中国农业科技导报 ›› 2025, Vol. 27 ›› Issue (4): 209-220.DOI: 10.13304/j.nykjdb.2023.0859
王子豪1(), 周雪1, 张冬寒1, 梁红怡1, 王岩2, 赵子昂1, 陈清1(
)
收稿日期:
2023-11-23
接受日期:
2024-07-12
出版日期:
2025-04-15
发布日期:
2025-04-15
通讯作者:
陈清
作者简介:
王子豪 E-mail:wangzihao@cau.edu.cn;
基金资助:
Zihao WANG1(), Xue ZHOU1, Donghan ZHANG1, Hongyi LIANG1, Yan WANG2, Ziang ZHAO1, Qing CHEN1(
)
Received:
2023-11-23
Accepted:
2024-07-12
Online:
2025-04-15
Published:
2025-04-15
Contact:
Qing CHEN
摘要:
为研究不同配方的含腐植酸水溶肥料(water-soluble fertilizers containing humic-acids,WSF)对烟台市酸化棕壤的改良效果,采用盆栽试验,以不施WSF为对照(CK),设置施用市场一号(HJ)、市场二号(GL)、市场三号(LD)、市场四号(XZ)、自研一号(NY)和自研二号(NE)6种追肥处理,每种肥料设置0.4(-0.4)、2.0 mL·kg-1土(-2.0)2个施用量,比较不同处理对玉米苗株高、茎粗、生物量、镉含量以及土壤理化性质、有效态镉含量的影响。结果表明,与CK相比,根部灌施NY、XZ和NE后,土壤pH分别提高0.57~0.61、0.55~0.62和0.49~0.64个单位。NY-0.4、NE-0.4和XZ-2.0处理的土壤交换性酸总量分别降低28.0%、23.3%和12.5%,交换性铝含量分别降低51.2%、29.1%和18.0%,有助于缓解土壤酸化并减轻铝毒。施用WSF能提高土壤有机质含量,降低土壤电导率,改善土壤速效养分供应状况,降低土壤镉(Cd)的有效性,促进玉米苗生长并阻控Cd吸收,有助于提升土壤质量和作物品质。土壤酸度是影响Cd在土壤-玉米苗体系中活化、吸收和累积的关键因子。对玉米苗生长和土壤改良情况的综合分析表明,XZ的性能优于其他测试产品。研究结果有助于揭示WSF的产品性质、组分和用量对肥效的影响,可为优化玉米施肥方案和改良退化土壤提供参考。
中图分类号:
王子豪, 周雪, 张冬寒, 梁红怡, 王岩, 赵子昂, 陈清. 含腐植酸水溶肥料对玉米苗生长及土壤改良的影响[J]. 中国农业科技导报, 2025, 27(4): 209-220.
Zihao WANG, Xue ZHOU, Donghan ZHANG, Hongyi LIANG, Yan WANG, Ziang ZHAO, Qing CHEN. Effect of Water-soluble Fertilizers Containing Humic-acids on Maize Seedlings Growth and Soil Properties[J]. Journal of Agricultural Science and Technology, 2025, 27(4): 209-220.
肥料特性 Fertilizer property | 肥料类型 Fertilizer type | |||||
---|---|---|---|---|---|---|
市场一号 HJ | 市场二号 GL | 市场三号 LD | 市场四号 XZ | 自研一号 NY | 自研二号 NE | |
粒径 Particle size | 微米级 Micron-sized | 微米级 Micron-sized | — | — | 微米级 Micron-sized | 微米级 Micron-sized |
pH | 4.58 | 6.37 | 6.89 | 12.11 | 8.06 | 7.97 |
电导率 Electrical conductivity/( mS·cm-1) | 59.7 | 86.3 | 70.5 | 114.0 | 53.2 | 36.3 |
纯氮 Pure N/(g·L-1) | ≥50 | ≥70 | — | ≥100 | ≥25 | ≥30 |
五氧化二磷 P2O5/(g·L-1) | ≥150 | ≥220 | — | ≥40 | ≥140 | ≥90 |
氧化钾 K2O/(g·L-1) | — | — | ≥30 | ≥60 | ≥65 | ≥90 |
腐植酸 Fulvic acids/% | 15.8 | 13.0 | 9.5 | 15.2 | 15.8 | 15.7 |
黄腐酸 Humic acids/% | 4.24 | 2.95 | 13.90 | 0.74 | 15.10 | 16.40 |
有机质 Organic matter/(g·L-1) | — | — | ≥250 | — | ≥250 | ≥250 |
密度 Density/(g·cm-3) | 1.33 | — | — | — | 1.35 | 1.35 |
表1 盆栽试验所用含腐植酸水溶肥料的主要特性
Table 1 Main property of water-soluble fertilizers containing humic-acids used in pot experiments
肥料特性 Fertilizer property | 肥料类型 Fertilizer type | |||||
---|---|---|---|---|---|---|
市场一号 HJ | 市场二号 GL | 市场三号 LD | 市场四号 XZ | 自研一号 NY | 自研二号 NE | |
粒径 Particle size | 微米级 Micron-sized | 微米级 Micron-sized | — | — | 微米级 Micron-sized | 微米级 Micron-sized |
pH | 4.58 | 6.37 | 6.89 | 12.11 | 8.06 | 7.97 |
电导率 Electrical conductivity/( mS·cm-1) | 59.7 | 86.3 | 70.5 | 114.0 | 53.2 | 36.3 |
纯氮 Pure N/(g·L-1) | ≥50 | ≥70 | — | ≥100 | ≥25 | ≥30 |
五氧化二磷 P2O5/(g·L-1) | ≥150 | ≥220 | — | ≥40 | ≥140 | ≥90 |
氧化钾 K2O/(g·L-1) | — | — | ≥30 | ≥60 | ≥65 | ≥90 |
腐植酸 Fulvic acids/% | 15.8 | 13.0 | 9.5 | 15.2 | 15.8 | 15.7 |
黄腐酸 Humic acids/% | 4.24 | 2.95 | 13.90 | 0.74 | 15.10 | 16.40 |
有机质 Organic matter/(g·L-1) | — | — | ≥250 | — | ≥250 | ≥250 |
密度 Density/(g·cm-3) | 1.33 | — | — | — | 1.35 | 1.35 |
土壤特性 Soil property | 处理 Treatment | ||||||||||||
---|---|---|---|---|---|---|---|---|---|---|---|---|---|
HJ-0.4 | GL-0.4 | LD-0.4 | XZ-0.4 | NY-0.4 | NE-0.4 | HJ-2.0 | GL-2.0 | LD-2.0 | XZ-2.0 | NY-2.0 | NE-2.0 | CK | |
pH | 4.34 αb | 4.37 αb | 4.38 αb | 4.85 αa | 4.91 αa | 4.94 αa | 4.54 αbc | 4.39 αc | 4.72 αab | 4.92 αa | 4.87 αa | 4.79 βa | 4.30 |
电导率 EC/(μS·cm-1) | 408 αa | 361 αa | 371 αa | 91 αb | 89 βb | 128 αb | 356 αa | 426 αa | 417 αa | 87 αb | 116 αb | 106 αb | 417 |
交换性酸总量 EA/(cmol·kg-1) | 7.67 βab | 6.76 βbc | 5.88 αc | 8.10 αa | 3.62 βd | 3.86 βd | 9.92 αb | 10.00 αa | 5.48 αb | 4.40 βc | 5.61 αb | 5.73 αb | 5.03 |
交换性铝 EAl/(cmol·kg-1) | 6.14 αa | 5.02 αa | 5.04 αa | 6.29 αa | 1.76 βb | 2.56 αb | 7.14 αa | 4.60 αb | 4.49 αb | 2.96 βc | 3.93 αbc | 3.75 αbc | 3.61 |
交换性氢 EH/(cmol·kg-1) | 1.53 βa | 1.74 βa | 0.84 αb | 1.81 αa | 1.86 αa | 1.30 βab | 2.79 αb | 5.40 αa | 1.00 αc | 1.44 αc | 1.68 αc | 1.98 αbc | 1.42 |
有机质 SOM/(g·kg-1) | 17.8 αab | 17.8 αab | 17.1 βb | 19.0 αab | 19.5 αa | 17.5 αab | 15.8 βc | 16.4 βc | 19.4 αab | 21.1 αa | 18.9 αb | 17.5 αbc | 15.9 |
碱解氮 AN/(mg·kg-1) | 374 βb | 444 βa | 412 αab | 146 αc | 182 βc | 133 βc | 473 αb | 551 αa | 418 αc | 138 αe | 238 αd | 202 αd | 387 |
速效磷 AP/(mg·kg-1) | 115.0 αa | 99.3 αbc | 94.6 αbc | 90.5 αc | 106.0 αab | 92.4 αc | 120.0 αa | 97.3 αbc | 106.0 αab | 86.4 αc | 100.0 αbc | 107.0 αab | 98.6 |
速效钾 AK/(mg·kg-1) | 103 βab | 120 αa | 108 βa | 104 βab | 83 βb | 124 βa | 138 αc | 135 αc | 196 αa | 209 αa | 157 αbc | 185 αab | 110 |
水溶性钠 WNa/(mg·kg-1) | 29.6 αb | 29.6 αb | 40.0 βa | 35.4 βab | 42.2 βa | 40.0 βa | 25.1 αd | 35.4 αc | 78.9 αa | 44.5 αc | 68.6 αb | 62.9 αb | 28.5 |
阳离子交换量 CEC/(cmol·kg-1) | 15.2 αb | 14.9 αb | 14.2 αb | 15.1 αb | 14.9 αb | 16.0 αa | 15.1 αa | 15.0 αa | 14.6 αab | 14.9 αab | 14.5 αb | 14.4 βb | 14.7 |
表2 施用含腐植酸水溶肥料后的土壤特性
Table 2 Soil property following the use of water-soluble fertilizers containing humic-acids
土壤特性 Soil property | 处理 Treatment | ||||||||||||
---|---|---|---|---|---|---|---|---|---|---|---|---|---|
HJ-0.4 | GL-0.4 | LD-0.4 | XZ-0.4 | NY-0.4 | NE-0.4 | HJ-2.0 | GL-2.0 | LD-2.0 | XZ-2.0 | NY-2.0 | NE-2.0 | CK | |
pH | 4.34 αb | 4.37 αb | 4.38 αb | 4.85 αa | 4.91 αa | 4.94 αa | 4.54 αbc | 4.39 αc | 4.72 αab | 4.92 αa | 4.87 αa | 4.79 βa | 4.30 |
电导率 EC/(μS·cm-1) | 408 αa | 361 αa | 371 αa | 91 αb | 89 βb | 128 αb | 356 αa | 426 αa | 417 αa | 87 αb | 116 αb | 106 αb | 417 |
交换性酸总量 EA/(cmol·kg-1) | 7.67 βab | 6.76 βbc | 5.88 αc | 8.10 αa | 3.62 βd | 3.86 βd | 9.92 αb | 10.00 αa | 5.48 αb | 4.40 βc | 5.61 αb | 5.73 αb | 5.03 |
交换性铝 EAl/(cmol·kg-1) | 6.14 αa | 5.02 αa | 5.04 αa | 6.29 αa | 1.76 βb | 2.56 αb | 7.14 αa | 4.60 αb | 4.49 αb | 2.96 βc | 3.93 αbc | 3.75 αbc | 3.61 |
交换性氢 EH/(cmol·kg-1) | 1.53 βa | 1.74 βa | 0.84 αb | 1.81 αa | 1.86 αa | 1.30 βab | 2.79 αb | 5.40 αa | 1.00 αc | 1.44 αc | 1.68 αc | 1.98 αbc | 1.42 |
有机质 SOM/(g·kg-1) | 17.8 αab | 17.8 αab | 17.1 βb | 19.0 αab | 19.5 αa | 17.5 αab | 15.8 βc | 16.4 βc | 19.4 αab | 21.1 αa | 18.9 αb | 17.5 αbc | 15.9 |
碱解氮 AN/(mg·kg-1) | 374 βb | 444 βa | 412 αab | 146 αc | 182 βc | 133 βc | 473 αb | 551 αa | 418 αc | 138 αe | 238 αd | 202 αd | 387 |
速效磷 AP/(mg·kg-1) | 115.0 αa | 99.3 αbc | 94.6 αbc | 90.5 αc | 106.0 αab | 92.4 αc | 120.0 αa | 97.3 αbc | 106.0 αab | 86.4 αc | 100.0 αbc | 107.0 αab | 98.6 |
速效钾 AK/(mg·kg-1) | 103 βab | 120 αa | 108 βa | 104 βab | 83 βb | 124 βa | 138 αc | 135 αc | 196 αa | 209 αa | 157 αbc | 185 αab | 110 |
水溶性钠 WNa/(mg·kg-1) | 29.6 αb | 29.6 αb | 40.0 βa | 35.4 βab | 42.2 βa | 40.0 βa | 25.1 αd | 35.4 αc | 78.9 αa | 44.5 αc | 68.6 αb | 62.9 αb | 28.5 |
阳离子交换量 CEC/(cmol·kg-1) | 15.2 αb | 14.9 αb | 14.2 αb | 15.1 αb | 14.9 αb | 16.0 αa | 15.1 αa | 15.0 αa | 14.6 αab | 14.9 αab | 14.5 αb | 14.4 βb | 14.7 |
图1 不同施肥处理下玉米苗株高、茎粗和生物量注:不同英文字母表示相同施用量不同肥料处理间在P<0.05水平差异显著,不同希腊字母表示相同肥料不同施用量处理间在P<0.05水平差异显著。
Fig. 1 Plant height, stem diameter and biomass of maize seedlings under different fertilization treatmentsNote: Different English letters indicate significant differences between different fertilizers treatments at same application rate at P<0.05 level, different Greek letters indicate significant differences between application rates treatments of same fertilizer at P<0.05 level.
图2 不同施肥处理下玉米苗中镉含量和土壤中有效态镉含量注:不同英文字母表示相同施用量不同肥料处理间在P<0.05水平差异显著,不同希腊字母表示相同肥料不同施用量处理间在P<0.05水平差异显著。
Fig. 2 Cd content in maize seedlings and available Cd content in soil under different fertilization treatmentsNote: Different English letters indicate significant differences between different fertilizers treatments at same application rate at P<0.05 level, different Greek letters indicate significant differences between application rates treatments of same fertilizer at P<0.05 level.
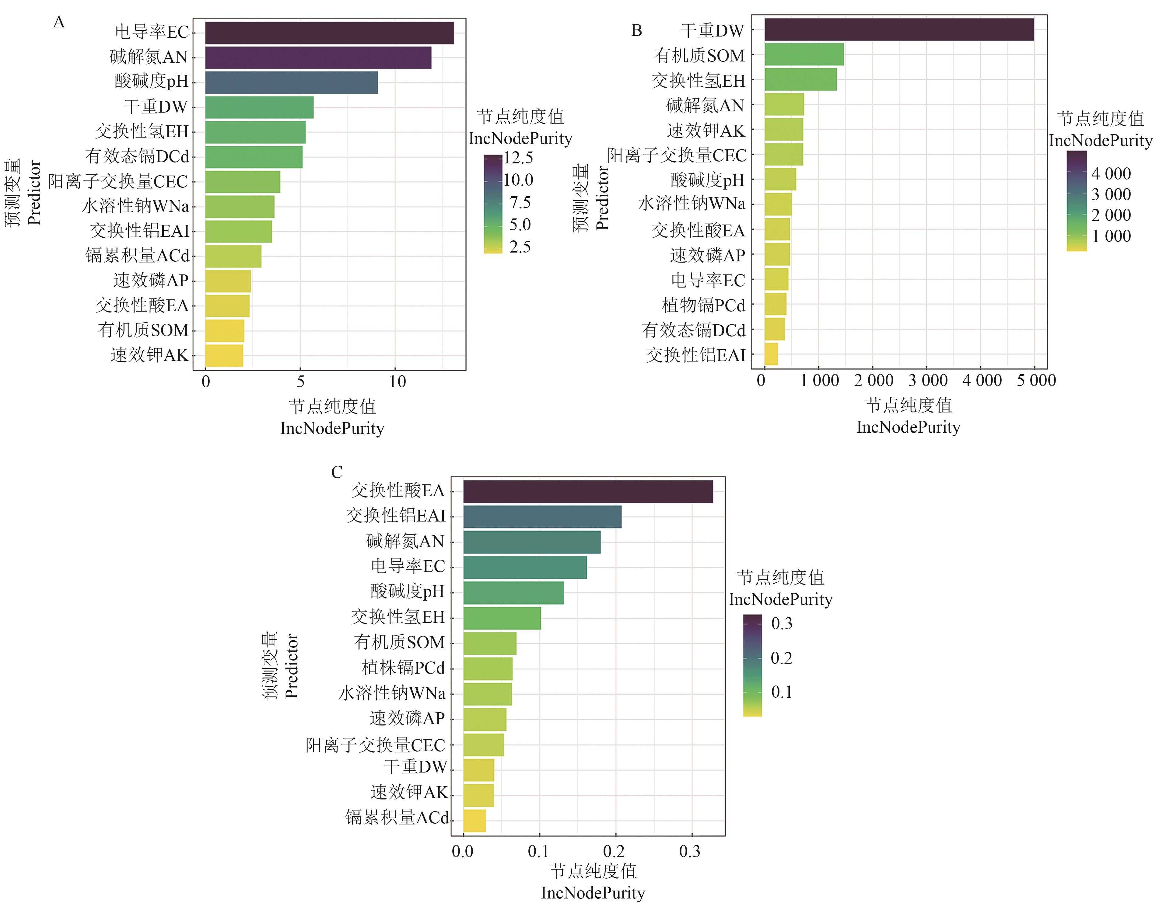
图3 基于随机森林分析环境因子重要度排序A:影响 P-Cd 的环境因子重要性度量; B:影响 A-Cd的环境因子重要性度量; C:影响 DTPA-Cd的环境因子重要性度量。节点纯度值越高,表示预测变量和响应变量之间的相关性越强
Fig. 3 Importance ranking of variable environmental factors based on random forest analysisA:Assessment of significance of environmental factors influencing P-Cd; B:Assessment of significance of environmental factors influencing A-cd; C:Assessment of significance of environmental factors influencing DTPA-cd. Higher values of IncNodePurity indicate stronger correlations between predictor and response variables
图4 植物生长因子与土壤环境变量之间的相关性和冗余分析A:相关性分析;B:冗余分析。*和**分别表示在P<0.05和P<0.01水平显著相关。
Fig. 4 Correlation and redundancy analysis between plant growth factors and soil environmental variablesA:Correlation analysis;B:Redundancy analysis. * and ** indicate significant corrections at P<0.05 and P<0.01 levels, respetively.
1 | 赵学强,潘贤章,马海艺,等.中国酸性土壤利用的科学问题与策略[J].土壤学报,2023,60(5):1248-1263. |
ZHAO X Q, PAN X Z, MA H Y, et al.. Scientific issues and strategies of acid soil use in China [J]. Acta Pedol. Sin., 2023,60(5):1248-1263. | |
2 | 李涛,于蕾,万广华,等.近30年山东省耕地土壤pH时空变化特征及影响因素[J].土壤学报,2021,58(1):180-190. |
LI T, YU L, WAN G H, et al.. Spatio-temporal variation of farmland soil pH and associated affecting factors in the past 30 years of Shandong province,China [J]. Acta Pedol. Sin., 2021,58(1):180-190. | |
3 | 于天一,孙秀山,石程仁,等.土壤酸化危害及防治技术研究进展[J].生态学杂志,2014,33(11):3137-3143. |
YU T Y, SUN X S, SHI C R, et al.. Advances in soil acidification hazards and control techniques [J]. Chin. J. Ecol., 2014,33(11):3137-3143. | |
4 | 陈红,李艳红,石德扬,等.烟台市玉米生产现状及发展对策[J].中国农技推广,2021,37(11):22-24. |
5 | 仇焕广,李新海,余嘉玲.中国玉米产业:发展趋势与政策建议[J].农业经济问题,2021,42(7):4-16. |
QIU H G, LI X H, YU J L. China maize industry: development trends and policy suggestions [J]. Issu. Agric. Econ., 2021,42(7):4-16. | |
6 | 杨晶,易镇邪,屠乃美.酸化土壤改良技术研究进展[J].作物研究,2016,30(2):226-231. |
YANG J, YI Z X, TU N M. Research progress on improvement techniques for acidified soil [J]. Crop Res., 2016,30(2):226-231. | |
7 | 刘娇娴,崔骏,刘洪宝,等.土壤改良剂改良酸化土壤的研究进展[J].环境工程技术学报,2022,12(1):173-184. |
LIU J X, CUI J, LIU H B, et al.. Research progress of soil amelioration of acidified soil by soil amendments [J]. J. Environ. Eng. Technol., 2022,12(1):173-184. | |
8 | 邱婷,张屹,肖姬玲,等.土壤酸化及酸性土壤改良技术研究进展[J].湖南农业科学,2016(10):114-117, 121. |
QIU T, ZHANG Y, XIAO J L, et al.. Research progress in soil acidification and acid soil improvement technology [J]. Hunan Agric. Sci., 2016(10):114-117, 121. | |
9 | 陈士更,张民,丁方军,等.腐植酸土壤调理剂对酸化果园土壤理化性状及苹果产量和品质的影响[J].土壤,2019,51(1):83-89. |
CHEN S G, ZHANG M, DING F J, et al.. Humic acid soil conditioner improved soil physicochemical properties,apple yield and quality in acidified orchard soil [J]. Soils, 2019,51(1):83-89. | |
10 | 李昱瑾,刘庆花,梁斌,等.腐植酸型功能肥料对酸化果园土壤理化性质和苹果树生长的影响[J].山东农业科学,2020,52(4):92-97. |
LI Y J, LIU Q H, LIANG B, et al.. Effects of humic acid type functional fertilizer on soil physical and chemical properties and apple tree growth in acidified orchard [J]. Shandong Agric. Sci., 2020,52(4):92-97. | |
11 | 冯剑,范琼,酒元达,等.腐植酸水溶肥部分替代化学氮肥对土壤-水稻体系镉迁移富集的影响[J].中国土壤与肥料,2024 (3):159-167. |
FENG J, FAN Q, JIU Y D, et al.. Effects of humic acid liquid fertilizer partial substitution chemical nitrogen fertilizer on cadmium migration and accumulation in soil-rice system [J]. Soil Fert. Sci. China., 2024(3):159-167. | |
12 | 苏初连,邓爱妮,范琼,等.腐植酸型功能肥料对酸化土壤改良和香蕉生长的作用[J].分子植物育种,2022,20(6):1923-1929. |
SU C L, DENG A N, FAN Q, et al.. Effect of humic acid type functional fertilizer on acidified soil improvement and banana growth [J]. Mol. Plant Breed., 2022,20(6):1923-1929. | |
13 | 张子叶,谢运河,纪雄辉,等.腐殖酸水溶肥应用于重金属污染稻田的效果研究[J].西南农业学报,2021,34(1):126-130. |
ZHANG Z Y, XIE Y H, JI X H, et al.. Effect of water soluble humic acid fertilizer on heavy metal polluted rice field [J]. Southwest China J. Agric. Sci., 2021,34(1):126-130. | |
14 | 王存龙,曾宪东,刘华峰,等.烟台市土壤环境质量现状及重金属元素分布迁移规律[J].中国地质,2015,42(1):317-330. |
WANG C L, ZENG X D, LIU H F, et al.. The present situation of soil environmental quality and the distribution and migration regularity of heavy metals in soil of Yantai [J]. Geol. China, 2015,42(1):317-330. | |
15 | 陈昕楠,王丽霞,庞力豪,等.山东烟台苹果产区土壤pH值、有机质含量和速效养分含量调查[J].中国果树,2019(5):25-28, 40. |
CHEN X N, WANG L X, PANG L H, et al.. Analysis of soil pH,organic matter and available nutrient contents in apple growing areas of Yantai in Shandong [J]. China Fruits, 2019(5):25-28, 40. | |
16 | 刘晓霞,杨一,刘刚,等. 水溶性肥料: [S].北京:化工出版社,2013. |
17 | 孙又宁,保万魁,肖瑞芹,等. 水溶肥料 腐植酸含量的测定: [S].北京:中国农业出版社,2011. |
18 | 汪禄祥,黎其万,严红梅,等. 肥料中黄腐酸的测定 容量滴定法: [S].北京:中国农业出版社,2017. |
19 | AHMAD I, AKHTAR M J, ASGHAR H N, et al.. Differential effects of plant growth-promoting rhizobacteria on maize growth and cadmium uptake [J]. J.Plant Growth Regul., 2016,35(2):303-315. |
20 | 田有国,辛景树,任意,等. 土壤检测 第2部分:土壤pH的测定: [S].北京:中国标准出版社,2006. |
21 | 中华人民共和国环境保护部. 土壤 电导率的测定 电极法: [S].北京:中国环境科学出版社,2016. |
22 | BRAY R H, KURTZ L T. Determination of total, organic, and available forms of phosphorus in soils [J]. Soil Sci., 1945,59(1): 39-46. |
23 | 鲍士旦.土壤农化分析[M].3版.北京:中国农业出版社,2000:30-110. |
24 | COSCIONE A R, DE ANDRADE J C, VAN RAIJ B. Revisiting titration procedures for the determination of exchangeable acidity and exchangeable aluminum in soils [J]. Commun. Soil Sci. Plant Anal., 1998,29(11-14):1973-1982. |
25 | 中华人民共和国环境保护部. 土壤 阳离子交换量的测定 三氯化六氨合钴浸提-分光光度法: [S].北京:中国环境科学出版社,2017. |
26 | 刘凤枝,刘铭,蔡彦明,等. 土壤质量 有效态铅和镉的测定 原子吸收法: [S].北京:中国标准出版社,2009. |
27 | KUMAR SOOTAHAR M, ZENG X, WANG Y, et al.. The short-term effects of mineral- and plant-derived fulvic acids on some selected soil properties:improvement in the growth,yield,and mineral nutritional status of wheat (Triticum aestivum L.) under soils of contrasting textures [J/OL]. Plants (basel switz.), 2020,9(2):205 [2023-10-22].. |
28 | 生态环境部, 国家市场监督管理总局. 土壤环境质量农用地土壤污染风险管控标准(试行): [S].北京:中国标准出版社,2018. |
29 | KRSTIC D, DJALOVIC I, NIKEZIC D, et al.. Aluminium in acid soils: chemistry, toxicity and impact on maize plants [M]. United Kingdom: IntechOpen, 2012:232-239. |
30 | SHI R Y, NI N, NKOH J N, et al.. Biochar retards Al toxicity to maize (Zea mays L.) during soil acidification:the effects and mechanisms [J/OL]. Sci. Total Environ., 2020,719:137448 [2023-10-22]. . |
31 | DIATLOFF E, HARPER S M, ASHER C J, et al.. Effects of humic and fulvic acids on the rhizotoxicity of lanthanum and aluminium to corn [J]. Soil Res., 1998,36(6):913-920. |
32 | CALVO P, NELSON L, KLOEPPER J W. Agricultural uses of plant biostimulants [J]. Plant Soil, 2014,383(1):3-41. |
33 | CHEN Y, AVIAD T. Effects of humic substances on plant growth [M]//MACCARTHY P, CLAPP C E, MALCOLM R L, et al.. Humic Substances in Soil and Crop Sciences: Selected Readings. American Society of Agronomy, Inc., Soil Science Society of America, Inc.,1990:161-186. |
34 | 李英浩,刘景辉,赵宝平,等.黄腐酸浸种对燕麦种子萌发及幼苗生长的影响[J].种子,2023,42(2):72-76, 89. |
LI Y H, LIU J H, ZHAO B P, et al.. Effects of soaking seeds with fulvic acid on seed germination and seedling growth of oats [J]. Seed, 2023,42(2):72-76, 89. | |
35 | CUNHA S M, BIANCHINI I. Humic substances mineralization: the variation of pH, electrical conductivity and optical density [J]. Acta Limnologica Brasiliensia., 2004,16(1): 63-75. |
36 | 邓爱妮,罗金辉,苏初连,等.碱性含腐植酸营养液对樱桃番茄产质量影响及其改土效果[J].南方农业学报,2021,52(5):1282-1290. |
DENG A N, LUO J H, SU C L, et al.. Effects of alkaline humic acid fertilizer amendment on cherry tomato yield and quality and soil improvement [J]. J. Southern Agric., 2021,52(5):1282-1290. | |
37 | 王泽祥.不同组分腐植酸对土壤水分运动和理化性质的影响[D].西安:西安理工大学,2021. |
WANG Z X. Effects of different components of humic acid on soil water movement with physical and chemical properties [D]. Xi’an: Xi’an University of Technology, 2022. | |
38 | 金梦野,黄娟,侯嫔,等.三种环境材料及其复合施用对盐碱化土壤的改良效果研究[J].农业环境科学学报,2020,39(1):118-124. |
JIN M Y, HUANG J, HOU P, et al.. Improvement effect of three environmental materials and their composite application on saline-alkali soil [J]. J.Agro-Environ. Sci., 2020,39(1):118-124. | |
39 | NAN J K, CHEN X M, WANG X Y, et al.. Effects of applying flue gas desulfurization gypsum and humic acid on soil physicochemical properties and rapeseed yield of a saline-sodic cropland in the eastern coastal area of China [J]. J.Soils Sediments, 2016,16(1):38-50. |
40 | 顾鑫,任翠梅,王丽娜,等.施用腐植酸改良大庆苏打盐碱土的效应[J].中国土壤与肥料,2021(4):77-82. |
GU X, REN C M, WANG L N, et al.. Effects of humic acid application on soda saline-alkali soil in Daqing [J]. Soil Fert. Sci. China, 2021(4):77-82. | |
41 | SOLEK PODWIKA K, CIARKOWSKA K, FILIPEK MAZUR B. Soil amendment with a lignite-derived humic substance affects soil properties and biomass maize yield [J/OL]. Sustainability, 2023,15(3), 2304 [202310-22]. . |
42 | 吴林土,徐火忠,叶春福,等.化肥减施对茶树养分吸收和茶园土壤环境的影响[J].中国茶叶,2022,44(4):28-33. |
WU L T, XU H Z, YE C F, et al.. Effects of fertilization measures on nutrient absorption of tea plants and soil environment in tea gardens [J]. China Tea, 2022,44(4):28-33. | |
43 | 蔡祖聪,马毅杰.土壤有机质与土壤阳离子交换量的关系[J].土壤学进展,1988(3):10-15. |
44 | CUI X Y, MAO P, SUN S, et al.. Phytoremediation of cadmium contaminated soils by Amaranthus hypochondriacus L.:the effects of soil properties highlighting cation exchange capacity [J/OL]. Chemosphere,2021,283:131067 [2023-10-22].. |
45 | 邓爱妮,苏初连,王晓刚,等.碱性腐植酸改良液对露地酸化土壤理化性质及樱桃番茄品质的影响[J].中国瓜菜,2020,33(10):39-44. |
DENG A N, SU C L, WANG X G, et al.. Effects of alkaline humic acid amendment on soil physicochemical property in open field acid soil and cherry tomato quality [J].China Cucurbits Veget., 2020,33(10):39-44. | |
46 | 张经廷,刘云鹏,李旭辉,等.夏玉米各器官氮素积累与分配动态及其对氮肥的响应[J].作物学报,2013,39(3):506-514. |
ZHANG J T, LIU Y P, LI X H, et al.. Dynamic responses of nitrogen accumulation and remobilization in summer maize organs to nitrogen fertilizer [J]. Acta Agron. Sin., 2013,39(3):506-514. | |
47 | 温鑫.有机-无机复合钝化剂修复镉污染土壤研究[D].成都:西华大学,2020. |
WEN X. Study on the remediation of cadmium polluted soil by organic-inorganic compound passivator [D]. Chengdu: Xihua University, 2021. | |
48 | 邹传,郭彬,林义成,等.不同粒径腐殖酸颗粒对土壤有效态镉的影响[J].浙江农业学报,2019,31(4):616-623. |
ZOU C, GUO B, LIN Y C, et al.. Effects of humic acid particles with different sizes on available cadmium in soil [J]. Acta Agric. Zhejiangensis, 2019,31(4):616-623. | |
49 | 余贵芬,蒋新,孙磊,等.有机物质对土壤镉有效性的影响研究综述[J].生态学报,2002,22(5):770-776. |
YU G F, JIANG X, SUN L, et al.. A review for effect of organic substances on the availability of cadmium in soils [J]. Acta Ecol. Sin., 2002,22(5):770-776. | |
50 | 周松,杨健豪,晏士玮,等.根际有机酸对土壤中重金属化学行为和生物有效性的影响研究进展[J].生物学杂志,2022,39(3):103-106, 124. |
ZHOU S, YANG J H, YAN S W, et al.. Research progress on the effects of rhizosphere organic acids on the chemical behavior and bioavailability of heavy metals in soil [J]. J. Biol., 2022,39(3):103-106, 124. | |
51 | 陈洁,王娟,王怡雯,等.影响不同农作物镉富集系数的土壤因素[J].环境科学,2021,42(4):2031-2039. |
CHEN J, WANG J, WANG Y W, et al.. Influencing factors of cadmium bioaccumulation factor in crops [J]. Environ. Sci., 2021,42(4):2031-2039. |
[1] | 黄焰新, 吴香, 曹艳, 闫旭宇, 李玲. 外源钙诱导植物应答镉胁迫的效应及作用机制研究进展[J]. 中国农业科技导报, 2025, 27(9): 165-171. |
[2] | 周峻宇, 谷雨, 吴海勇, 李明德, 刘琼峰, 周旋, 董春华. 柠檬酸强化籽粒苋修复镉污染土壤效果研究[J]. 中国农业科技导报, 2025, 27(9): 215-223. |
[3] | 赵昕, 吴子龙, 韩超, 张浩, 宋炜, 李子怡. 丛枝菌根真菌对镉胁迫下狗尾草生长及镉富集的影响[J]. 中国农业科技导报, 2025, 27(5): 193-202. |
[4] | 张余莽, 陈贵娟, 常洪艳, 王永恒, 刘淑霞, 应允秀. 水分胁迫下新型土壤保水剂对玉米苗期发育的影响[J]. 中国农业科技导报, 2025, 27(1): 201-210. |
[5] | 李冰, 朱秀敏, 李代, 杜军霞. 农用植物酵素有效成分及作用机制[J]. 中国农业科技导报, 2024, 26(7): 156-165. |
[6] | 陈小双, 徐兴倩, 赵熹, 屈新, 王海军, 彭光灿. 镉污染红黏土电阻率特性及其评价模型研究[J]. 中国农业科技导报, 2024, 26(4): 164-173. |
[7] | 徐皖菁, 彭芳, 赵豆豆, 罗姣姣, 陶珊, 廖海浪, 毛常清, 吴宇, 朱秀, 徐正君, 张超. 基于转录组和代谢组解析川芎对镉胁迫的响应机制[J]. 中国农业科技导报, 2024, 26(10): 98-109. |
[8] | 杨丽莹, 邰孟雅, 翟夜雨, 许自成, 黄五星. 硫对植物吸收积累镉的影响及其作用机制研究进展[J]. 中国农业科技导报, 2023, 25(8): 10-21. |
[9] | 肖锐, 谭璐, 吴亮, 张皓, 郭佳源, 杨海君. 镉胁迫下地肤根际与非根际土壤微生物群落结构及多样性[J]. 中国农业科技导报, 2023, 25(8): 203-215. |
[10] | 吴香, 李娟, 曹艳, 程艳荣, 闫旭宇, 李玲. 植物根系分泌物响应镉胁迫的研究进展[J]. 中国农业科技导报, 2023, 25(7): 12-20. |
[11] | 王旭东, 任雪冰, 汤舒, 郭琴, 薛梦瑶, 金鹏, 张云华. 污泥生物炭在土壤改良中的应用研究[J]. 中国农业科技导报, 2023, 25(6): 165-173. |
[12] | 庞喆, 王启龙, 李娟. 不同土壤改良剂对陕北低洼盐碱地土壤理化性质及水稻产量和经济效益的影响[J]. 中国农业科技导报, 2023, 25(6): 174-180. |
[13] | 柴冠群, 王丽, 刘桂华, 罗沐欣键, 蒋亚, 梁红, 范成五. 3类朝天椒重金属健康风险评价与镉吸收累积差异[J]. 中国农业科技导报, 2023, 25(3): 169-177. |
[14] | 刘云飞, 韦凤杰, 夏茂林, 于兆锦, 夏昊, 衣春宇, 常剑波, 姬小明. 新型复合水凝胶对镉胁迫烟草幼苗的缓解效应[J]. 中国农业科技导报, 2023, 25(3): 188-197. |
[15] | 周峻宇, 谷雨, 唐珍琦, 吴海勇, 刘琼峰, 李明德. 复合螯合剂对籽粒苋修复镉污染农田的影响[J]. 中国农业科技导报, 2023, 25(12): 186-194. |
阅读次数 | ||||||
全文 |
|
|||||
摘要 |
|
|||||