中国农业科技导报 ›› 2022, Vol. 24 ›› Issue (4): 21-29.DOI: 10.13304/j.nykjdb.2021.0721
王瑞霞1(), 翟晓灵2(
), 李玉刚2, 牟秋焕1, 孙盈盈1, 孙宪印1, 米勇1, 吕广德1, 盖红梅2(
), 钱兆国1(
)
收稿日期:
2021-08-20
接受日期:
2021-12-09
出版日期:
2022-04-15
发布日期:
2022-04-19
通讯作者:
盖红梅,钱兆国
作者简介:
王瑞霞和翟晓灵为本文共同第一作者。王瑞霞 E-mail: ruixiawangli@163.com基金资助:
Ruixia WANG1(), Xiaoling ZHAI2(
), Yugang LI2, Qiuhuan MU1, Yingying SUN1, Xianyin SUN1, Yong MI1, Guangde LYU1, Hongmei GE2(
), Zhaoguo QIAN1(
)
Received:
2021-08-20
Accepted:
2021-12-09
Online:
2022-04-15
Published:
2022-04-19
Contact:
Hongmei GE,Zhaoguo QIAN
摘要:
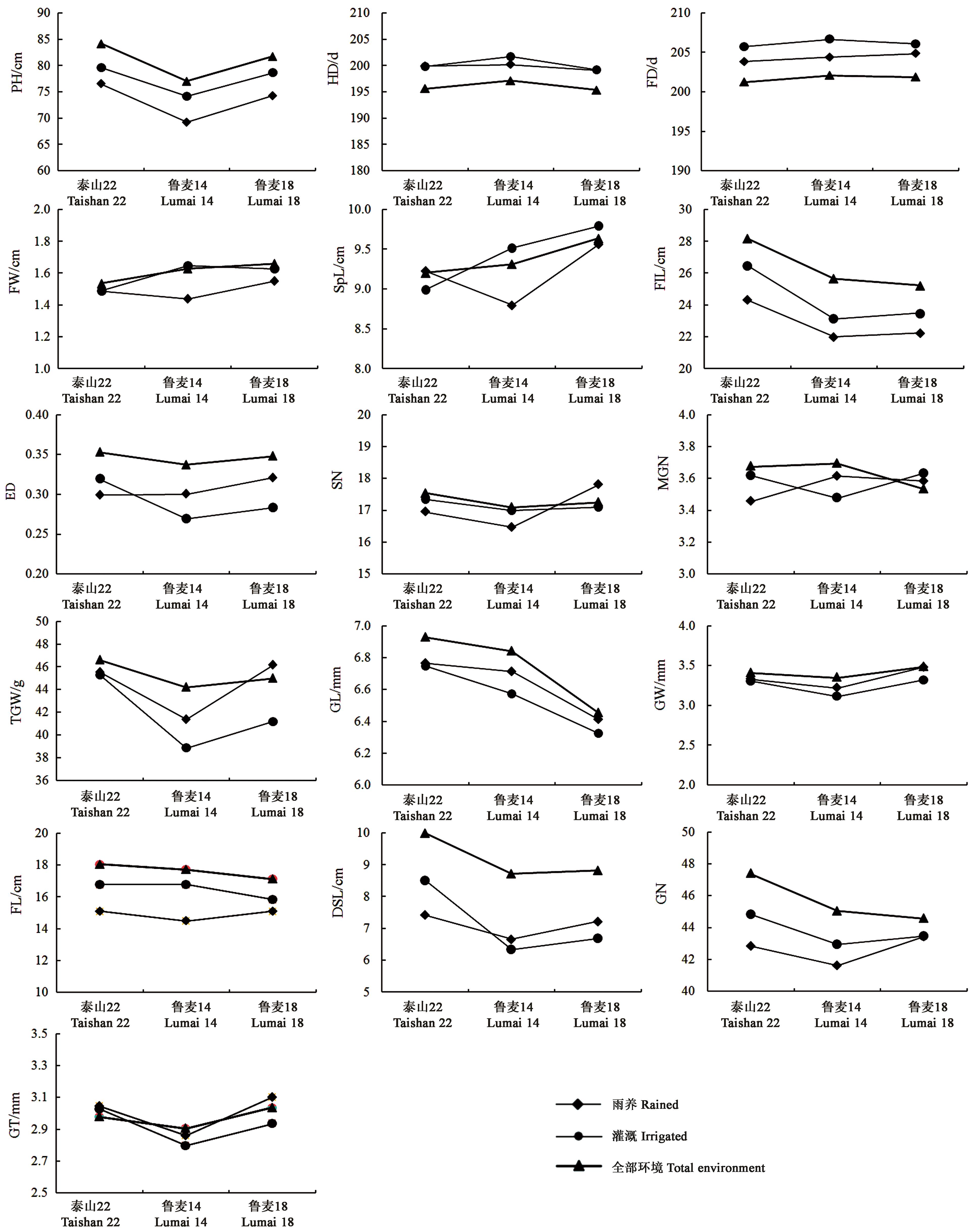
为探索育种选择对小麦基因组的影响,利用小麦90K SNP芯片分析了鲁麦18(母本)和鲁麦14(父本)对泰山22的遗传贡献率。结果表明,鲁麦18对泰山22号的贡献略大于鲁麦14,遗传贡献率分别为51.87%和48.13%。父母本在染色体间的遗传贡献率存在较大差异,父本鲁麦14贡献率超过50%的染色体有1A、1B、2A、3B、4A、6A、7A、7B和7D,其中3B、6A、7A超过85%;而母本鲁麦18在除此之外的12条染色体的遗传贡献率均大于50.00%,其中2B、5B超过98.00%。亲本遗传信息主要以染色体大片段形式传递到子代,如1B、2D、4A、5A、5B、6B、7A等染色体。对亲本和子代进行多年多点的农艺性状调查,发现泰山22号的株高、穗下节间长、穗叶距等株型相关性状和抽穗期等生育期性状高于高值亲本鲁麦18;有效小穗数、穗粒数和千粒重等产量相关性状在自然降雨条件下介于二者之间,在其余环境条件下均显著高于高值亲本鲁麦18,呈明显的超亲遗传;泰山22号粒长性状在不同水分条件下均高于高值亲本鲁麦18,其粒宽和粒厚均介于双亲之间。从基因组层面分析了育种亲本对子代的遗传贡献,展示了杂交育种及人工选择对农艺性状及基因组造成的影响。
中图分类号:
王瑞霞, 翟晓灵, 李玉刚, 牟秋焕, 孙盈盈, 孙宪印, 米勇, 吕广德, 盖红梅, 钱兆国. 利用小麦90K SNP芯片研究泰山22的遗传组成[J]. 中国农业科技导报, 2022, 24(4): 21-29.
Ruixia WANG, Xiaoling ZHAI, Yugang LI, Qiuhuan MU, Yingying SUN, Xianyin SUN, Yong MI, Guangde LYU, Hongmei GE, Zhaoguo QIAN. Genetic Composition of Taishan 22 Using High-density 90K SNP Array[J]. Journal of Agricultural Science and Technology, 2022, 24(4): 21-29.
染色体 Chromosome | 总差异位点 Total differential loci | 鲁麦18 Lumai 18 | 鲁麦14 Lumai 14 | ||
---|---|---|---|---|---|
差异位点 Differential loci | 贡献率 Contribution rate /% | 差异位点 Differential loci | 贡献率 Contribution rate/% | ||
1A | 382 | 153 | 40.05 | 229 | 59.95 |
1B | 538 | 137 | 25.46 | 401 | 74.54 |
1D | 159 | 112 | 70.44 | 47 | 29.56 |
2A | 210 | 69 | 32.86 | 141 | 67.14 |
2B | 432 | 425 | 98.38 | 7 | 1.62 |
2D | 394 | 267 | 67.77 | 127 | 32.23 |
3A | 428 | 340 | 79.44 | 88 | 20.56 |
3B | 495 | 68 | 13.74 | 427 | 86.26 |
3D | 85 | 61 | 71.76 | 24 | 28.24 |
4A | 315 | 67 | 21.27 | 248 | 78.73 |
4B | 196 | 115 | 58.67 | 81 | 41.33 |
4D | 14 | 8 | 57.14 | 6 | 42.86 |
5A | 596 | 378 | 63.42 | 218 | 36.58 |
5B | 1 121 | 1 110 | 99.02 | 11 | 0.98 |
5D | 63 | 48 | 76.19 | 15 | 23.81 |
6A | 510 | 23 | 4.51 | 487 | 95.49 |
6B | 615 | 432 | 70.24 | 183 | 29.76 |
6D | 36 | 22 | 61.11 | 14 | 38.89 |
7A | 459 | 61 | 13.29 | 398 | 86.71 |
7B | 430 | 179 | 41.63 | 251 | 58.37 |
7D | 35 | 8 | 22.86 | 27 | 77.14 |
总计 Total | 7 513 | 4 083 | 51.87 | 3 430 | 48.13 |
表1 鲁麦18和鲁麦14在21条染色体对泰山22号的遗传贡献
Table 1 Genetic contribution of Lumai 18 and Lumai 14 on Taishan 22 with SNP on 21 chromosomes
染色体 Chromosome | 总差异位点 Total differential loci | 鲁麦18 Lumai 18 | 鲁麦14 Lumai 14 | ||
---|---|---|---|---|---|
差异位点 Differential loci | 贡献率 Contribution rate /% | 差异位点 Differential loci | 贡献率 Contribution rate/% | ||
1A | 382 | 153 | 40.05 | 229 | 59.95 |
1B | 538 | 137 | 25.46 | 401 | 74.54 |
1D | 159 | 112 | 70.44 | 47 | 29.56 |
2A | 210 | 69 | 32.86 | 141 | 67.14 |
2B | 432 | 425 | 98.38 | 7 | 1.62 |
2D | 394 | 267 | 67.77 | 127 | 32.23 |
3A | 428 | 340 | 79.44 | 88 | 20.56 |
3B | 495 | 68 | 13.74 | 427 | 86.26 |
3D | 85 | 61 | 71.76 | 24 | 28.24 |
4A | 315 | 67 | 21.27 | 248 | 78.73 |
4B | 196 | 115 | 58.67 | 81 | 41.33 |
4D | 14 | 8 | 57.14 | 6 | 42.86 |
5A | 596 | 378 | 63.42 | 218 | 36.58 |
5B | 1 121 | 1 110 | 99.02 | 11 | 0.98 |
5D | 63 | 48 | 76.19 | 15 | 23.81 |
6A | 510 | 23 | 4.51 | 487 | 95.49 |
6B | 615 | 432 | 70.24 | 183 | 29.76 |
6D | 36 | 22 | 61.11 | 14 | 38.89 |
7A | 459 | 61 | 13.29 | 398 | 86.71 |
7B | 430 | 179 | 41.63 | 251 | 58.37 |
7D | 35 | 8 | 22.86 | 27 | 77.14 |
总计 Total | 7 513 | 4 083 | 51.87 | 3 430 | 48.13 |
图3 泰山22号的遗传组成图谱注:每组图谱自左向右依次代表鲁麦18、鲁麦14和泰山22号染色体及SNP在整合遗传图中的染色体定位。红色、蓝色、浅黄色、灰色分别表示鲁麦18特有、鲁麦14特有、共有、非亲本等位变异。
Fig. 3 Genetic composition map of Taishan 22Note:From left to right, the spectrum of each group indicate chromosomes of Lumai 18, Lumai 14, and Taishan 22, and the chromosomal location of SNP in the integrated genetic map. Red, blue, light yellow and gray indicate alleles that Lumai 18 unique,Lumai 14 unique, both of and none of the two parents.
图4 泰山22号及其亲本鲁麦18、鲁麦14在多个环境下的农艺性状表现注:PH—株高;HD—抽穗期; FD—开花期; FL—旗叶长; FW—旗叶宽; SL—穗长; ILS—穗下节间长; LFS—穗叶距; ED— 抽穗度; SN—小穗数; GN—穗粒数; TGW—千粒重; GL—粒长; GW—粒宽; GT—粒厚。
Fig.4 Agronomic traits of Taishan22 and its parents in several cultivated environmentsNote: PH—Plant height; HD—Days from sowing to heading; FD—Days from sowing to flowering; FL—Flag leaf length; FW—Flag leaf width; SL—Spike length; ILS—Internode length below spike; LFS—Length from flag leaf pulvinus to spike base; ED— Earing degree; SN—Spikelet number per spike; GN—Grain number per spike; TGW—1 000-grain weight; GL— Grain length; GW—Grain width; GT—Grain thickness.
1 | 许陶瑜,唐朝晖,王长彪,等. SNP标记在小麦遗传育种中的应用研究进展[J].山西农业科学,2017,45(9):1549-1552. |
XU T Y, TANG Z H, WANG C B, et al.. Research progress on the application SNP marker in genetic breeding of wheat [J]. J. Shanxi Agric. Sci., 2017,45(9):1549-1552. | |
2 | 刘易科,朱展望,陈泠,等.基于SNP标记揭示我国小麦品种(系)的遗传多样性[J].作物学报,2020,46(2):307-314. |
LIU Y K, ZHU Z W, CHEN L, et al.. Revealing the genetic diversity of wheat varieties (lines) in China based on SNP markers [J]. Acta Agron. Sin., 2020,46(2):307-314. | |
3 | 张德强,宋晓朋,冯洁,等.小麦周8425B及其衍生品种与黄淮麦区主栽品种的遗传解析[J].麦类作物学报, 2016,36(10):1328-1334. |
ZHANG D Q, SONG X P, FENG J, et al.. Genetic dissection on the derived lines from wheat cultivar Zhou 8425B and widely grown cultivars in Huang-Huai region [J]. J. Triticeae Crops, 2016,36(10):1328-1334. | |
4 | 徐鑫,李小军.小麦骨干亲本研究进展[J].河南农业科学,2012,41(2): 5-8. |
XU X, LI X J. Research progress of founder parents in wheat [J]. J. Henan Agric. Sci.,2012,41(2):5-8. | |
5 | 杨子博,王安邦,冷苏凤,等.小麦新品种淮麦33的遗传构成分析[J].中国农业科学,2018,51(17):3237-3248. |
YANG Z B, WANG A B, LENG S F, et al.. Genetic analysis of the Novel High-Yielding Wheat Cultivar Huaimai 33 [J]. Sci. Agric. Sin.,2018,51(17):3237-3248. | |
6 | 于海霞,肖静,田纪春.小麦骨干亲本矮孟牛及其衍生后代遗传解析[J].中国农业科学,2012,45(2):199-207. |
YU H X, XIAO J, TIAN J C. Genetic dissection of milestone parent aimengniu and its derivatives [J]. Sci. Agric. Sin.,2012,45: 199-207. | |
7 | 庄巧生.中国小麦品种改良及系谱分析[M].北京:中国农业出版社,2003: 1-681. |
8 | 方正,翟冬峰,刘维正. 试论种质资源创新是小麦育种的前期工程[J].小麦研究,2016,37(2):1-6. |
FANG Z, ZHAI D F, LIU W Z. Discussion on the germplasm innovation as the per-breeding program in wheat breeding [J]. J. Wheat Res.,2016,37(2):1-6. | |
9 | 盖红梅,李玉刚,王瑞英,等. 鲁麦14对山东新选育小麦品种的遗传贡献[J]. 作物学报,2012,38(6):954-961. |
GE H M, LI Y G, WANG R Y, et al.. Genetic contribution of Lumai 14 to novel wheat varieties developed in Shandong province [J]. Acta Agron. Sin., 2012,38(6):954-961. | |
10 | 方正,翟冬峰.冬小麦杂交育种实践60年回顾[J].山东农业科学,2013,45(3):114-118. |
FANG Z, ZHAI D F. A review of winter wheat hybrid breeding in the past sixty years [J]. Shandong Agric. Sci.,2013,45(3):114-118. | |
11 | 刘兆晔,于经川,孙妮娜,等.骨干亲本鲁麦13、鲁麦14在山东小麦育种中的应用[J].农业科技通讯,2015(1):87-90. |
LIU Z Y, YU J C, SUN N N, et al..The application of founder parents Lumai 13 and Lumai 14 in wheat breeding of Shandong province [J]. Bull. Agric. Sci. Tech., 2015(1):87-90. | |
12 | 孙妮娜,赵明,王冬梅,等. 小麦骨干亲本‘鲁麦14’的育种价值分析[J]. 中国农学通报 2020,36(10):13-17. |
SUN N N, ZHAO M, WANG D M, et al.. Breeding value of wheat key parent material ‘Lumai 14’ [J]. Chin. Agric. Sci. Bull., 2020,36(10):13-17. | |
13 | 李小军,胡铁柱,李淦 等. 小麦品种百农AK58及其姊妹系的遗传构成分析[J]. 作物学报,2012,38(3):436-446. |
LI X J, HU T Z, LI J, et al.. Genetic analysis of broad-grown wheat cultivar Bainong AK58 and its sib lines [J]. Acta Agron. Sin.,2012,38: 436-446. | |
14 | 李俊,万洪深,杨武云,等.小麦新品种川麦104的遗传构成分析[J]. 中国农业科学,2014,47(12):2281-2291. |
LI J, WAN H S, YANG W Y,et al.. Dissection of genetic components in the new high-yielding wheat cultivar Chuanmai 104 [J]. Sci. Agric. Sin.,2014,47(12):2281-2291. | |
15 | 邹少奎,殷贵鸿,唐建卫,等.小麦品种周麦22号的分子遗传基础及其特异引物筛选[J].麦类作物学报,2017,37(4):472-482. |
ZOU S K, YIN G H, TANG W J, et al.. Genetic analysis of new wheat variety Zhoumai 22 and screening of specific primers [J]. J. Triticeae Crops, 2017,37(4):472-482. | |
16 | 孔子明,宋晓朋.小麦品种周麦16的遗传构成分析[J].种子,2020,39(9):117-119. |
KONG Z M, SONG X P. Genetic composition analysis of wheat variety Zhoumai 16 [J]. Seed, 2020,39(9):117-119. | |
17 | 李玉刚,任民,孙绿,等.利用SSR和SNP标记分析鲁麦14对青农2号的遗传贡献[J].作物学报,2018,44(2):159-168. |
LI Y G, REN M, SUN L, et al.. Genetic contribution of Lumai 14 to Qingnong 2 revealed by SSR and SNP markers [J]. Acta Agron. Sin.,2018,44(2):159-168. | |
18 | GE H M, YOU G X, WANG L F, et al.. Genome selection sweep and association analysis shed light on future breeding by design in wheat [J]. Crop Sci.,2012,52:1218-1228. |
19 | 韩俊,张连松,李静婷,等.小麦骨干亲本“胜利麦/燕大1817”杂交组合后代衍生品种遗传构成解析[J].作物学报,2009,35(8): 1395-1404. |
HAN J, ZHANG L S, LI J T, et al. Molecular dissection of core parental cross “Triumph/Yanda 1817” and its derivatives in wheat breeding program [J]. Acta Agron. Sin.,2009,35(8):1395-1404. | |
20 | 张学勇,童依平,游光霞,等. 选择牵连效应分析:发掘重要基因的新思路[J].中国农业科学,2006,39(8):1526-1535. |
ZHANG X Y, TONG Y P, YOU G X, et al. Hitchhiking effect mapping: a new approach for discovering agronomic important genes [J]. Sci. Agric. Sin.,2006,39(8):1526-1535. | |
21 | 张莉莉,韩芳,马守才,等.小麦品种豫麦2号及其衍生系的遗传差异分析[J].中国农业大学学报,2015,20(4):1-11. |
ZHANG L L, HAN F, MA S C,et al.. Genetic differentiation analysis on derived lines from wheat cultivar Yumai 2 [J]. J. China Agric.Univ., 2015,20(4):1-11. | |
22 | 盖红梅,王兰芬,游光霞,等. 基于SSR标记的小麦骨干亲本育种重要性研究[J].中国农业科学,2009,42(5):1503-1511. |
GE H M, WANG L F, YOU G X, et al.. Fundamental roles of cornerstone breeding lines in wheat reflected by SSR random scanning [J]. Sci. Agric. Sin.,2009,42(5):1503-1511. | |
23 | 袁园园,王庆专,崔法,等.小麦骨干亲本碧蚂4 号的基因组特异位点及其在衍生后代的传递[J].作物学报,2010,36(1):9-16. |
YUAN Y Y, WANG Q Z, CUI F, et al.. Specific loci in genome of wheat milestone parent Bima 4 and their transmission in derivatives [J]. Acta Agron. Sin., 2010,36(1):9-16. | |
24 | 司清林,刘新伦,刘智奎,等.阿夫及其衍生小麦品种(系)SSR 分析[J].作物学报,2009,35(4):615-619. |
SI Q L, LIU X L, LIU Z K, et al.. SSR analysis of Funo wheat and its derivatives [J]. Acta Agron. Sin.,2009,35(4):615-619. | |
25 | 徐鑫,李小军,李秀全,等. 小麦骨干亲本"洛夫林 10号"1BL/1RS在衍生品种中的遗传分析[J].麦类作物学报,2010,30(2):221-226. |
XU X, LI X J, LI X Q, et al.. Inheritance of 1BL/1RS of founder parent Lovrin 10 in its progeny [J]. J. Triticeae Crops, 2010,30(2):221-226. | |
26 | 陈国跃,刘伟,何员江,等. 小麦骨干亲本繁6条锈病成株抗性特异位点及其在衍生品种中的遗传解析[J].作物学报,2013,39(5):827-836. |
CHEN G Y, LIU W, HE Y J,et al.. Specific loci for adult-plant resistance to stripe rust in wheat founder parent Fan 6 and their genetic dissection in its derivatives [J]. Acta Agron. Sin.,2013,39(5):827-836. | |
27 | 邓梅,何员江,苟璐璐,等.小麦骨干亲本繁6 产量相关性状关键基因组区段的遗传效应[J].作物学报,2018,44(5):706-715. |
DENG M, HE Y J, GOU L L,et al.. Genetic effects of key genomic regions controlling yield-related traits in wheat founder parent Fan 6 [J]. Acta Agron. Sin.,2018,44(5):706-715. | |
28 | 乔玲,刘成,郑兴卫,等. 小麦骨干亲本临汾 5064 单元型区段的遗传解析[J]. 作物学报,2018,44(6):931-937. |
QIAO L, LIU C, ZHENG X W, et al.. Genetic analysis of haplotype-blocks from wheat founder parent Linfen 5064 [J]. Acta Agron. Sin., 2018,44(6):931-937. | |
29 | 李永祥,王天宇,黎裕.主要农作物骨干亲本形成与研究利用[J].植物遗传资源学报,2019,20(5):1093-1102. |
LI Y X, WANG T Y, LI Y. Formation,Research and Utilization of Founder Parents in Major Crops[J]. J. Plant Genetic. Resour.,2019,20(5):1093-1102. |
[1] | 刘一凡, 刘少帅, 臧瑞, 李洋, 刘薇, 李婷婷, 刘旦梅, 刘登才, 李爱丽, 毛龙, 王翔, 耿帅锋. 168份小麦种质资源品质性状分析[J]. 中国农业科技导报, 2025, 27(9): 44-57. |
[2] | 吕彩霞, 李永福, 信会男, 李娜, 赖宁, 耿庆龙, 陈署晃. 缓释氮肥对滴灌冬小麦产量及土壤硝/铵态氮的影响[J]. 中国农业科技导报, 2025, 27(8): 179-186. |
[3] | 胡懿, 公杰, 赵玮, 程蓉, 柳忠玉, 高世庆, 杨亚珍. 小麦PHY基因家族鉴定及热胁迫下表达分析[J]. 中国农业科技导报, 2025, 27(7): 30-43. |
[4] | 孙吉林, 张家琦, 孟凡森, 孙思龙. 二倍体长穗偃麦草HSP70基因家族鉴定及表达模式分析[J]. 中国农业科技导报, 2025, 27(6): 28-38. |
[5] | 凌磊, 蒋慧欣, 李铭婧, 殷亚杰, 陈乃钰, 赵晓菊. 盐碱胁迫下燕麦蛋白组及代谢组联合分析[J]. 中国农业科技导报, 2025, 27(5): 61-71. |
[6] | 侯晓晴, 姜子豪, 富洋, 宋忠振, 俞志敏. 鞘氨醇单胞菌胞外多糖的组成结构及其对大麦幼苗的促生作用[J]. 中国农业科技导报, 2025, 27(4): 201-208. |
[7] | 马蓓, 公杰, 杜银柯, 甘雨薇, 程蓉, 朱波, 易丽霞, 马锦绣, 高世庆. 小麦花粉孔发育相关TaINP1基因鉴定及表达分析[J]. 中国农业科技导报, 2025, 27(4): 22-35. |
[8] | 薛振宇, 张康康, 张元元, 闫强强, 姚立蓉, 张宏, 孟亚雄, 司二静, 李葆春, 马小乐, 王化俊, 汪军成. 优质抗旱小麦种质的筛选及功能基因检测[J]. 中国农业科技导报, 2025, 27(1): 35-49. |
[9] | 胡墨明, 孟琰珺, 苗淑媛, 胡西宁, 许晴, 马红珍, 王鹏飞, 刘国芹, 康国章. 小麦淀粉合成关键基因TaAGPL1功能标记的开发[J]. 中国农业科技导报, 2024, 26(11): 43-55. |
[10] | 田鹏, 宋洁, 李霞, 王裕智, 武棒棒. 不同粒色小麦籽粒中叶酸及衍生物含量分析[J]. 中国农业科技导报, 2024, 26(11): 56-65. |
[11] | 岳洁茹, 秦志列, 侯起岭, 苑少华, 郝小聪, 杨吉芳, 白秀成, 赵昌平, 张风廷, 孙辉. BS型小麦光温敏雄性不育系柱头外露规律研究[J]. 中国农业科技导报, 2024, 26(10): 22-29. |
[12] | 孙宪印, 牟秋焕, 米勇, 吕广德, 亓晓蕾, 孙盈盈, 尹逊栋, 王瑞霞, 吴科, 钱兆国, 赵岩, 高明刚. 基于GT双标图对小麦新品系的分类评价[J]. 中国农业科技导报, 2024, 26(7): 14-24. |
[13] | 鲍新跃, 陈红敏, 王伟伟, 唐益苗, 房兆峰, 马锦绣, 汪德州, 左静红, 姚占军. 小麦TaCOBL-5基因克隆及表达分析[J]. 中国农业科技导报, 2024, 26(6): 11-21. |
[14] | 赵刚, 王淑英, 李尚中, 张建军, 党翼, 王磊, 李兴茂, 程万莉, 周刚, 倪胜利, 樊廷录. 黄土旱塬区近40年降水对冬小麦耗水和产量的影响[J]. 中国农业科技导报, 2024, 26(3): 164-173. |
[15] | 李双, 王爱英, 焦浈, 池青, 孙昊, 焦涛. 盐胁迫下不同抗性小麦幼苗生理生化特性及转录组分析[J]. 中国农业科技导报, 2024, 26(2): 20-32. |
阅读次数 | ||||||
全文 |
|
|||||
摘要 |
|
|||||