中国农业科技导报 ›› 2023, Vol. 25 ›› Issue (12): 186-194.DOI: 10.13304/j.nykjdb.2022.0509
周峻宇1(), 谷雨1, 唐珍琦2, 吴海勇1, 刘琼峰1, 李明德1(
)
收稿日期:
2022-06-20
接受日期:
2022-12-04
出版日期:
2023-12-15
发布日期:
2023-12-12
通讯作者:
李明德
作者简介:
周峻宇E-mail:zjy00001@126.com;
基金资助:
Junyu ZHOU1(), Yu GU1, Zhenqi TANG2, Haiyong WU1, Qiongfeng LIU1, Mingde LI1(
)
Received:
2022-06-20
Accepted:
2022-12-04
Online:
2023-12-15
Published:
2023-12-12
Contact:
Mingde LI
摘要:
为提高籽粒苋对农田土壤重金属富集的提取效率,基于田间原位试验,研究了谷氨酸二乙酸四钠([N, N]-bis glutamic acid, GLDA)和次氮基三乙酸(nitrilotriacetic acid, NTA)及其组合(GLDA-NTA)对籽粒苋修复轻中度镉(Cd)污染农田土壤的影响。结果表明,施用GLDA、NTA及GLDA-NTA处理对籽粒苋地上部生物量、Cd富集系数与转运系数、地上部Cd提取量及根际土Cd形态分布等影响不一。与不施螯合剂相比,施用螯合剂处理籽粒苋地上部生物量均无显著变化;3种螯合剂处理对籽粒苋Cd富集系数与转运系数及地上部Cd提取量产生了不同程度的影响,其中GLDA-NTA处理效果最为明显,富集系数、转运系数及地上部Cd提取量显著提高40.83%、15.00%及179.67%。此外,施用GLDA、NTA及GLDA-NTA处理对根际土Cd形态分布影响程度不一,其中以GLDA-NTA处理最为明显,水溶态、酸溶态、可还原态、可氧化态及残渣态占比变化率分别为3.28%、22.09%、-26.28%、-1.33%及2.24%。因此,复合螯合剂联合籽粒苋植物修复可高效活化重金属,提升植株对农田土壤Cd的提取效率,是一种具有前景性、绿色性及可借鉴性的Cd污染联合修复方法,对轻中度Cd污染农田治理具有重要的参考价值和指导意义。
中图分类号:
周峻宇, 谷雨, 唐珍琦, 吴海勇, 刘琼峰, 李明德. 复合螯合剂对籽粒苋修复镉污染农田的影响[J]. 中国农业科技导报, 2023, 25(12): 186-194.
Junyu ZHOU, Yu GU, Zhenqi TANG, Haiyong WU, Qiongfeng LIU, Mingde LI. Effect of Compound Chelating Agent on Remediation of Cadmium Contaminated Farmland by Amaranthus hypochondriacus L.[J]. Journal of Agricultural Science and Technology, 2023, 25(12): 186-194.
图1 不同螯合剂处理下籽粒苋的地上部生物量注:不同小写字母表示不同螯合剂处理间差异在P<0.05水平显著。
Fig. 1 Biomass of aboveground parts of Amaranthus hypochondriacus L. under different chelating agentsNote: Different lowercase letters indicate significant differences at P<0.05 level between different chelating agents treatments.
处理Treatment | Cd含量Cd content/(mg·kg-1) | 富集系数 Bioconcentration factor | 转运系数 Translocation factor | |
---|---|---|---|---|
地上部 Aboveground parts | 地下部 Underground parts | |||
T1 | 10.14±1.64 b | 7.21±0.26 ab | 7.69±1.26 b | 1.40±0.21 b |
T2 | 13.20±2.42 ab | 8.87±1.18 a | 9.35±1.15 ab | 1.49±0.17 ab |
T3 | 10.24±3.42 b | 6.67±1.39 b | 8.41±3.28 ab | 1.52±0.30 ab |
T4 | 14.84±1.37 a | 9.25±1.20 a | 10.83±0.85 a | 1.61±0.11 a |
表1 不同螯合剂处理下的籽粒苋Cd含量及富集、转运系数
Table 1 Cd content and bioconcentration and translocation factor under different chelating agents
处理Treatment | Cd含量Cd content/(mg·kg-1) | 富集系数 Bioconcentration factor | 转运系数 Translocation factor | |
---|---|---|---|---|
地上部 Aboveground parts | 地下部 Underground parts | |||
T1 | 10.14±1.64 b | 7.21±0.26 ab | 7.69±1.26 b | 1.40±0.21 b |
T2 | 13.20±2.42 ab | 8.87±1.18 a | 9.35±1.15 ab | 1.49±0.17 ab |
T3 | 10.24±3.42 b | 6.67±1.39 b | 8.41±3.28 ab | 1.52±0.30 ab |
T4 | 14.84±1.37 a | 9.25±1.20 a | 10.83±0.85 a | 1.61±0.11 a |
图2 不同螯合剂处理下籽粒苋的地上部Cd提取量注:不同小写字母表示不同螯合剂处理间差异在P<0.05水平显著。
Fig. 2 Amount of Cd extracted by the aboveground parts of Amaranthus hypochondriacus L. under different chelating agentsNote:Different lowercase letters indicate significant differences at P<0.05 level between different chelating agents treatments.
图3 不同螯合剂处理下的土壤pH变化注:不同小写字母表示不同螯合剂处理间差异在P<0.05水平显著。
Fig. 3 Changes of soil pH under different chelating agentsNote:Different lowercase letters indicate significant differences at P<0.05 level between different chelating agents treatments.
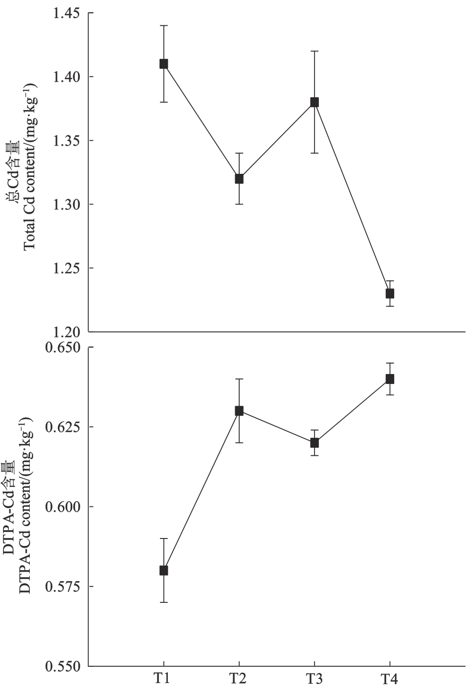
指标 Index | 有机质 Organic matter | 土壤总镉 Soil total Cd | DTPA-Cd | 地上部生物量 Aboveground biomass | 地上部镉含量 Aboveground Cd content | 地上部镉提取量 Aboveground Cd extraction quantity |
---|---|---|---|---|---|---|
pH | 0.503* | 0.755** | 0.307 | 0.567 | 0.132 | 0.457 |
有机质 Organic matter | 0.662** | 0.642** | -0.109 | 0.120 | 0.084 | |
土壤总镉 Soil total Cd | 0.573** | 0.461 | 0.457 | 0.616* | ||
DTPA-Cd | -0.091 | -0.126 | -0.101 | |||
地上部生物量 Aboveground biomass | 0.356 | 0.832** | ||||
地上部镉含量 Aboveground Cd content | 0.796** |
表2 土壤理化性质与地上部生物量及Cd吸收累积的皮尔逊相关系数
Table 2 Pearson’s correlation coefficient between the soil physical and chemical properties and biomass, Cd uptake and accumulation in aboveground parts
指标 Index | 有机质 Organic matter | 土壤总镉 Soil total Cd | DTPA-Cd | 地上部生物量 Aboveground biomass | 地上部镉含量 Aboveground Cd content | 地上部镉提取量 Aboveground Cd extraction quantity |
---|---|---|---|---|---|---|
pH | 0.503* | 0.755** | 0.307 | 0.567 | 0.132 | 0.457 |
有机质 Organic matter | 0.662** | 0.642** | -0.109 | 0.120 | 0.084 | |
土壤总镉 Soil total Cd | 0.573** | 0.461 | 0.457 | 0.616* | ||
DTPA-Cd | -0.091 | -0.126 | -0.101 | |||
地上部生物量 Aboveground biomass | 0.356 | 0.832** | ||||
地上部镉含量 Aboveground Cd content | 0.796** |
1 | WANG G, ZHANG S, ZHONG Q, et al.. Feasibility of Chinese cabbage (Brassica bara) and lettuce (Lactuca sativa) cultivation in heavily metals-contaminated soil after washing with biodegradable chelators [J]. J. Clean. Prod., 2018, 197:479-490. |
2 | WANG G, ZHANG S, ZHONG Q, et al.. Effect of soil washing with biodegradable chelators on the toxicity of residual metals and soil biological properties [J]. Sci. Total Environ., 2018, 625:1021-1029. |
3 | WANG J, XING Y, LI P, et al.. Chemically-assisted phytoextraction from metal(loid)s-polluted soil at a typical carlin-type gold mining area in southwest China [J]. J. Clean. Prod., 2018, 189:612-619. |
4 | 湖南省发展和改革委员会.关于湖南省第二次土地调查主要数据成果的公报[R/OL]. (2014-03-07)[2022-05-20]. . |
5 | 黄道友,朱奇宏,朱捍华,等.重金属污染耕地农业安全利用研究进展与展望[J].农业现代化研究,2018,39(6):1030-1043. |
HUANG D Y, ZHU Q H, ZHU H H, et al.. Advances and prospects of safety agro-utilization of heavy metal contaminated farmland soil [J]. Res. Agric. Modernization, 2018, 39(6):1030-1043. | |
6 | 谷雨,蒋平,谭丽,等.6种植物对土壤中镉的富集特性研究[J].中国农学通报,2019,35(30):119-123. |
GU Y, JIANG P, TAN L, et al.. Enrichment characteristics of cadmium by six plants in soil [J]. Chin. Agric. Sci. Bull., 2019, 35(30):119-123. | |
7 | 韩廿,黄益宗,魏祥东,等.螯合剂对油葵修复镉砷复合污染土壤的影响[J].农业环境科学学报,2019,38(8):1891-1900. |
HAN N, HUANG Y Z, WEI X D, et al.. Effect of chelating agents on remediation of cadmium and arsenic complex contaminated soil using oil sunflower [J]. J.Agro-Environ.Sci., 2019, 38(8): 1891-1900. | |
8 | NADGORSKA-SOCHA A, KANDZIORA-CIUPA M, TRZESICKI M, et al.. Air pollution tolerance index and heavy metal bioaccumulation in selected plant species from urban biotopes [J]. Chemosphere, 2017, 183:471-482. |
9 | DING P, ZHUANG P, LI Z, et al.. Accumulation and detoxification of cadmium by larvae of Prodenia litura (Lepidoptera: noctuidae) feeding on Cd-enriched amaranth leaves [J]. Chemosphere, 2013, 91 : 28-34. |
10 | 李晓宝,董焕焕,任丽霞,等.螯合剂修复重金属污染土壤联合技术研究进展[J].环境科学研究,2019,32(12):1993-2000. |
LI X B, DONG H H, REN L X, et al.. Effects of chelating agent combination technologies on soil contaminated by heavy metals [J]. Res. Environ. Sci., 2019, 32(12):1993-2000. | |
11 | ASENSIO V G, FLORIDO F, RUIZ F, et al.. Screening of native tropical trees for phytoremediation in copper-polluted soils [J]. Int. J. Phytoremediation, 2018, 20(14): 1456-1463. |
12 | CHENG X, CHIQUAN H, SHI Z, et al.. Effect of spent mushroom substrate on strengthening the phytoremediation potential of Ricinus communis to Cd-and Zn-polluted soil [J]. Int. J. Phytoremediation, 2018, 20(14):1389-1399. |
13 | GUO H, SUN H, SU Z, et al.. Fe3O4@PAM@NTA-Ni2+ magnetic composite nanoparticles for highly specific separation of his-tagged proteins [J]. J. Wuhan Univ. Technol., 2018, 33(3):559-565. |
14 | GUO D, ALI A, REN C, et al.. EDTA and organic acids assisted phytoextraction of Cd and Zn from a smelter ontaminated soil by potherb mustard (Brassica juncea, Coss) and evaluation of its bioindicators [J]. Ecotox. Environ. Safe., 2019, 167:396-403. |
15 | SUBRAMANIAN B, CHRISTOU S Y, EFSTATHIOU A M, et al.. Regeneration of three-way automobile catalysts using biodegradable metal chelating agent-S, S-ethylenediamine disuccinic acid (S, S-EDDS) [J]. J. Hazard. Mater., 2011, 186(2-3):999-1006. |
16 | 卫泽斌,陈晓红,吴启堂,等.可生物降解螯合剂GLDA诱导东南景天修复重金属污染土壤的研究[J].环境科学,2015,36(5):1864-1869. |
WEI Z B, CHEN X H, WU Q T, et al.. Enhanced phytoextraction of heavy metals from contaminated soils using Sedum alfrediihance with biodegradable chelate GLDA [J]. Environ. Sci., 2015, 36(5):1864-1869. | |
17 | LIU X Y, MAO Y, ZHANG X Y, et al.. Effects of PASP/NTA and TS on the phytoremediation of pyrene-nickel contaminated soil by Bidens pilosa L. [J/OL]. Chemosphere, 2019:124502 [2022-05-20]. . |
18 | TANANONCHAI A, SANPANPANISH P, CHANPIWAT P, et al.. Effect of EDTA and NTA on cadmium distribution and translocation in Pennisetum purpureum Schum cv. Mott [J]. Environ. Sci. Pollut. Res., 2019, 26(10):9851-9860. |
19 | SAMPANPANISH P, NANTHAVONG K. Effect of EDTA and NTA on arsenic bioaccumulation and translocation using phytoremediation by Mimosa pudica L. from contaminated soils [J]. Bull. Environ. Contam. Tox., 2019, 102(1):140-145. |
20 | WANG K, LIU Y, SONG Z, et al.. Chelator complexes enhanced Amaranthus hypochondriacus L. phytoremediation efficiency in Cd-contaminated soils [J/OL]. Chemosphere, 2019, 237:124480 [2022-05-20].. |
21 | 鲍士旦.土壤农化分析[M].三版.北京:中国农业出版社,2013:1-495. |
22 | 中华人民共和国环境保护部. 土壤和沉积物12种金属元素的测定 王水提取-电感耦合等离子体质谱法: [S].北京:中国环境科学出版社,2016. |
23 | 中华人民共和国国家质量监督检测检疫总局. 土壤质量 有效态铅和镉的测定 原子吸收法: [S].北京:中国标准出版社,2009. |
24 | GOTTLEIN A. Sampling of rhizosphere soil and collection of rhizosphere soil solution// LUSTERJ, FINLAYR, BRUNNERI. Handbook of Methods Used in Rhizosphere Research [M]. Birmensdorf: Swiss Federal Research Institute WSL, 2006: 25-29. |
25 | 金鹏康,刘柯君,王先宝.慢速可生物降解有机物的转化特性及利用[J].环境工程学报,2016,10(5):2168-2174. |
JIN P K, LIU K J, WANG X B. Conversion and utilization of slowly biodegradable organic matter [J]. Chin. J. Environ. Eng., 2016, 10(5):2168-2174. | |
26 | DAI S, LI H, YANG Z, et al.. Effects of biochar amendments on speciation and bioavailability of heavy metals in coal-mine-contaminated soil [J]. Hum. Ecol. Risk Assess., 2018, 24(7):1887-1900. |
27 | HOU S, ZHENG N, TANG L, et al.. Effect of soil pH and organic matter content on heavy metals availability in maize (Zea mays L.) rhizospheric soil of non-ferrous metals smelting area [J/OL]. Environ. Monit. Assess., 2019, 191(10):634 [2022-05-20]. . |
28 | LUO C, SHEN Z, LI X, et al.. Enhanced phytoextraction of Pb and other metals from artificially contaminated soils through the combined application of EDTA and EDDS [J]. Chemosphere, 63(10):1773-1784. |
29 | 周宽,皇甫卓曦,钟承韡,等.可生物降解螯合剂GLDA诱导葎草修复镉污染土壤[J].环境工程,2021,39(5):165-170, 79. |
ZHOU K, HUANGFU Z X, ZHONG C W, et al.. Biodegradable chelate glda enhanced phytoextraction forcadmium-contaminated soil [J]. Environ. Eng., 2021, 39(5):165-170, 79. | |
30 | MOHAMED M A, EFLIGENIR A, HUSSON J, et al.. Extraction of heavy metals from a contaminated soil by reusing chelating agent solutions [J]. J. Environ. Chem. Eng., 2013, 1(3):363-368. |
31 | 覃建军,唐盛爽,蒋凯,等.螯合剂GLDA对象草修复镉污染农田的影响[J].环境科学,2020,41(8):3862-3869. |
QIN J J, TANG S S, JIANG K, et al.. Effects of chelate GLDA on the remediation of cadmium contaminated farmland by pennisetum purpureum schum [J]. Environ. Sci., 2020, 41(8):3862-3869. | |
32 | 李非里,邵鲁泽,吴兴飞,等.植物修复重金属强化技术和间套种研究进展[J].浙江工业大学学报,2021,49(3):345-354. |
LI F L, SHAO L Z, WU X F, et al.. Research progress of enhanced phytoremediation for heavy metals and intercropping technique [J]. J. Zhejiang Univ. Technol., 2021, 49(3):345-354. | |
33 | GHNAVA T, ZAIER H, BAIOUI R, et al.. Implication of organic acids in the long-distance transport and the accumulation of lead in Sesuvium portulacastrum and Brassica juncea [J]. Chemosphere, 2013, 90(4):1449-1454. |
34 | 梅闯,王衡,蔡昆争,等.生物炭对土壤重金属化学形态影响的作用机制研究进展[J]. 生态与农村环境学报,2021,37(4):421-429. |
MEI C, WANG H, CAI K Z, et al.. Advances of effects and mechanisms of biochar on chemical forms of heavy metals in contaminated soil [J]. J. Ecol. Rural Environ., 2021, 37(4):421-429. | |
35 | 陈春乐,杨婷,邹县梅,等.可生物降解螯合剂亚氨基二琥珀酸和谷氨酸N, N-二乙酸对重金属污染土壤的淋洗修复及动力学特征[J].生态与农村环境学报,2021,37(3):394-401. |
CHEN C L, YANG T, ZOU X M, et al.. Remediation of heavy metal contaminated soil by biodegradable chelating agents of ids and glda washing and their washing kinetics characteristics [J]. J. Ecol. Rural Environ., 2021, 37(3):394-401. | |
36 | 陈雅慧,杨轶雄,李宁锋,等.复合螯合剂对铺地竹铅富集及土壤环境的影响[J].环境科学与技术,2021,44(4):140-148. |
CHEN Y H, YANG Y X, LI N F, et al.. Effect of compound chelating agent on the accumulation of Pb in Sasa argenteostriata E.G. Camus and soil environment [J]. Environ. Sci. Technol., 2021, 44(4):140-148. | |
37 | WANG G, ZHANG S, XU X, et al.. Heavy metal removal by GLDA washing: optimization, redistribution, recycling, and changes in soil fertility [J]. Sci. Total Environ.,2016, 569-570(1):557-568. |
38 | 吴仁杰,陈银萍,曹雯婕,等.营养元素与螯合剂强化植物修复重金属污染土壤研究进展[J].中国土壤与肥料,2021(5):328-337. |
WU R J, CHEN Y P, CAO W J, et al.. Research advances in phytoremediation of heavy metal contaminated soil strengthened by chelating agents and nutrient elements [J]. Soil Fert. Sci. China, 2021(5):328-337. | |
39 | 史广宇,余志强,施维林.植物修复土壤重金属污染中外源物质的影响机制和应用研究进展[J].生态环境学报,2021,30(3):655-666. |
SHI G Y, YU Z Q, SHI W L. Research progress on mechanism and application of exogenous substances in phytoremediation of heavy metal contaminated soil [J]. Ecol. Environ. Sci., 2021, 30(3):655-666. | |
40 | 王凯.复合蝥合剂强化籽粒苋修复Cd污染土壤效果研究[D]. 武汉:华中农业大学,2019. |
WANG K. Chelator complexes enhanced phytoremediation of Cd contaminated soils with Amaranthus hypochondriacus L. [D]. Wuhan: Huazhong Agricultural University, 2019. | |
41 | 宋波,张云霞,田美玲,等.应用籽粒苋修复镉污染农田土壤的潜力[J].环境工程学报,2019,13(7):1711-1719. |
SONG B, ZHANG Y X, TIAN M L, et al.. Potential for cadmium contaminated farmland remediation with Amaranthus hypochondriacus L. [J]. Chin. J. Environ. Eng., 2019, 13(7):1711-1719. | |
42 | 景琪.螯合剂强化超富集植物修复重金属污染土壤的研究[D]. 武汉: 武汉理工大学,2014. |
JING Q. Study on chelator-enhanced remediation of heavy metal contaminated soil by hyperaccumulator [D]. Wuhan: Wuhan University of Technology, 2014. | |
43 | ZHANG X, ZHONG B, SHAFI M, et al.. Effect of EDTA and citric acid on absorption of heavy metals and growth of Moso bamboo [J]. Environ. Sci. Pollut. Res. Int., 2018, 25(19):18846-18852. |
44 | 谢斯扬,凌定勋,王平,等. PASP和NAA组配调控生物质高粱萃取镉效果研究[J].中南林业科技大学学报,2022,42(6):144-151. |
XIE S Y, LING D X, WANG P, et al.. Effect of PASP and NAA coupling on extraction of cadmium from Sorghum dochna (Forssk.) Snowden [J]. J. Central South Univ. For. Technol.,2022, 42(6):144-151. | |
45 | 卫泽斌,郭晓方,吴启堂,等.混合螯合剂的不同施加方式对重金属污染土壤套种修复效果的影响[J].华南农业大学学报,2016,37(1):29-34. |
WEI Z B, GUO X F, WU Q T, et al.. Effects of different application methods of mixed chelators on remediation of heavy metal contaminated soil in interplanting system [J]. J. South China Agric. Univ., 2016, 37(1):29-34. | |
46 | 谷雨,黄铁平,唐珍琦,等.籽粒苋修复土壤重金属污染研究进展[J].农学学报,2020,10(10):41-45. |
GU Y, HUANG T P, TANG Z Q, et al.. Remediation of heavy metal contaminated soil by Amaranthus hypochondriacus: research progress [J]. J. Agric., 2020, 10(10):41-45. | |
47 | 王正,孙兆军, Sameh Mohamed, 等. 胺鲜酯与螯合剂GLDA联合强化柳枝稷吸收积累镉效果[J].环境科学,2020,41(12):5589-5599. |
WANG Z, SUN Z J, SAMEH M, et al.. DA-6 and GLDA enhanced Pancium virgatum L.to phytoextract Cd from contaminated soils [J]. Environ. Sci., 2020, 41(12):5589-5599. | |
48 | 贺玉龙,余江,谢世前,等. 可生物降解螯合剂GLDA强化三叶草修复镉污染土壤[J].环境科学,2020,41(2):979-985. |
HE Y L, YU J, XIE S Q, et al.. Enhanced phytoextraction of Cadmium contaminated soil by Trifolium repens with biodegradable chelate GLDA [J]. Environ. Sci., 2020, 41(2):979-985. |
[1] | 周峻宇, 谷雨, 吴海勇, 李明德, 刘琼峰, 周旋, 董春华. 柠檬酸强化籽粒苋修复镉污染土壤效果研究[J]. 中国农业科技导报, 2025, 27(9): 215-223. |
[2] | 刘岑薇, 叶菁, 林怡, 李艳春, 王义祥. 炭基猪粪肥对叶用甘薯产量及土壤Pb、Cd钝化效果的影响[J]. 中国农业科技导报, 2025, 27(4): 169-178. |
[3] | 牛桂言1,邵惠芳1*,朱金峰2,黄五星1,许自成1,郭利3. 我国植烟土壤修复的研究进展[J]. 中国农业科技导报, 2017, 19(3): 115-122. |
[4] | 闫志宇1,翟蓓蓓1,张娟2,王树香1,李红亚1,王全1,李术娜1*. 乙草胺降解菌Bacillus subtilis L3的土壤修复效果研究[J]. 中国农业科技导报, 2016, 18(2): 65-71. |
阅读次数 | ||||||
全文 |
|
|||||
摘要 |
|
|||||