Y, WANG Y F, LIU Z Q, et al.. Effects of coupling water with N fertilizers on spatio-temporal distributing of soil moisture and water using efficiency in tobacco fields [J]. Chin.Agric. Sci. Bull., 2005, 21(4):194-197. | |
16 | 尹志荣,柯英,蔡进军.水肥耦合对设施番茄土壤水分、养分运移及产量和水分利用效率影响[J].灌水排水学报,2023,42(6):33-44. |
YIN Z R, KE Y, CAI J J. The combined effect of irrigation and fertilization on soil water, nutrient transport, yield and water use efficiency of greenhouse tomato [J]. J. Irrigation Drain., 2023, 42(6):33-44. | |
17 | 李夏,汪玉瑛,吕豪豪,等.炭基有机肥对设施番茄生长及其土壤性质的影响[J].农业环境科学学报,2023,42(3):568-577. |
LI X, WANG Y Y, LYU H H, et al.. Effects of biochar-based organic fertilizer on the growth and soil properties of greenhouse tomatoes [J]. J. Agro-Environ. Sci., 2023, 42(3):568-577. | |
18 | 郭彬,莫彦,吴忠东,等.覆膜与水分控制对宁夏设施滴灌番茄产量与品质的影响[J].灌水排水学报,2021,40(3):48-55. |
GUO B, MO Y, WU Z D, et al.. Combined effects of film mulching and water-controlled drip irrigation on yield and quality of facility-cultivated tomato in Ningxia [J]. J. Irrigation Drain., 2021, 40(3): 48-55. | |
19 | 窦允清,王振华,张金珠,等.水肥耦合对滴灌加工番茄生理生长及产量的影响[J].江苏农业科学,2019,47(7):124-129. |
20 | 李建明,潘铜华,王玲慧,等.水肥耦合对番茄光合、产量及水分利用效率的影响[J].农业工程学报,2014,30(10):82-90. |
LI J M, PAN T H, WANG L H, et al.. Effects of water-fertilizer coupling on tomato photosynthesis,yield and water use efficiency [J]. Trans. Chin. Soc. Agric. Eng., 2014,30(10):82-90. | |
21 | 赵志华,李建明,张大龙,等.水钾耦合对大棚厚皮甜瓜产量和可溶性固形物含量的影响[J].西北农林科技大学学报(自然科学版),2013,41(8):161-167. |
ZHAO Z H, LI J M, ZHANG D L, et al.. Interactive effects of water and potassium on yield and soluble solid content of plastic greenhouse muskmelon [J]. J.Northwest A&F Univ. (Nat. Sci.), 2013, 41(8):161-167. | |
22 | 邢英英,张富仓,吴立峰,等.基于番茄产量品质水肥利用效率确定适宜滴灌灌水施肥量[J].农业工程学报,2015,31():110-121. |
XING Y Y, ZHANG F C, WU L F, et al.. Determination of optimal amount of irrigation and fertilizer under drip fertigated system based on tomato yield, quality, water and fertilizer use efficiency [J]. Trans. Chin. Soc. Agric. Eng., 2015, 31(S1):110-121. |
[1] | Zhenfei ZHANG, An YAN, Jing GUO, Yuhang ZHAO, Yilin YUAN, Peng LIU, Zuohao QU, Chuan YUAN. Research on Apple Yield Estimation Model Based on Unmanned Aerial Vehicle Remote Sensing [J]. Journal of Agricultural Science and Technology, 2025, 27(9): 110-119. |
[2] | Jianfeng ZHANG, Wenfeng HOU, Yongqing WU, Kaixu LI, Xiaokun LI. Effects of Nitrogen Fertilizer and Density Interactions on Occurrence of Diseases and Insect Pests and Grain Yield of Rice [J]. Journal of Agricultural Science and Technology, 2025, 27(9): 145-154. |
[3] | Caixia LYU, Yongfu LI, Huinan XIN, Na LI, Ning LAI, Qinglong GENG, Shuhuang CHEN. Effects of Slow Release Nitrogen Fertilizer on Yield of Winter Wheat and Soil Nitrate/Ammonium Nitrogen Under Drip Irrigation [J]. Journal of Agricultural Science and Technology, 2025, 27(8): 179-186. |
[4] | Xueqing LIU, Jing WANG, Yi YANG, Huiqin WU, Yanhong WANG, Luyao WANG, Jiawei LU, Kaixuan ZHANG, Yuan ZHAI, Yan CHENG. Effect of Exogenous Ethephon on Defoliation and Yield of Pigmented Pepper [J]. Journal of Agricultural Science and Technology, 2025, 27(8): 36-46. |
[5] | Qi ZHOU, Qiang LIU, Jing ZHANG, Chaochao DENG, Zhenlong WANG, Yang LIU, Fang WU, Hao CHANG, Yanfang ZHOU, Cuicui SU, Zhiguo SHI, Zhengrui GAO, Fengjie MA. Effects of Organic Fertilizer Replacing Chemical Fertilizer on Yield and Soil Biological Characteristics of Pumpkin [J]. Journal of Agricultural Science and Technology, 2025, 27(7): 190-203. |
[6] | Lijun DUAN, Xianhua DING, Weiqin LI, Shuangdui YAN. Investigation of Co-pyrolysis Behavior and Pyrolysis Product Analysis of Oak Bark and Corn Stalks [J]. Journal of Agricultural Science and Technology, 2025, 27(5): 164-172. |
[7] | Guiqian ZHANG, Li ZHANG, Qian WANG, Caiyun LIU. Effect of Astragalus Polysaccharides on Colony Development and Honey Production in Honeybees [J]. Journal of Agricultural Science and Technology, 2025, 27(5): 72-80. |
[8] | Yan WU, Leping ZOU, Huijie SONG, Dandan HU, Kailou LIU, Wanli LIANG. Effect of Controlled-release Nitrogen Fertilizer Combined Urea on Ammonium Nitrogen of Surface Water and Early Rice Yield [J]. Journal of Agricultural Science and Technology, 2025, 27(4): 192-200. |
[9] | Darong LI, Xiaoling LI, Wuxian ZHOU, Meide ZHANG, Xiaogang JIANG, Jinwen YOU, Hua WANG. Effects of Partial Substitution of Chemical Fertilizer with Organic Fertilizer on Growth and Soil Properties of Fritillaria hupehensis [J]. Journal of Agricultural Science and Technology, 2025, 27(3): 216-226. |
[10] | Junya DUAN, Yuanyuan ZHAO, Tingting WANG, Jianyu WEI, Zheng WANG, Dexun WANG, Juan LI, Hongzhi SHI. Effects of Nitrogen Reduction Combined with Polyaspartic Acid on Nitrogen Utilization, Yield and Quality of Flue-cured Tobacco [J]. Journal of Agricultural Science and Technology, 2025, 27(3): 227-238. |
[11] | Qiang WU, Conglian WU, Xiaoyun WU, Jian WU, Xuanmei XU, Junsheng LAI, Weiyun HU, Bangchu GONG, Xibing JIANG. Effect of Different Fertilization Treatments on Yield and Fruit Quality of Castanea henryi [J]. Journal of Agricultural Science and Technology, 2025, 27(2): 228-237. |
[12] | Tingting LIU, Xiyu HAO, Hui WANG, Jingwen LENG, Shihang GONG, Wei LIU. Correlation Analysis Between Yield and Agronomical Traits of Different Foxtail Millet Varieties in Semi-arid Area of Western Jilin Province [J]. Journal of Agricultural Science and Technology, 2025, 27(1): 50-60. |
[13] | Wenxuan SHI, Jinfang TAN, Qian ZHANG, Lantao LI, Yilun WANG. Effect of One-off Fertilization on Yield and Nitrogen Fertilizer Efficiency of Summer Maize in Different Ecological Regions [J]. Journal of Agricultural Science and Technology, 2024, 26(9): 193-202. |
[14] | Mei WU, Jinzhu ZHANG, Zhenhua WANG, Jian LIU, Yue WEN, Xuanzhi LI. Effects of Water and Air Interaction on Physiological Growth and Yield of Maize Under Mulched Drip Irrigation [J]. Journal of Agricultural Science and Technology, 2024, 26(8): 189-200. |
[15] | Liang SUN, Yi XU, Qin CAI, Jinghao GUO, Can ZHAO, Baowei GUO, Zhipeng XING, Zhongyang HUO, Hongcheng ZHANG, Yajie HU. Research Progress on Effects of Medium and Trace Elements on Yield and Quality of Rice [J]. Journal of Agricultural Science and Technology, 2024, 26(8): 9-19. |
Viewed | ||||||
Full text |
|
|||||
Abstract |
|
|||||