中国农业科技导报 ›› 2024, Vol. 26 ›› Issue (6): 11-21.DOI: 10.13304/j.nykjdb.2024.0172
鲍新跃1,2(), 陈红敏3(
), 王伟伟2, 唐益苗2, 房兆峰2, 马锦绣2, 汪德州2(
), 左静红2(
), 姚占军1(
)
收稿日期:
2024-03-07
接受日期:
2024-03-26
出版日期:
2024-06-15
发布日期:
2024-06-12
通讯作者:
汪德州,左静红,姚占军
作者简介:
鲍新跃E-mail:1772145342@qq.com基金资助:
Xinyue BAO1,2(), Hongmin CHEN3(
), Weiwei WANG2, Yimiao TANG2, Zhaofeng FANG2, Jinxiu MA2, Dezhou WANG2(
), Jinghong ZUO2(
), Zhanjun YAO1(
)
Received:
2024-03-07
Accepted:
2024-03-26
Online:
2024-06-15
Published:
2024-06-12
Contact:
Dezhou WANG,Jinghong ZUO,Zhanjun YAO
摘要:
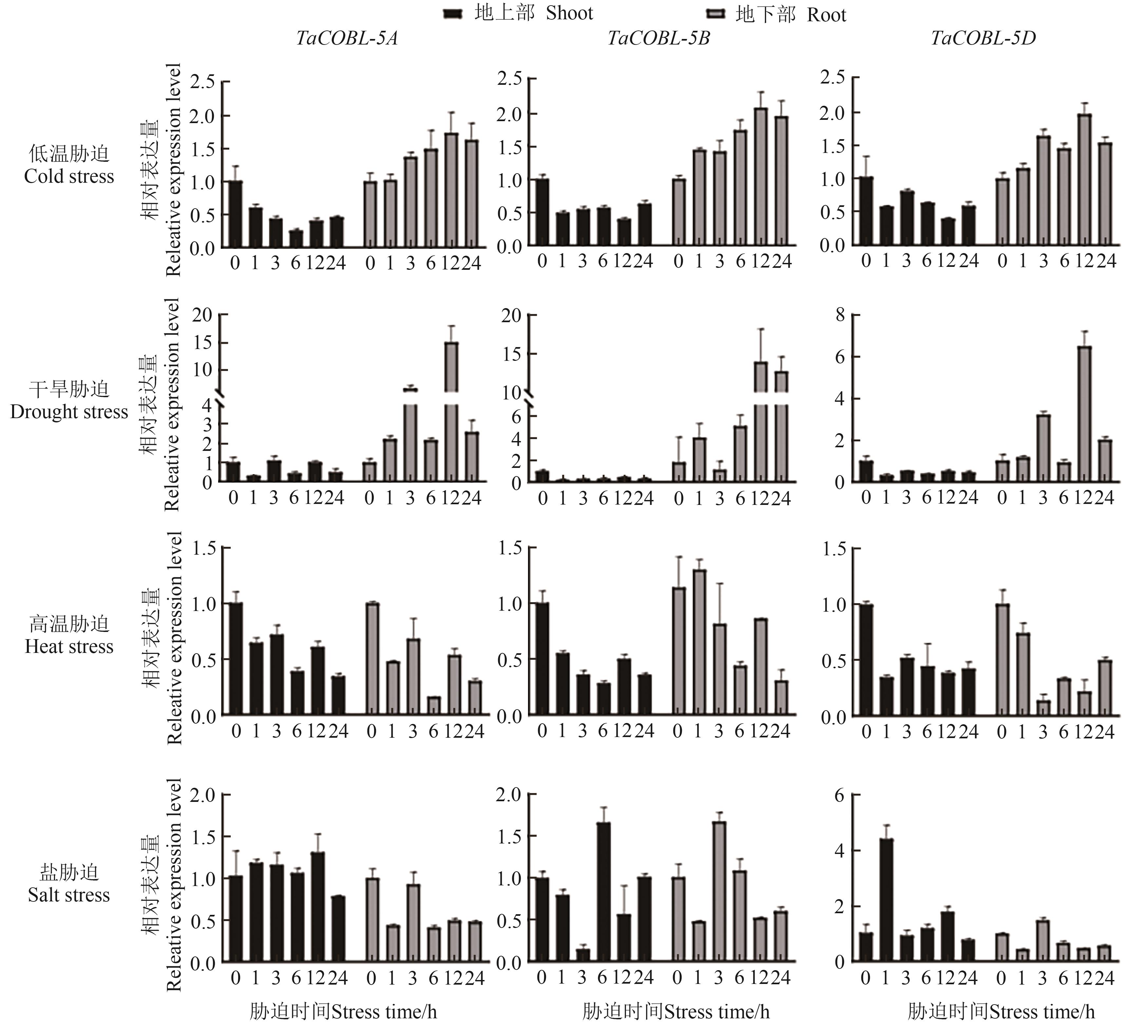
小麦产量关系我国粮食安全,干旱、低温、盐害和高温等非生物胁迫严重制约小麦产量增长。前期转录组分析发现小麦TaCOBL-5D在多种非生物胁迫下差异表达。克隆并获取TaCOBL-5D及其同源基因TaCOBL-5A、TaCOBL-5B,并对其生物信息学特性及表达模式进行了分析。结果显示,TaCOBL-5与其他物种的COBL基因在基因结构、蛋白三级结构、保守结构域以及启动子调控元件方面表现出明显的保守性。TaCOBL-5在根部表达量最高,并对各种非生物胁迫响应不同,尤其是在干旱胁迫下调控显著,表明其在干旱胁迫中的重要性,同时对低温、高温和盐胁迫也有不同响应。此外,TaCOBL-5D基因在不同干旱抗性及高温抗性材料中表达量差异显著,进一步暗示其在逆境胁迫中具有重要作用。这些研究结果有助于理解COBL基因在小麦中的功能,同时为小麦抗逆育种提供科学支持。
中图分类号:
鲍新跃, 陈红敏, 王伟伟, 唐益苗, 房兆峰, 马锦绣, 汪德州, 左静红, 姚占军. 小麦TaCOBL-5基因克隆及表达分析[J]. 中国农业科技导报, 2024, 26(6): 11-21.
Xinyue BAO, Hongmin CHEN, Weiwei WANG, Yimiao TANG, Zhaofeng FANG, Jinxiu MA, Dezhou WANG, Jinghong ZUO, Zhanjun YAO. Cloning and Expression Analysis of Wheat TaCOBL-5 Genes[J]. Journal of Agricultural Science and Technology, 2024, 26(6): 11-21.
引物名称 Primer name | 正向引物序列 Forward primer sequence (3’-5’) | 反向引物序列 Reverse primer sequence (3’-5’) |
---|---|---|
TaCOBL-5A | GCGGCACCCGTGTCTTCTAT | CGTCTCGTCTCGTCGCAGTA |
TaCOBL-5B | GCGGCACCCATGTCTTCTAT | CGTCTCGTCTCGTCGCAGTA |
TaCOBL-5D | ACGGCACCCGCGTCTTCTAT | TCTCGTCGCTGTAAAAACTG |
qTaCOBL-5A | CGTTGGATCTCTCTTGCAGC | TGGGATGGTCATGGGCAAAG |
qTaCOBL-5B | GATTACGTGCAGGTTACATTCC | TCTCAAGGCTCCAGGTCAGG |
qTaCOBL-5D | CAGCGAATCATAAGCCTCTG | GAGTAGCGGGGCAGGAAATG |
TaActin | GGAATCCATGAGACCACCTAC | GACCCAGACAACTCGCAAC |
表1 基因克隆和荧光定量的引物序列
Table 1 Primers used in this study for gene cloning and qPCR
引物名称 Primer name | 正向引物序列 Forward primer sequence (3’-5’) | 反向引物序列 Reverse primer sequence (3’-5’) |
---|---|---|
TaCOBL-5A | GCGGCACCCGTGTCTTCTAT | CGTCTCGTCTCGTCGCAGTA |
TaCOBL-5B | GCGGCACCCATGTCTTCTAT | CGTCTCGTCTCGTCGCAGTA |
TaCOBL-5D | ACGGCACCCGCGTCTTCTAT | TCTCGTCGCTGTAAAAACTG |
qTaCOBL-5A | CGTTGGATCTCTCTTGCAGC | TGGGATGGTCATGGGCAAAG |
qTaCOBL-5B | GATTACGTGCAGGTTACATTCC | TCTCAAGGCTCCAGGTCAGG |
qTaCOBL-5D | CAGCGAATCATAAGCCTCTG | GAGTAGCGGGGCAGGAAATG |
TaActin | GGAATCCATGAGACCACCTAC | GACCCAGACAACTCGCAAC |
基因 Gene | 基因号 Gene ID number | 物理位置 Physical position/bp | 分子量 Molecular weight/Da | 等电点 pI | 蛋白长度 Protein length/aa | 预测定位 Predicted location |
---|---|---|---|---|---|---|
TaCOBL-5A | TraesCS5A02G392000 | 588 375 577~588 379 139 | 50 867.2 | 8.98 | 457 | 细胞膜Cell membrane |
TaCOBL-5B | TraesCS5B02G396900 | 574 675 118~574 678 654 | 50 841.18 | 8.98 | 457 | 细胞膜Cell membrane |
TaCOBL-5D | TraesCS5D02G401900 | 467 600 940~467 604 428 | 50 823.15 | 8.98 | 457 | 细胞膜Cell membrane |
表2 TaCOBL-5基因信息及其编码蛋白的理化性质分析
Table. 2 TaCOBL-5 gene information and physicochemical properties analysis
基因 Gene | 基因号 Gene ID number | 物理位置 Physical position/bp | 分子量 Molecular weight/Da | 等电点 pI | 蛋白长度 Protein length/aa | 预测定位 Predicted location |
---|---|---|---|---|---|---|
TaCOBL-5A | TraesCS5A02G392000 | 588 375 577~588 379 139 | 50 867.2 | 8.98 | 457 | 细胞膜Cell membrane |
TaCOBL-5B | TraesCS5B02G396900 | 574 675 118~574 678 654 | 50 841.18 | 8.98 | 457 | 细胞膜Cell membrane |
TaCOBL-5D | TraesCS5D02G401900 | 467 600 940~467 604 428 | 50 823.15 | 8.98 | 457 | 细胞膜Cell membrane |
图1 TaCOBL-5基因结构、保守基序及启动子顺式作用元件分析A:基因结构;B:保守序列;C:启动子顺式作用元件
Fig. 1 Analysis of gene structure, conserved motif and cis-acting regulatory elements of TaCOBL-5A: Gene structure; B: Conserved motif; C: Cis-acting regulatory elements
图3 COBRA结构域及三级结构预测A: COBRA结构域;B:COBL蛋白三级结构
Fig. 3 Analysis of conserved COBRA domain and the tertiary structure of COBL proteinsA: COBRA domain; B: Tertiary structure of COBL protein
图5 小麦miRNA调控网络预测及互作蛋白预测A: miRNA调控网络;B:蛋白互作网络
Fig. 5 Prediction putative networks of wheat miRNAs and the interacting proteinsA: Putative network of wheat miRNAs; B: Network of interacting proteins
图8 不同抗性材料干旱胁迫、高温胁迫处理下TaCOBL-5D表达模式分析A: 干旱胁迫;B:高温胁迫
Fig. 8 Expression profiles of TaCOBL-5D among different resistant materials under drought and heat stressesA: Drought stress; B: Heat stress
1 | ZHU J K. Salt and drought stress signal transduction in plants [J]. Annu. Rev. Plant Biol., 2002, 53(1):247-273. |
2 | 陈翔,胡雨喆,陈甜甜,等.小麦抗低温逆境化控技术研究进展[J].植物营养与肥料学报, 2023, 29(8):1543-1555. |
CHEN X, HU Y Z, CHEN T T, et al.. Progress of chemical regulation on wheat resistance to low temperature stress [J]. J. Plant Nutr. Fert., 2023, 29(8):1543-1555. | |
3 | WINFIELD M O, LU C G, WILSON I D, et al.. Plant responses to cold: transcriptome analysis of wheat [J]. Plant Biotechnol. J., 2010, 8(7):749-771. |
4 | MAO H D, JIAN C, CHENG X X, et al.. The wheat ABA receptor gene TaPYL1-1B contributes to drought tolerance and grain yield by increasing water-use efficiency [J]. Plant Biotechnol. J., 2022, 20(5):846-861. |
5 | 温辉芹,程天灵,裴自友,等.山西中部区试小麦品种抗旱节水指标分析[J].山西农业科学,2020,48(10):1572-1575. |
WEN H Q, CHENG T L, PEI Z Y, et al.. Analysis on drought resistance and water saving indexes of wheat varieties of regional trial in central Shanxi [J]. J. Shanxi Agric. Sci., 2020, 48(10):1572-1575. | |
6 | 健康,倪建平.植物非生物胁迫信号转导及应答[J].中国稻米, 2016, 22(6):52-60. |
ZHU J K, NI J P. Abiotic stress signaling and responses in plants [J]. China Rice, 2016, 22(6):52-60. | |
7 | 盛松柏,田菊,庞晓明.冬枣COBRA基因家族全基因组鉴定及表达分析[J].分子植物育种, 2018, 16(1):61-68. |
SHENG S B, TIAN J, PANG X M. Genome-wide identification and expression analysis of COBRA gene family in Ziziphus jujuba [J]. Mol. Plant Breeding, 2018, 16(1):61-68. | |
8 | SUN X M, XIONG H Y, JIANG C H, et al.. Natural variation of DROT1 confers drought adaptation in upland rice [J/OL]. Nat. Commun., 2022, 13(1):4265 [2024-04-03].. |
9 | LI Y H, QIAN O, ZHOU Y H, et al.. BRITTLE CULM1, which encodes a COBRA-like protein, affects the mechanical properties of rice plants [J]. Plant Cell, 2003, 15(9):2020-2031. |
10 | BRADY S M, SONG S, DHUGGA K S, et al.. Combining expression and comparative evolutionary analysis. The COBRA gene family [J]. Plant Physiol., 2007, 143(1):172-187. |
11 | JULIUS B T, MCCUBBIN T J, MERTZ R A, et al.. Maize Brittle Stalk2-Like3, encoding a COBRA protein, functions in cell wall formation and carbohydrate partitioning [J]. Plant Cell, 2021, 33(10):3348-3366. |
12 | AHMED M Z, ALQAHTANI A S, NASR F A, et al.. Comprehensive analysis of the COBRA-like (COBL) gene family through whole-genome analysis of land plants [J]. Genet. Resour. Crop Evol., 2024, 71(1):863-872. |
13 | QIU C, CHEN J H, WU W H, et al.. Genome-wide analysis and abiotic stress-responsive patterns of COBRA-like gene family in Liriodendron chinense [J/OL]. Plants-Basel, 2023, 12(8):1616 [2024-04-03]. . |
14 | BEN-TOV D, ABRAHAM Y, STAV S, et al.. COBRA-LIKE2, a member of the glycosylphosphatidylinositol-anchored COBRA-LIKE family, plays a role in cellulose deposition in Arabidopsis seed coat mucilage secretory cells [J]. Plant Physiol., 2015, 167(3):711-724. |
15 | LIU F F, WAN Y X, CAO W X, et al.. Novel function of a putative TaCOBL ortholog associated with cold response [J]. Mol. Biol. Rep., 2023, 50(5):4375-4384. |
16 | LIU L F, SHANG-GUAN K K, ZHANG B C, et al.. Brittle Culm1, a COBRA-Like protein, functions in cellulose assembly through binding cellulose microfibrils [J/OL]. PLoS Genet., 2013, 9(8):e1003704 [2024-04-03]. . |
17 | YE X, KANG B G, OSBURN D L, et al.. The COBRA gene family in Populus and gene expression in vegetative organs and in response to hormones and environmental stresses [J]. Plant Growth Regul., 2009, 58(2):211-223. |
18 | ZHANG D Q, YANG X H, ZHANG Z Y, et al.. Expression and nucleotide diversity of the poplar COBL gene [J]. Tree Genet. Genomes, 2010, 6(2):331-344. |
19 | YILAN E, XIN G, JING X, et al.. Genome-wide identification of the COBRA-like gene family in Pinus tabuliformis and the role of PtCOBL12 in the regulation of cellulose biosynthesis [J]. Ind. Crop Prod., 2023, 203. |
20 | YANG Q, WANG S, CHEN H, et al.. Genome-wide identification and expression profiling of the COBRA-like genes reveal likely roles in stem strength in rapeseed (Brassica napus L.) [J/OL]. PLoS One, 2021,16(11):e0260268 [2024-04-03]. . |
21 | NIU E L, SHANG X G, CHENG C Z, et al.. Comprehensive analysis of the COBRA-Like (COBL) gene family in Gossypium identifies two COBLs potentially associated with fiber quality [J/OL]. PLoS One, 2015, 10(12):e014572 [2024-04-03]. . |
22 | SANGI S, ARAÚJO PAULA M, COELHO F S, et al.. Genome-wide analysis of the COBRA-Like gene family supports gene expansion through whole-genome duplication in soybean (Glycine max) [J]. Plants, 2021, 10 (1):167-167. |
23 | XU L, WANG D Z, LIU S, et al.. Comprehensive atlas of wheat (Triticum aestivum L.) AUXIN RESPONSE FACTOR expression during male reproductive development and abiotic stress [J/OL]. Front. Plant Sci., 2020, 11:586144 [2024-04-03]. . |
24 | 吴凯铭.337份小麦品种(系)萌发期抗旱性鉴定及生理响应[D].杨凌:西北农林科技大学,2022. |
WU K M. Identification of drought resistance and physiological response during germination in 337 wheat varieties (lines) [D]. Yangling: Northwest A&F University, 2022. | |
25 | 史冰新.黄淮和长江中下游冬麦区小麦耐热种质资源筛选[D].杨凌:西北农林科技大学,2023. |
SHI B X. Screened for heat tolerance of wheat germplasm resources in the Yellow and Huai River valley winter wheat zone and the middle and lower Yangtze valley winter wheat zone [D]. Yangling: Northwest A&F University, 2023. | |
26 | KESAWAT M S, KHERAWAT B S, SINGH A, et al.. Genome-wide identification and characterization of the Brassinazole-resistant (BZR) gene family and its expression in the various developmental stage and stress conditions in wheat (Triticum aestivum L.) [J]. Int. J. Mol. Sci., 2021, 22(16):8743-8743. |
27 | FANG Y J, ZHENG Y Q, LU W, et al.. Roles of miR319-regulated TCPs in plant development and response to abiotic stress [J]. Crop J., 2021, 9(1):17-28. |
28 | JIAN C, HAO P A, HAO C Y, et al.. The miR319/TaGAMYB3 module regulates plant architecture and improves grain yield in common wheat (Triticum aestivum) [J]. New Phytol., 2022, 235(4):1515-1530. |
29 | 梁婷,左静红,陆青,等.小麦IQM基因家族鉴定及非生物胁迫下表达分析[J].中国农业科技导报, 2023, 25(2):27-37. |
LIANG T, LU Q, ZUO J Het al.. Identification and expression analysis under abiotic stress of IQM gene family in wheat (Triticum aestivum L.) [J]. J. Agric. Sci. Technol., 2023, 25(2):27-37. | |
30 | 陆青,梁婷,汪德州,等.小麦热激蛋白基因TaHSP90-1的克隆与表达分析[J].中国农业科技导报, 2022, 24(8):44-54. |
LU Q, LIANG T, WANG D Zet al.. Cloning and expression analysis of wheat heat shock protein gene TaHSP90-1 [J]. J. Agric. Sci. Technol., 2022, 24(8):44-54. |
[1] | 刘一凡, 刘少帅, 臧瑞, 李洋, 刘薇, 李婷婷, 刘旦梅, 刘登才, 李爱丽, 毛龙, 王翔, 耿帅锋. 168份小麦种质资源品质性状分析[J]. 中国农业科技导报, 2025, 27(9): 44-57. |
[2] | 吕彩霞, 李永福, 信会男, 李娜, 赖宁, 耿庆龙, 陈署晃. 缓释氮肥对滴灌冬小麦产量及土壤硝/铵态氮的影响[J]. 中国农业科技导报, 2025, 27(8): 179-186. |
[3] | 杨志宁, 陆许可, 范亚朋, 孙玉平, 喻欣, 王亮, 高永健, 古丽加依那什·哈不力, 古丽沙西·拿斯依, 吾木尔·阿不都, 黄慧, 张梦豪, 王立东, 陈筱, 肖磊, 张鑫蕊, 王帅, 陈修贵, 王俊娟, 郭丽雪, 高文伟, 叶武威. 棉花GhDMT7基因对5-氮杂胞嘧啶核苷的响应机制[J]. 中国农业科技导报, 2025, 27(8): 28-35. |
[4] | 朱强, 车宗贤, 崔恒, 张久东, 包兴国. 绿肥替代氮肥对麦田温室气体的影响[J]. 中国农业科技导报, 2025, 27(7): 182-189. |
[5] | 胡懿, 公杰, 赵玮, 程蓉, 柳忠玉, 高世庆, 杨亚珍. 小麦PHY基因家族鉴定及热胁迫下表达分析[J]. 中国农业科技导报, 2025, 27(7): 30-43. |
[6] | 孙吉林, 张家琦, 孟凡森, 孙思龙. 二倍体长穗偃麦草HSP70基因家族鉴定及表达模式分析[J]. 中国农业科技导报, 2025, 27(6): 28-38. |
[7] | 呼斯乐, 包玉龙, 图布新巴雅尔null, 陶际峰, 郭恩亮. 基于无人机高光谱和集成学习的春小麦叶绿素含量反演[J]. 中国农业科技导报, 2025, 27(6): 93-103. |
[8] | 史硕, 冯宇, 李亮, 孟瑞, 章延泽, 杨秀荣. 印度梨形孢介导小麦抗纹枯病的转录组分析及关键基因筛选[J]. 中国农业科技导报, 2025, 27(5): 133-145. |
[9] | 马蓓, 公杰, 杜银柯, 甘雨薇, 程蓉, 朱波, 易丽霞, 马锦绣, 高世庆. 小麦花粉孔发育相关TaINP1基因鉴定及表达分析[J]. 中国农业科技导报, 2025, 27(4): 22-35. |
[10] | 陈宜新, 杨秀波, 田士军, 王聪, 白志英, 李存东, 张科. 陆地棉GhCOMT28对干旱胁迫的响应[J]. 中国农业科技导报, 2025, 27(4): 45-56. |
[11] | 刘金仙, 王丽娟, 刘杰, 傅仙玉, 武广珩. 茶树钙调蛋白结合转录激活因子(CAMTA)家族基因鉴定与表达分析[J]. 中国农业科技导报, 2025, 27(3): 71-82. |
[12] | 薛振宇, 张康康, 张元元, 闫强强, 姚立蓉, 张宏, 孟亚雄, 司二静, 李葆春, 马小乐, 王化俊, 汪军成. 优质抗旱小麦种质的筛选及功能基因检测[J]. 中国农业科技导报, 2025, 27(1): 35-49. |
[13] | 郭肖蓉, 刘颖, 樊佳珍, 黄涛, 周荣. 猪CREBRF基因生物信息学和表达规律分析[J]. 中国农业科技导报, 2024, 26(9): 44-53. |
[14] | 孙宪印, 牟秋焕, 米勇, 吕广德, 亓晓蕾, 孙盈盈, 尹逊栋, 王瑞霞, 吴科, 钱兆国, 赵岩, 高明刚. 基于GT双标图对小麦新品系的分类评价[J]. 中国农业科技导报, 2024, 26(7): 14-24. |
[15] | 陈明迪, 胡桂花, 张海文, 王旺田. 水稻RR基因家族生物信息学及表达模式分析[J]. 中国农业科技导报, 2024, 26(5): 20-29. |
阅读次数 | ||||||
全文 |
|
|||||
摘要 |
|
|||||