








Journal of Agricultural Science and Technology ›› 2024, Vol. 26 ›› Issue (11): 143-156.DOI: 10.13304/j.nykjdb.2024.0708
• FOOD QUALITY & PROCESSING AND STORAGE • Previous Articles Next Articles
Yaxing SHI(
), Hui DONG(
), Li XU, Yanli FAN, Hui LIU, Yamin SHI, Ainian YU, Ning GAO, Jiuran ZHAO(
), Baishan LU(
), Ronghuan WANG(
)
Received:2024-08-29
Accepted:2024-08-29
Online:2024-11-15
Published:2024-11-19
Contact:
Jiuran ZHAO,Baishan LU,Ronghuan WANG
史亚兴(
), 董会(
), 徐丽, 樊艳丽, 刘辉, 史亚民, 俞嫒年, 高宁, 赵久然(
), 卢柏山(
), 王荣焕(
)
通讯作者:
赵久然,卢柏山,王荣焕
作者简介:史亚兴E-mail:syx209@163.com基金资助:CLC Number:
Yaxing SHI, Hui DONG, Li XU, Yanli FAN, Hui LIU, Yamin SHI, Ainian YU, Ning GAO, Jiuran ZHAO, Baishan LU, Ronghuan WANG. Flavor Differences of Different Types of Fresh Corn Based on Electronic Nose and GC-IMS Technology[J]. Journal of Agricultural Science and Technology, 2024, 26(11): 143-156.
史亚兴, 董会, 徐丽, 樊艳丽, 刘辉, 史亚民, 俞嫒年, 高宁, 赵久然, 卢柏山, 王荣焕. 基于电子鼻和GC-IMS技术分析不同类型鲜食玉米的风味差异[J]. 中国农业科技导报, 2024, 26(11): 143-156.
Add to citation manager EndNote|Ris|BibTeX
URL: https://nkdb.magtechjournal.com/EN/10.13304/j.nykjdb.2024.0708
传感器编号 Sensor number | 传感器名称 Sensor name | 性能描述 Performance description |
|---|---|---|
| 1 | W1C | 对芳香成分灵敏,苯类 Sensitive to aromatic components, benzene |
| 2 | W5S | 对氮氧化合物很灵敏 Sensitive to nitrogen oxides |
| 3 | W3C | 对芳香成分灵敏,氨类 Sensitive to aromatic components, ammonia |
| 4 | W6S | 对氢化物灵敏 Sensitive to hydride |
| 5 | W5C | 对短链烷烃芳香成分灵敏 Sensitive to aromatic components of short chain alkanes |
| 6 | W1S | 对甲基类灵敏 Sensitive to methyl |
| 7 | W1W | 对硫化物灵敏 Sensitive to sulfide |
| 8 | W2S | 对醇类、醛酮类灵敏 Sensitive to alcohols, aldehydes and ketones |
| 9 | W2W | 对芳香成分、有机硫化物灵敏 Sensitive to aromatic components and organic sulfides |
| 10 | W3S | 对长链烷烃灵敏 Sensitive to long chain alkanes |
Table 1 Sensor name and performance description
传感器编号 Sensor number | 传感器名称 Sensor name | 性能描述 Performance description |
|---|---|---|
| 1 | W1C | 对芳香成分灵敏,苯类 Sensitive to aromatic components, benzene |
| 2 | W5S | 对氮氧化合物很灵敏 Sensitive to nitrogen oxides |
| 3 | W3C | 对芳香成分灵敏,氨类 Sensitive to aromatic components, ammonia |
| 4 | W6S | 对氢化物灵敏 Sensitive to hydride |
| 5 | W5C | 对短链烷烃芳香成分灵敏 Sensitive to aromatic components of short chain alkanes |
| 6 | W1S | 对甲基类灵敏 Sensitive to methyl |
| 7 | W1W | 对硫化物灵敏 Sensitive to sulfide |
| 8 | W2S | 对醇类、醛酮类灵敏 Sensitive to alcohols, aldehydes and ketones |
| 9 | W2W | 对芳香成分、有机硫化物灵敏 Sensitive to aromatic components and organic sulfides |
| 10 | W3S | 对长链烷烃灵敏 Sensitive to long chain alkanes |
| 时间 Time/min | 漂移气流速 EPC1/(mL·min-1) | 载气流速 EPC2/(mL·min-1) |
|---|---|---|
| 0 | 150 | 2 |
| 2 | 150 | 2 |
| 10 | 150 | 10 |
| 20 | 150 | 100 |
| 25 | 150 | 150 |
| 30 | 150 | 150 |
Table 2 Gas chromatographic condition
| 时间 Time/min | 漂移气流速 EPC1/(mL·min-1) | 载气流速 EPC2/(mL·min-1) |
|---|---|---|
| 0 | 150 | 2 |
| 2 | 150 | 2 |
| 10 | 150 | 10 |
| 20 | 150 | 100 |
| 25 | 150 | 150 |
| 30 | 150 | 150 |
Fig. 2 Top view and difference comparison diagram of GC-IMS of the tested fresh corn varietiesA: Top view; B: Difference comparision. The abscissa represents the relative migration time, the ordinate represents the retention time (s) of gas chromatography, the red vertical line at abscissa 1.0 represents the RIP peak, each point on both sides of the peak represents a volatile flavor compound, the color represents the intensity of the substance peak, from blue to red, and the darker the color, the greater the peak intensity.
Fig. 3 Fingerprint of volatile flavor compounds in fresh cornNote:In the figure, the rows represent all selected signal peaks in the sample, the columns represent the signal peaks of the same volatile flavor compound in different samples, and the color intensity represents the content level. Boxes A to F represent alcohols, aldehydes, ketones, esters & aldehydes, and other aromatic compounds, respectively.1—Ethyl acetate(D); 2—2-methylpyrazine(D); 3—1-heptene; 4—butyl ether; 5—diethyl disulfide; 6—2-methylpyridine; 7—Heptan-2-one; 8—Octan-2-one; 9—3-Heptanone; 10—Butan-2-one; 11—3-octanone; 12—Ethyl pentanoate; 13—Ethyl pyruvate; 14—Isoamyl acetate; 15—Ethyl butyrate; 16—Isoamyl formate; 17—Butyl butanoate; 18—Methy 3-methylbutanoate; 19—Methyl propionate; 20—Methyl acetate(D); 21—(E)-2-hexenal; 22—2-methylbutanal; 23—Butanal; 24—Hexanal; 25—3-methylbutanal; 26—Heptanal(D); 27—2-Hexenal; 28—Pentanal; 29—1-butanol(D); 30—3-Methyl-1-butanol; 31—2-methyl-1-propanol(D); 32—2-Hexanol; 33—Pentan-2-ol; 34—Phenylmethanol.
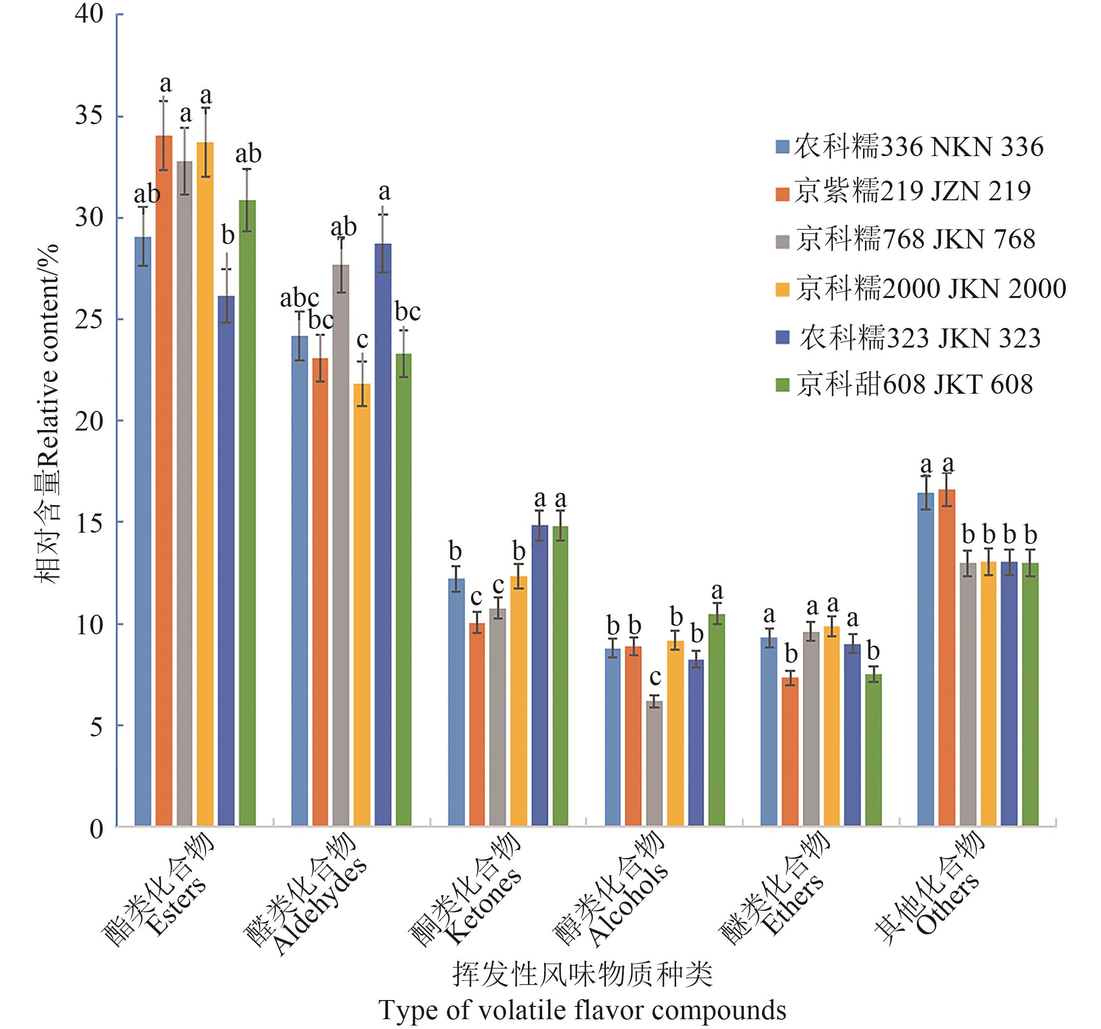
Fig. 4 Relative content of volatile compounds in fresh cornNote: Different small letters indicate significant differences between different treatments at P<0.05 level.
序号 Number | 化合物名称 Compound name | CAS# | 分子式 Molecular formula | 保留指数 Retention index | 保留时间 Retention time/s | 迁移时间 Migration time/ms | 相对含量 Relative content/% | |||||
|---|---|---|---|---|---|---|---|---|---|---|---|---|
农科糯336 NKN336 | 京紫糯219 JZN219 | 京科糯768 JKN768 | 京科糯2000 JKN2000 | 农科糯323 NKN323 | 京科甜608 JKT608 | |||||||
| 1 | 苯基甲醇 Phenylmethanol | C100516 | C7H8O | 1 036.90 | 293.93 | 1.81 | 0.75 | 1.20 | 0.84 | 0.74 | 0.96 | 0.64 |
| 2 | 2-戊醇 Pentan-2-ol | C6032297 | C5H12O | 1 156.40 | 472.96 | 1.42 | 2.86 | 2.63 | 2.02 | 2.94 | 2.48 | 3.77 |
| 3 | 2-己醇 2-Hexanol | C626937 | C6H14O | 1 187.00 | 530.59 | 1.30 | 0.43 | 0.33 | 0.36 | 0.46 | 0.47 | 0.52 |
| 4 | 1-丁醇(D) 1-Butanol(D) | C71363 | C4H10O | 1 122.40 | 411.49 | 1.38 | 0.32 | 2.82 | 0.43 | 1.06 | 0.55 | 0.43 |
| 5 | 3-甲基-1-丁醇 3-Methyl-1-butanol | C123513 | C5H12O | 1 184.20 | 524.93 | 1.52 | 0.14 | 0.20 | 0.12 | 0.13 | 0.30 | 0.14 |
| 6 | 2-甲基-1-丙醇(D) 2-Methyl-1-propanol(D) | C78831 | C4H10O | 1 078.40 | 343.68 | 1.36 | 4.78 | 2.12 | 2.27 | 3.22 | 3.53 | 4.82 |
| 7 | 正戊醛 Pentanal | C110623 | C5H10O | 982.50 | 240.93 | 1.43 | 1.70 | 1.22 | 3.16 | 2.41 | 3.15 | 1.01 |
| 8 | 正己醛 Hexanal | C66251 | C6H12O | 1 073.60 | 336.97 | 1.56 | 3.47 | 2.32 | 9.00 | 8.60 | 14.56 | 3.08 |
| 9 | 庚醛(D) Heptanal(D) | C111717 | C7H14O | 1 156.10 | 472.29 | 1.70 | 3.20 | 3.13 | 3.69 | 1.82 | 2.63 | 4.65 |
| 10 | 丁醛 Butanal | C123728 | C4H8O | 893.30 | 190.39 | 1.11 | 2.85 | 3.78 | 2.68 | 3.15 | 2.88 | 2.31 |
| 11 | 异戊醛 3-Methylbutanal | C590863 | C5H10O | 907.80 | 197.68 | 1.41 | 2.96 | 5.75 | 2.30 | 1.80 | 1.33 | 4.52 |
| 12 | 2-甲基丁醛 2-Methylbutanal | C96173 | C5H10O | 876.10 | 182.46 | 1.15 | 1.08 | 0.90 | 0.75 | 0.73 | 0.93 | 1.22 |
| 13 | (E)-2-己烯醛 (E)-2-hexenal | C6728263 | C6H10O | 122 7.20 | 617.09 | 1.18 | 0.46 | 0.51 | 0.38 | 0.31 | 0.34 | 0.50 |
| 14 | 2-己烯醛 2-Hexenal | C505577 | C6H10O | 124 4.50 | 656.25 | 1.16 | 8.49 | 4.16 | 4.03 | 2.40 | 2.65 | 7.83 |
| 15 | 丙酸甲酯 Methyl propionate | C554121 | C4H8O2 | 907.20 | 197.37 | 1.32 | 2.97 | 4.97 | 2.46 | 2.87 | 2.05 | 3.01 |
| 16 | 乙酸甲酯(D) Methyl acetate(D) | C79209 | C3H6O2 | 790.30 | 147.54 | 1.20 | 4.39 | 6.70 | 4.26 | 2.08 | 1.89 | 3.25 |
| 17 | 异戊酸甲酯 Methy 3-methylbutanoate | C556241 | C6H12O2 | 102 8.50 | 285.04 | 1.19 | 2.80 | 2.56 | 1.70 | 2.88 | 2.94 | 2.88 |
| 18 | 甲酸异戊酯 Isoamyl formate | C110452 | C6H12O2 | 107 2.90 | 336.13 | 1.27 | 10.23 | 11.43 | 14.00 | 11.59 | 9.64 | 8.66 |
| 19 | 乙酸异戊酯 Isoamyl acetate | C123922 | C7H14O2 | 110 8.20 | 388.35 | 1.32 | 0.89 | 1.10 | 0.80 | 2.57 | 1.10 | 2.26 |
Table 3 Qualitative and quantitative analysis of volatile flavor compounds in fresh corn
序号 Number | 化合物名称 Compound name | CAS# | 分子式 Molecular formula | 保留指数 Retention index | 保留时间 Retention time/s | 迁移时间 Migration time/ms | 相对含量 Relative content/% | |||||
|---|---|---|---|---|---|---|---|---|---|---|---|---|
农科糯336 NKN336 | 京紫糯219 JZN219 | 京科糯768 JKN768 | 京科糯2000 JKN2000 | 农科糯323 NKN323 | 京科甜608 JKT608 | |||||||
| 1 | 苯基甲醇 Phenylmethanol | C100516 | C7H8O | 1 036.90 | 293.93 | 1.81 | 0.75 | 1.20 | 0.84 | 0.74 | 0.96 | 0.64 |
| 2 | 2-戊醇 Pentan-2-ol | C6032297 | C5H12O | 1 156.40 | 472.96 | 1.42 | 2.86 | 2.63 | 2.02 | 2.94 | 2.48 | 3.77 |
| 3 | 2-己醇 2-Hexanol | C626937 | C6H14O | 1 187.00 | 530.59 | 1.30 | 0.43 | 0.33 | 0.36 | 0.46 | 0.47 | 0.52 |
| 4 | 1-丁醇(D) 1-Butanol(D) | C71363 | C4H10O | 1 122.40 | 411.49 | 1.38 | 0.32 | 2.82 | 0.43 | 1.06 | 0.55 | 0.43 |
| 5 | 3-甲基-1-丁醇 3-Methyl-1-butanol | C123513 | C5H12O | 1 184.20 | 524.93 | 1.52 | 0.14 | 0.20 | 0.12 | 0.13 | 0.30 | 0.14 |
| 6 | 2-甲基-1-丙醇(D) 2-Methyl-1-propanol(D) | C78831 | C4H10O | 1 078.40 | 343.68 | 1.36 | 4.78 | 2.12 | 2.27 | 3.22 | 3.53 | 4.82 |
| 7 | 正戊醛 Pentanal | C110623 | C5H10O | 982.50 | 240.93 | 1.43 | 1.70 | 1.22 | 3.16 | 2.41 | 3.15 | 1.01 |
| 8 | 正己醛 Hexanal | C66251 | C6H12O | 1 073.60 | 336.97 | 1.56 | 3.47 | 2.32 | 9.00 | 8.60 | 14.56 | 3.08 |
| 9 | 庚醛(D) Heptanal(D) | C111717 | C7H14O | 1 156.10 | 472.29 | 1.70 | 3.20 | 3.13 | 3.69 | 1.82 | 2.63 | 4.65 |
| 10 | 丁醛 Butanal | C123728 | C4H8O | 893.30 | 190.39 | 1.11 | 2.85 | 3.78 | 2.68 | 3.15 | 2.88 | 2.31 |
| 11 | 异戊醛 3-Methylbutanal | C590863 | C5H10O | 907.80 | 197.68 | 1.41 | 2.96 | 5.75 | 2.30 | 1.80 | 1.33 | 4.52 |
| 12 | 2-甲基丁醛 2-Methylbutanal | C96173 | C5H10O | 876.10 | 182.46 | 1.15 | 1.08 | 0.90 | 0.75 | 0.73 | 0.93 | 1.22 |
| 13 | (E)-2-己烯醛 (E)-2-hexenal | C6728263 | C6H10O | 122 7.20 | 617.09 | 1.18 | 0.46 | 0.51 | 0.38 | 0.31 | 0.34 | 0.50 |
| 14 | 2-己烯醛 2-Hexenal | C505577 | C6H10O | 124 4.50 | 656.25 | 1.16 | 8.49 | 4.16 | 4.03 | 2.40 | 2.65 | 7.83 |
| 15 | 丙酸甲酯 Methyl propionate | C554121 | C4H8O2 | 907.20 | 197.37 | 1.32 | 2.97 | 4.97 | 2.46 | 2.87 | 2.05 | 3.01 |
| 16 | 乙酸甲酯(D) Methyl acetate(D) | C79209 | C3H6O2 | 790.30 | 147.54 | 1.20 | 4.39 | 6.70 | 4.26 | 2.08 | 1.89 | 3.25 |
| 17 | 异戊酸甲酯 Methy 3-methylbutanoate | C556241 | C6H12O2 | 102 8.50 | 285.04 | 1.19 | 2.80 | 2.56 | 1.70 | 2.88 | 2.94 | 2.88 |
| 18 | 甲酸异戊酯 Isoamyl formate | C110452 | C6H12O2 | 107 2.90 | 336.13 | 1.27 | 10.23 | 11.43 | 14.00 | 11.59 | 9.64 | 8.66 |
| 19 | 乙酸异戊酯 Isoamyl acetate | C123922 | C7H14O2 | 110 8.20 | 388.35 | 1.32 | 0.89 | 1.10 | 0.80 | 2.57 | 1.10 | 2.26 |
序号 Number | 化合物名称 Compound name | CAS# | 分子式 Molecular formula | 保留指数 Retention index | 保留时间 Retention time/s | 迁移时间 Migration time/ms | 相对含量 Relative content/% | |||||
|---|---|---|---|---|---|---|---|---|---|---|---|---|
农科糯336 NKN336 | 京紫糯219 JZN219 | 京科糯768 JKN768 | 京科糯2000 JKN2000 | 农科糯323 NKN323 | 京科甜608 JKT608 | |||||||
| 20 | 丙酮酸乙酯 Ethyl pyruvate | C617356 | C5H8O3 | 1 247.50 | 661.19 | 1.46 | 1.84 | 1.09 | 0.67 | 0.38 | 0.35 | 0.72 |
| 21 | 戊酸乙酯 Ethyl pentanoate | C539822 | C7H14O2 | 1 122.70 | 412.03 | 1.26 | 0.81 | 1.56 | 0.91 | 1.64 | 1.47 | 0.93 |
| 22 | 丁酸乙酯 Ethyl butyrate | C105544 | C6H12O2 | 1 006.20 | 262.59 | 1.18 | 2.66 | 4.00 | 7.90 | 9.18 | 5.85 | 6.41 |
| 23 | 乙酸乙酯(D) Ethyl acetate(D) | C141786 | C4H8O2 | 875.30 | 182.13 | 1.34 | 1.04 | 0.61 | 0.52 | 0.69 | 0.89 | 1.34 |
| 24 | 丁酸丁酯 Butyl butanoate | C109217 | C8H16O2 | 1 176.30 | 509.60 | 1.31 | 0.80 | 0.66 | 0.49 | 0.50 | 0.56 | 1.00 |
| 25 | 2-辛酮 Octan-2-one | C111137 | C8H16O | 1 304.30 | 762.91 | 1.33 | 2.05 | 1.93 | 2.20 | 1.97 | 4.55 | 3.86 |
| 26 | 2-庚酮 Heptan-2-one | C110430 | C7H14O | 1 196.20 | 549.24 | 1.25 | 1.76 | 1.11 | 2.53 | 2.67 | 3.05 | 1.52 |
| 27 | 甲基乙基酮 Butan-2-one | C78933 | C4H8O | 896.70 | 192.04 | 1.25 | 1.90 | 2.57 | 1.78 | 3.16 | 2.54 | 1.81 |
| 28 | 3-辛酮 3-Octanone | C106683 | C8H16O | 1 244.10 | 655.51 | 1.33 | 2.05 | 1.36 | 1.03 | 2.64 | 1.65 | 1.88 |
| 29 | 3-庚酮 3-Heptanone | C106354 | C7H14O | 1 178.00 | 512.93 | 1.24 | 4.57 | 2.90 | 2.97 | 2.15 | 2.95 | 5.37 |
| 30 | 二乙基二硫醚 Diethyl disulfide | C110816 | C4H10S2 | 1 209.40 | 577.22 | 1.15 | 0.96 | 1.55 | 1.36 | 1.77 | 1.21 | 2.02 |
| 31 | 二丁醚 Butyl ether | C142961 | C8H18O | 982.90 | 241.21 | 1.28 | 7.75 | 5.40 | 8.45 | 8.28 | 8.00 | 5.09 |
| 32 | 2-甲基吡啶 2-Methylpyridine | C109068 | C6H7N | 1 220.10 | 600.88 | 1.32 | 0.53 | 0.63 | 0.52 | 1.95 | 1.22 | 0.64 |
| 33 | 2-甲基吡嗪(D) 2-Methylpyrazine(D) | C109080 | C5H6N2 | 1 246.60 | 659.68 | 1.40 | 4.14 | 2.24 | 1.47 | 1.58 | 0.84 | 1.36 |
| 34 | 1-庚烯 1-Heptene | C592767 | C7H14 | 730.00 | 127.10 | 1.09 | 12.35 | 14.56 | 11.93 | 9.67 | 10.50 | 10.57 |
Table 3 Qualitative and quantitative analysis of volatile flavor compounds in fresh corn
序号 Number | 化合物名称 Compound name | CAS# | 分子式 Molecular formula | 保留指数 Retention index | 保留时间 Retention time/s | 迁移时间 Migration time/ms | 相对含量 Relative content/% | |||||
|---|---|---|---|---|---|---|---|---|---|---|---|---|
农科糯336 NKN336 | 京紫糯219 JZN219 | 京科糯768 JKN768 | 京科糯2000 JKN2000 | 农科糯323 NKN323 | 京科甜608 JKT608 | |||||||
| 20 | 丙酮酸乙酯 Ethyl pyruvate | C617356 | C5H8O3 | 1 247.50 | 661.19 | 1.46 | 1.84 | 1.09 | 0.67 | 0.38 | 0.35 | 0.72 |
| 21 | 戊酸乙酯 Ethyl pentanoate | C539822 | C7H14O2 | 1 122.70 | 412.03 | 1.26 | 0.81 | 1.56 | 0.91 | 1.64 | 1.47 | 0.93 |
| 22 | 丁酸乙酯 Ethyl butyrate | C105544 | C6H12O2 | 1 006.20 | 262.59 | 1.18 | 2.66 | 4.00 | 7.90 | 9.18 | 5.85 | 6.41 |
| 23 | 乙酸乙酯(D) Ethyl acetate(D) | C141786 | C4H8O2 | 875.30 | 182.13 | 1.34 | 1.04 | 0.61 | 0.52 | 0.69 | 0.89 | 1.34 |
| 24 | 丁酸丁酯 Butyl butanoate | C109217 | C8H16O2 | 1 176.30 | 509.60 | 1.31 | 0.80 | 0.66 | 0.49 | 0.50 | 0.56 | 1.00 |
| 25 | 2-辛酮 Octan-2-one | C111137 | C8H16O | 1 304.30 | 762.91 | 1.33 | 2.05 | 1.93 | 2.20 | 1.97 | 4.55 | 3.86 |
| 26 | 2-庚酮 Heptan-2-one | C110430 | C7H14O | 1 196.20 | 549.24 | 1.25 | 1.76 | 1.11 | 2.53 | 2.67 | 3.05 | 1.52 |
| 27 | 甲基乙基酮 Butan-2-one | C78933 | C4H8O | 896.70 | 192.04 | 1.25 | 1.90 | 2.57 | 1.78 | 3.16 | 2.54 | 1.81 |
| 28 | 3-辛酮 3-Octanone | C106683 | C8H16O | 1 244.10 | 655.51 | 1.33 | 2.05 | 1.36 | 1.03 | 2.64 | 1.65 | 1.88 |
| 29 | 3-庚酮 3-Heptanone | C106354 | C7H14O | 1 178.00 | 512.93 | 1.24 | 4.57 | 2.90 | 2.97 | 2.15 | 2.95 | 5.37 |
| 30 | 二乙基二硫醚 Diethyl disulfide | C110816 | C4H10S2 | 1 209.40 | 577.22 | 1.15 | 0.96 | 1.55 | 1.36 | 1.77 | 1.21 | 2.02 |
| 31 | 二丁醚 Butyl ether | C142961 | C8H18O | 982.90 | 241.21 | 1.28 | 7.75 | 5.40 | 8.45 | 8.28 | 8.00 | 5.09 |
| 32 | 2-甲基吡啶 2-Methylpyridine | C109068 | C6H7N | 1 220.10 | 600.88 | 1.32 | 0.53 | 0.63 | 0.52 | 1.95 | 1.22 | 0.64 |
| 33 | 2-甲基吡嗪(D) 2-Methylpyrazine(D) | C109080 | C5H6N2 | 1 246.60 | 659.68 | 1.40 | 4.14 | 2.24 | 1.47 | 1.58 | 0.84 | 1.36 |
| 34 | 1-庚烯 1-Heptene | C592767 | C7H14 | 730.00 | 127.10 | 1.09 | 12.35 | 14.56 | 11.93 | 9.67 | 10.50 | 10.57 |
类别 Category | 化合物名称 Compound name | 阈值 Threshold | ROAV值 ROAV value | 气味描述 Odor description | |||||
|---|---|---|---|---|---|---|---|---|---|
农科糯336 NKN336 | 京紫糯219 JZN219 | 京科糯768 JKN768 | 京科糯2000 JKN2000 | 农科糯323 NKN323 | 京科甜608 JKT608 | ||||
醇类 Alcohols | 苯基甲醇 Phenylmethanol | 5.50 | 0.01 | 0.01 | 0.01 | 0.01 | 0.01 | 0.00 | 微弱的芳香味 Faint fragrance |
2-戊醇 Pentan-2-ol | 1.00 | 0.15 | 0.07 | 0.14 | 0.14 | 0.20 | 0.13 | 有一定的香气 It has a certain aroma | |
2-己醇 2-hexanol | 50.00 | 0.00 | 0.00 | 0.00 | 0.00 | 0.00 | 0.00 | 类似香蕉香气 Banana like aroma | |
1-丁醇(D) 1-butanol(D) | 0.48 | 0.04 | 0.16 | 0.06 | 0.11 | 0.09 | 0.03 | 药品、水果气味 Smell of medicine and fruit | |
3-甲基-1-丁醇 3-methyl-1-butanol | 0.01 | 1.24 | 0.89 | 1.35 | 1.08 | 3.91 | 0.83 | 有特殊不愉快气味,有辛辣而令人厌恶味Unpleasant smell, with pungent and disgusting taste | |
2-甲基-1-丙醇(D) 2-methyl-1-propanol(D) | 0.03 | 7.82 | 1.79 | 4.78 | 4.80 | 8.43 | 5.17 | 咖啡、可可香气,微带甜的水果和巧克力似风味 Coffee, cocoa aroma, slightly sweet fruit and chocolate like flavor | |
醛类 Aldehydes | 正戊醛 Pentanal | 0.85 | 0.11 | 0.04 | 0.26 | 0.14 | 0.29 | 0.04 | 坚果香,苦杏仁、辛香 Nutty, bitter almond, spicy |
正己醛 Hexanal | 0.23 | 0.81 | 0.28 | 2.72 | 1.84 | 4.99 | 0.47 | 类似于刚切好的草,类似干草的清香风味 Cut grass, the fragrance of hay | |
庚醛(D) Heptanal(D) | 0.26 | 0.66 | 0.34 | 0.99 | 0.34 | 0.80 | 0.63 | 有水果香气、强烈的油脂和清香 Fruit aroma, strong oil and fragrance | |
丁醛 Butanal | 0.10 | 1.54 | 1.05 | 1.86 | 1.55 | 2.27 | 0.82 | 具有较强的刺激性气味 Strong pungent odor | |
异戊醛 3-methylbutanal | 0.00 | 100.00 | 100.00 | 100.00 | 55.50 | 65.29 | 100.00 | 具有类似于香蕉和葡萄香味的特征性气味 Banana, grape and other characteristic aroma | |
2-甲基丁醛 2-methylbutanal | 0.05 | 1.30 | 0.56 | 1.16 | 0.80 | 1.62 | 0.96 | 具有坚果香、霉香、烤香、壤香 Nutty, moldy, roasted, earthy | |
(E)-2-己烯醛 (E)-2-hexenal | 0.79 | 0.03 | 0.02 | 0.03 | 0.02 | 0.03 | 0.02 | 具有新鲜的绿叶香味 Fresh green leaf aroma | |
2-己烯醛 2-hexenal | 0.15 | 3.05 | 0.77 | 1.87 | 0.79 | 1.39 | 1.85 | 水果香味 Fruit aroma | |
Table 4 ROVA value and odor of volatile flavor compounds in fresh corn
类别 Category | 化合物名称 Compound name | 阈值 Threshold | ROAV值 ROAV value | 气味描述 Odor description | |||||
|---|---|---|---|---|---|---|---|---|---|
农科糯336 NKN336 | 京紫糯219 JZN219 | 京科糯768 JKN768 | 京科糯2000 JKN2000 | 农科糯323 NKN323 | 京科甜608 JKT608 | ||||
醇类 Alcohols | 苯基甲醇 Phenylmethanol | 5.50 | 0.01 | 0.01 | 0.01 | 0.01 | 0.01 | 0.00 | 微弱的芳香味 Faint fragrance |
2-戊醇 Pentan-2-ol | 1.00 | 0.15 | 0.07 | 0.14 | 0.14 | 0.20 | 0.13 | 有一定的香气 It has a certain aroma | |
2-己醇 2-hexanol | 50.00 | 0.00 | 0.00 | 0.00 | 0.00 | 0.00 | 0.00 | 类似香蕉香气 Banana like aroma | |
1-丁醇(D) 1-butanol(D) | 0.48 | 0.04 | 0.16 | 0.06 | 0.11 | 0.09 | 0.03 | 药品、水果气味 Smell of medicine and fruit | |
3-甲基-1-丁醇 3-methyl-1-butanol | 0.01 | 1.24 | 0.89 | 1.35 | 1.08 | 3.91 | 0.83 | 有特殊不愉快气味,有辛辣而令人厌恶味Unpleasant smell, with pungent and disgusting taste | |
2-甲基-1-丙醇(D) 2-methyl-1-propanol(D) | 0.03 | 7.82 | 1.79 | 4.78 | 4.80 | 8.43 | 5.17 | 咖啡、可可香气,微带甜的水果和巧克力似风味 Coffee, cocoa aroma, slightly sweet fruit and chocolate like flavor | |
醛类 Aldehydes | 正戊醛 Pentanal | 0.85 | 0.11 | 0.04 | 0.26 | 0.14 | 0.29 | 0.04 | 坚果香,苦杏仁、辛香 Nutty, bitter almond, spicy |
正己醛 Hexanal | 0.23 | 0.81 | 0.28 | 2.72 | 1.84 | 4.99 | 0.47 | 类似于刚切好的草,类似干草的清香风味 Cut grass, the fragrance of hay | |
庚醛(D) Heptanal(D) | 0.26 | 0.66 | 0.34 | 0.99 | 0.34 | 0.80 | 0.63 | 有水果香气、强烈的油脂和清香 Fruit aroma, strong oil and fragrance | |
丁醛 Butanal | 0.10 | 1.54 | 1.05 | 1.86 | 1.55 | 2.27 | 0.82 | 具有较强的刺激性气味 Strong pungent odor | |
异戊醛 3-methylbutanal | 0.00 | 100.00 | 100.00 | 100.00 | 55.50 | 65.29 | 100.00 | 具有类似于香蕉和葡萄香味的特征性气味 Banana, grape and other characteristic aroma | |
2-甲基丁醛 2-methylbutanal | 0.05 | 1.30 | 0.56 | 1.16 | 0.80 | 1.62 | 0.96 | 具有坚果香、霉香、烤香、壤香 Nutty, moldy, roasted, earthy | |
(E)-2-己烯醛 (E)-2-hexenal | 0.79 | 0.03 | 0.02 | 0.03 | 0.02 | 0.03 | 0.02 | 具有新鲜的绿叶香味 Fresh green leaf aroma | |
2-己烯醛 2-hexenal | 0.15 | 3.05 | 0.77 | 1.87 | 0.79 | 1.39 | 1.85 | 水果香味 Fruit aroma | |
类别 Category | 化合物名称 Compound name | 阈值 Threshold | ROAV值 ROAV value | 气味描述 Odor description | |||||
|---|---|---|---|---|---|---|---|---|---|
农科糯336 NKN336 | 京紫糯219 JZN219 | 京科糯768 JKN768 | 京科糯2000 JKN2000 | 农科糯323 NKN323 | 京科甜608 JKT608 | ||||
酯类 Esters | 丙酸甲酯 Methyl propionate | 0.35 | 0.46 | 0.39 | 0.49 | 0.40 | 0.46 | 0.30 | 具有芳香气味,有水果香气和老姆酒样的香味 Aromatic smell, with fruit aroma and rum like aroma |
乙酸甲酯(D) Methyl acetate(D) | 5.10 | 0.05 | 0.04 | 0.06 | 0.02 | 0.03 | 0.02 | 有芬芳的水果味 Fragrant fruit flavor | |
异戊酸甲酯 Methy 3-methylbutanoate | 0.20 | 0.76 | 0.36 | 0.59 | 0.71 | 1.16 | 0.51 | 苹果样香气,有菠萝、苹果汁的香韵 Apple aroma, pineapple and apple juice aroma | |
| 甲酸异戊酯 Isoamyl formate | 149.00 | 0.00 | 0.00 | 0.01 | 0.00 | 0.01 | 0.00 | 具有浓甜的水果香气,似黑醋栗、李子、梅子样的香味 Sweet fruit aroma, like blackcurrant, plum and plum | |
乙酸异戊酯 Isoamyl acetate | 0.50 | 0.10 | 0.06 | 0.11 | 0.25 | 0.17 | 0.16 | 有梨类香气,味道微甜略涩 Pear aroma, slightly sweet and astringent taste | |
丙酮酸乙酯 Ethyl pyruvate | 22.53 | 0.00 | 0.00 | 0.00 | 0.00 | 0.00 | 0.00 | 味道特征为甜、水果味、菠萝蜜、青香、蜡香及木香香韵 It tastes sweet, fruity, pineapple, green, waxy and woody | |
戊酸乙酯 Ethyl pentanoate | 0.90 | 0.05 | 0.05 | 0.07 | 0.09 | 0.13 | 0.04 | 有较浓的脂肪臭并带有果香,味道厚重刺激性很强 Thick fat odor, fruity aroma, thick taste and strong irritation | |
丁酸乙酯 Ethyl butyrate | 0.90 | 0.16 | 0.12 | 0.61 | 0.50 | 0.51 | 0.25 | 有明显的脂肪臭,也带有菠萝的香,味道较涩但爽口 It smells of fat and pineapple. It tastes astringent but refreshing | |
乙酸乙酯(D) Ethyl acetate (D) | 0.02 | 2.82 | 0.85 | 1.82 | 1.71 | 3.51 | 2.37 | 其香气类似苹果,味道有点涩,刺激性强 The aroma is like apple, and the taste is a little astringent, with strong irritation | |
丁酸丁酯 Butyl butanoate | 0.03 | 1.39 | 0.59 | 1.09 | 0.80 | 1.43 | 1.14 | 有强烈的、甜润的水果香气,并有香蕉和菠萝似的香韵 It has a strong, sweet fruit aroma, banana and pineapple like aroma | |
Table 4 ROVA value and odor of volatile flavor compounds in fresh corn
类别 Category | 化合物名称 Compound name | 阈值 Threshold | ROAV值 ROAV value | 气味描述 Odor description | |||||
|---|---|---|---|---|---|---|---|---|---|
农科糯336 NKN336 | 京紫糯219 JZN219 | 京科糯768 JKN768 | 京科糯2000 JKN2000 | 农科糯323 NKN323 | 京科甜608 JKT608 | ||||
酯类 Esters | 丙酸甲酯 Methyl propionate | 0.35 | 0.46 | 0.39 | 0.49 | 0.40 | 0.46 | 0.30 | 具有芳香气味,有水果香气和老姆酒样的香味 Aromatic smell, with fruit aroma and rum like aroma |
乙酸甲酯(D) Methyl acetate(D) | 5.10 | 0.05 | 0.04 | 0.06 | 0.02 | 0.03 | 0.02 | 有芬芳的水果味 Fragrant fruit flavor | |
异戊酸甲酯 Methy 3-methylbutanoate | 0.20 | 0.76 | 0.36 | 0.59 | 0.71 | 1.16 | 0.51 | 苹果样香气,有菠萝、苹果汁的香韵 Apple aroma, pineapple and apple juice aroma | |
| 甲酸异戊酯 Isoamyl formate | 149.00 | 0.00 | 0.00 | 0.01 | 0.00 | 0.01 | 0.00 | 具有浓甜的水果香气,似黑醋栗、李子、梅子样的香味 Sweet fruit aroma, like blackcurrant, plum and plum | |
乙酸异戊酯 Isoamyl acetate | 0.50 | 0.10 | 0.06 | 0.11 | 0.25 | 0.17 | 0.16 | 有梨类香气,味道微甜略涩 Pear aroma, slightly sweet and astringent taste | |
丙酮酸乙酯 Ethyl pyruvate | 22.53 | 0.00 | 0.00 | 0.00 | 0.00 | 0.00 | 0.00 | 味道特征为甜、水果味、菠萝蜜、青香、蜡香及木香香韵 It tastes sweet, fruity, pineapple, green, waxy and woody | |
戊酸乙酯 Ethyl pentanoate | 0.90 | 0.05 | 0.05 | 0.07 | 0.09 | 0.13 | 0.04 | 有较浓的脂肪臭并带有果香,味道厚重刺激性很强 Thick fat odor, fruity aroma, thick taste and strong irritation | |
丁酸乙酯 Ethyl butyrate | 0.90 | 0.16 | 0.12 | 0.61 | 0.50 | 0.51 | 0.25 | 有明显的脂肪臭,也带有菠萝的香,味道较涩但爽口 It smells of fat and pineapple. It tastes astringent but refreshing | |
乙酸乙酯(D) Ethyl acetate (D) | 0.02 | 2.82 | 0.85 | 1.82 | 1.71 | 3.51 | 2.37 | 其香气类似苹果,味道有点涩,刺激性强 The aroma is like apple, and the taste is a little astringent, with strong irritation | |
丁酸丁酯 Butyl butanoate | 0.03 | 1.39 | 0.59 | 1.09 | 0.80 | 1.43 | 1.14 | 有强烈的、甜润的水果香气,并有香蕉和菠萝似的香韵 It has a strong, sweet fruit aroma, banana and pineapple like aroma | |
类别 Category | 化合物名称 Compound name | 阈值 Threshold | ROAV值 ROAV value | 气味描述 Odor description | |||||
|---|---|---|---|---|---|---|---|---|---|
农科糯336 NKN336 | 京紫糯219 JZN219 | 京科糯768 JKN768 | 京科糯2000 JKN2000 | 农科糯323 NKN323 | 京科甜608 JKT608 | ||||
酮类 Ketones | 2-辛酮 Octan-2-one | 0.23 | 0.48 | 0.23 | 0.66 | 0.42 | 1.56 | 0.59 | 具有霉香、酮香,并有牛奶、乳酪、蘑菇的气味 Musty, ketone, milk, cheese, mushroom |
2-庚酮 Heptan-2-one | 0.02 | 4.14 | 1.34 | 7.66 | 5.73 | 10.47 | 2.35 | 具有香蕉、奶酪及轻微的药香 With banana, cheese and slight medicinal aroma | |
甲基乙基酮 Butan-2-one | 1.30 | 0.08 | 0.05 | 0.10 | 0.12 | 0.15 | 0.05 | 有似丙酮的气味 It smells like acetone | |
3-辛酮 3-octanone | 0.00 | 85.33 | 29.16 | 55.33 | 100.00 | 100.00 | 51.16 | 具有甜香、果香、蜡香气味,并带有老姆酒香 Sweet, fruity, waxy, with rum aroma | |
3-庚酮 3-Heptanone | 0.26 | 0.95 | 0.31 | 0.79 | 0.41 | 0.89 | 0.73 | 具有甜香、果香、蜡香气味,并带有老姆酒香 Sweet, fruity, waxy, with rum aroma | |
醚类 Ethers | 二乙基二硫醚 Diethyl disulfide | 0.03 | 1.74 | 1.43 | 3.16 | 2.91 | 3.17 | 2.38 | — |
二丁醚 Butyl ether | 0.88 | 0.48 | 0.17 | 0.67 | 0.46 | 0.72 | 0.20 | — | |
其他 Others | 2-甲基吡啶 2-methylpyridine | 1.90 | 0.02 | 0.01 | 0.02 | 0.05 | 0.05 | 0.01 | 焦糖味和坚果香味 Caramel and nutty |
2-甲基吡嗪(D) 2-methylpyrazine(D) | 2.00 | 0.11 | 0.03 | 0.05 | 0.04 | 0.03 | 0.02 | 爆米花香气 Popcorn aroma | |
1-庚烯 1-heptene | 1.50 | 0.44 | 0.27 | 0.55 | 0.32 | 0.55 | 0.25 | 像汽油一样 Like gasoline | |
Table 4 ROVA value and odor of volatile flavor compounds in fresh corn
类别 Category | 化合物名称 Compound name | 阈值 Threshold | ROAV值 ROAV value | 气味描述 Odor description | |||||
|---|---|---|---|---|---|---|---|---|---|
农科糯336 NKN336 | 京紫糯219 JZN219 | 京科糯768 JKN768 | 京科糯2000 JKN2000 | 农科糯323 NKN323 | 京科甜608 JKT608 | ||||
酮类 Ketones | 2-辛酮 Octan-2-one | 0.23 | 0.48 | 0.23 | 0.66 | 0.42 | 1.56 | 0.59 | 具有霉香、酮香,并有牛奶、乳酪、蘑菇的气味 Musty, ketone, milk, cheese, mushroom |
2-庚酮 Heptan-2-one | 0.02 | 4.14 | 1.34 | 7.66 | 5.73 | 10.47 | 2.35 | 具有香蕉、奶酪及轻微的药香 With banana, cheese and slight medicinal aroma | |
甲基乙基酮 Butan-2-one | 1.30 | 0.08 | 0.05 | 0.10 | 0.12 | 0.15 | 0.05 | 有似丙酮的气味 It smells like acetone | |
3-辛酮 3-octanone | 0.00 | 85.33 | 29.16 | 55.33 | 100.00 | 100.00 | 51.16 | 具有甜香、果香、蜡香气味,并带有老姆酒香 Sweet, fruity, waxy, with rum aroma | |
3-庚酮 3-Heptanone | 0.26 | 0.95 | 0.31 | 0.79 | 0.41 | 0.89 | 0.73 | 具有甜香、果香、蜡香气味,并带有老姆酒香 Sweet, fruity, waxy, with rum aroma | |
醚类 Ethers | 二乙基二硫醚 Diethyl disulfide | 0.03 | 1.74 | 1.43 | 3.16 | 2.91 | 3.17 | 2.38 | — |
二丁醚 Butyl ether | 0.88 | 0.48 | 0.17 | 0.67 | 0.46 | 0.72 | 0.20 | — | |
其他 Others | 2-甲基吡啶 2-methylpyridine | 1.90 | 0.02 | 0.01 | 0.02 | 0.05 | 0.05 | 0.01 | 焦糖味和坚果香味 Caramel and nutty |
2-甲基吡嗪(D) 2-methylpyrazine(D) | 2.00 | 0.11 | 0.03 | 0.05 | 0.04 | 0.03 | 0.02 | 爆米花香气 Popcorn aroma | |
1-庚烯 1-heptene | 1.50 | 0.44 | 0.27 | 0.55 | 0.32 | 0.55 | 0.25 | 像汽油一样 Like gasoline | |
| 1 | 赵久然,卢柏山,史亚兴,等.我国糯玉米育种及产业发展动态[J].玉米科学,2016,24(4):67-71. |
| ZHAO J R, LU B S, SHI Y X, et al.. Development trends of waxy corn breeding and industry in China [J]. Corn Sci., 2016,24(4):67-71. | |
| 2 | 徐丽,赵久然,卢柏山,等.我国鲜食玉米种业现状及发展趋势[J].中国种业, 2020(10): 14-18. |
| XU L, ZHAO J R, LU B S, et al.. Current situation and development trend of fresh corn seed industry in China [J]. China Seed Industry,2020(10):14-18. | |
| 3 | 贾铭,张世洪,杨虎,等.鲜食糯玉米绿色高产高效栽培技术[J].种子科技,2021,39(17):48-50. |
| JIA M, ZHANG S H, YANG H, et al.. Green, high yield and high efficiency cultivation techniques of fresh waxy corn [J]. Seed Technol., 2021,39(17):48-50. | |
| 4 | 李紫琪,古艳婷,郭燕枝,等.我国鲜食玉米标准体系及营养标准研究[J].食品安全质量检测学报, 2022,13(18):5964-5973. |
| LI Z Q, GU Y T, GUO Y Z, et al.. Study on the standard system and nutritional standard of fresh corn in China [J]. J. Food Safety Quality Inspection, 2022,13(18):5964-5973. | |
| 5 | 卢柏山,董会,赵久然,等.不同鲜食玉米品种适采期氨基酸含量分析[J].中国农业科技导报, 2023, 25 (11): 132-142. |
| LU B S, DONG H, ZHAO J R, et al.. Amino acid content analysis of different fresh corn varieties at suitable harvest time [J]. J. Agric. Sci. Technol., 2023,25(11):132-142. | |
| 6 | 卢柏山,董会,史亚兴,等.不同品种鲜食玉米体外抗氧化能力综合评价[J].华北农学报, 2021, 36 (S1): 101-110. |
| LU B S, DONG H, SHI Y X, et al.. Comprehensive evaluation of antioxidant capacity in vitro of different varieties of fresh corn [J]. Acta Agric. Sin., 2021,36(S1):101-110. | |
| 7 | 史亚兴,张保民.鲜食玉米的发展与前景——探索我国甜玉米的北方市场![J].蔬菜, 2016(12):1-6. |
| SHI Y X, ZHANG B M. Development and prospect of fresh corn-explore the northern market of sweet corn in China! [J]. Vegetables, 2016(12):1-6. | |
| 8 | 卢柏山,史亚兴.糯玉米京紫糯218选育及其特征特性研究[J].农业科技通讯,2011(5):108-110. |
| LU B S, SHI Y X. Breeding and characteristics of waxy maize Jingzinuo 218 [J]. Agric. Sci. Technol. Commun., 2011(5):108-110. | |
| 9 | 赵久然,卢柏山,史亚兴.“京科糯2000”等系列糯玉米品种选育及种质创新[J].中国科技成果, 2011(11):72-73. |
| ZHAO J R, LU B S, SHI Y X. Breeding and germplasm innovation of a series of waxy maize varieties such as “Jingkenuo 2000” [J]. China Sci. Technol. Achievements, 2011(11):72-73. | |
| 10 | 徐丽,史亚兴,席胜利,等."甜味糯"新型鲜食玉米及其代表品种京科糯768的选育[J].植物遗传资源学报,2023,24(1):317-324. |
| XU L, SHI Y X, XI S L, et al.. A new type of fresh corn——waxy corn with sweet taste and the representative variety Jingkenuo 768 [J]. J. Plant Genetic Resour., 2023,24(01):317-324. | |
| 11 | LIU M, ZHU K, YAO Y, et al.. Antioxidant, anti-inflammatory and antitumor activities of phenolic compounds from white, red and black Chenopodium quinoa seed [J]. Cereal Chem., 2020,97(3):703-713. |
| 12 | 袁惠琦.脂氧合酶在鲜食糯玉米风味形成中的作用及其在采后贮藏中的应用[D].镇江:江苏大学,2020. |
| YUAN H Q. The role of lipoxygenase in the formation of fresh waxy cornflavor and its application in postharvest storage [D]. Zhenjiang: Jiangsu University,2020. | |
| 13 | 孙神振,赵淼,吴洪婕,等.不同品种类型玉米口感与营养及风味品质的比较[J].作物研究, 2011, 25(6):556-558. |
| SUN S Z, ZHAO M, WU H J, et al.. Nutritional and flavor quality analysis of different kinds of waxy corn [J]. Crop Res.,2011,25(6):556-558. | |
| 14 | 李国琰,李巧玲,张雁,等.鲜食玉米挥发性风味成分分析技术及变化规律研究进展[J].食品研究与开发,2021,42(15):210-218. |
| LI G Y, LI Q L, ZHANG Y, et al.. Research advances on analysis technology and changes of volatile flavor compounds in fresh corn [J]. Food Res. Dev., 2021,42 (15):210-218. | |
| 15 | 褚能明,柯剑鸿,袁亮.不同鲜食甜糯玉米挥发性风味物质主成分分析[J].核农学报, 2017, 31(11):2175-2185. |
| CHU N M, KE J H, YUAN L. Principal components analysis for volatility of flavor compositions in different fresh sweet glutinous corn [J]. J. Nuclear Agric., 2017,31(11):2175-2185. | |
| 16 | 陈芳,阚健全,孔梅.浅谈食品风味化学[J].中国调味品, 2001(2):30-32. |
| CHEN F, KAN J Q, KONG M. Discussion on food flavor chemistry [J]. Chin. Condiments, 2001(2):30-32. | |
| 17 | 丁耐克.食品风味化学[M].北京:中国轻工业出版社, 2006:1-383. |
| 23 | 刘玉花,宋江峰,李大婧,等.速冻甜玉米风味物质HS-SPME/GC-MS分析[J].食品工业科技, 2010(7):95-98. |
| LIU Y H, SONG J F, LI D J, et al.. Analysis of the volatile flavor components of the quick-frozen sweet corn by HS-SPME/GC-MS [J]. Food Industry Sci. Technol., 2010(7):95-98. | |
| 24 | 刘瑶,左进华,高丽朴,等.流态冰预冷处理对甜玉米贮藏品质的影响[J].制冷学报,2020,41(03):83-90. |
| LIU Y, ZUO J H, GAO L P, et al.. Effect of slurry ice precooling treatment on quality of sweet corn [J]. J. Refrigeration, 2020,41(03):83-90. | |
| 25 | 孙嘉卿,冯涛,张灿,等.结合GC-MS和GC-IMS分析不同处理方式下玉米的挥发性风味物质[J].粮油食品科技,2021,29(1):1-9. |
| SUN J Q, FENG T, ZHANG C, et al.. Analysis of volatile flavor compounds in corn under different treatments by GC-MS and GC-IMS [J]. Grain Oil Food Sci. Technol., 2021,29(1):1-9. | |
| 26 | 李扬,李妍,李栋,等.基于ROAV和嗅闻技术分析乳脂的关键风味化合物[J].食品科学, 2023, 44(6):262-267. |
| LI Y, LI Y, LI D, et al.. Analysis of key flavor compounds in dairy fat products using relative odor activity value and olfactometry [J]. Food Sci., 2023,44(6):262-267. | |
| 27 | 刘登勇,周光宏,徐幸莲.确定食品关键风味化合物的一种新方法:“ROA”法[J].食品科学, 2008(7):370-374. |
| LIU D Y, ZHOU G H, XU X L. “ROA” Method: a new method for determining key odor compounds of rugao ham [J]. Food Sci., 2008 (7):370-374. | |
| 28 | 魏泽宏,唐涛,刘少军,等.一种基于风味特征的杂交鱼类肉品质评价方法:CN202110491076.9 [P]. 2022-05-17. |
| 29 | 张卫斌.食品感官分析标度域——基于味觉行为的实验及理论研究[D].杭州:浙江工商大学,2012. |
| ZHANG W B. Scale domain of food sensory analysis-experimental and theoretical research based on taste behavior [D]. Hangzhou: Zhejiang Industrial and Commercial University, 2012. | |
| 30 | GEMERT L J V. Compilations of odour threshold values in air, water and other media [J].2003. |
| 31 | 马良,王若兰.玉米储藏过程中挥发性成分变化研究[J].现代食品科技,2015,31(7):316-325. |
| MA L, WANG R L. Changes in volatile components of maize during storage [J]. Modern Food Sci. Technol., 2015,31(7)316-325. | |
| 32 | 徐瑞,李洪军,贺稚非.玉米冻藏过程中挥发性成分变化及主成分分析[J].食品与发酵工业,2019,45(1):210-218. |
| XU R, LI H J, HE Z F. Changes and principal component analysis of volatile compounds in corn ears during frozen storage [J]. Food Fermentation Industry, 2019,45(1):210-218. | |
| 33 | 谢正敏,练顺才,叶华夏,等.玉米蒸煮香气成分的研究[J].酿酒科技,2012(9):68-71. |
| XIE Z M, LIAN S C, YE H X, et al.. Research on the flavoring compositions of maize [J]. Brewing Technol., 2012(9): 68-71. | |
| 34 | FAN X, JIAO X, LIU J, et al.. Characterizing the volatile compounds of different Sorghum cultivars by both GC-MS and HS-GC-IMS [J]. Food Res. Int., 2020,140(4):109975.1-11. |
| 35 | 王俊沪,霍贵成.干酪风味物质的生成[J].中国乳品工业, 2004, 32(12):36-42. |
| WANG J H, HUO G C. Formation of cheese flavor compounds [J]. China Dairy Industry, 2004, 32 (12):36-42. | |
| 36 | 曹锦轩,吕彤,王颖,等.脂肪相关酶类在干腌肉制品风味形成过程中的作用[J].现代食品科技,2015,31(1):254-258. |
| CAO J X, LV T, WANG Y, et al.. The role of fat-related enzymes in the process of flavor formation in dry-cured meat products [J]. Modern Food Sci. Technol.,2015,31(1):254-258. | |
| 37 | EKPA O, FOGLIANO V, LINNEMANN A. Identification of the volatile profiles of 22 traditional and newly bred maize varieties and their porridges by PTR-QiTOF-MS and HS-SPME GC-MS [J]. J. Sci. Food Agric., 2021,101(4):1618-1628. |
| 38 | 程媛,吴继军,刘忠义,等.不同杀菌方式的甜玉米饮料挥发性风味成分分析[J].现代食品科技, 2019, 35(5):281-288. |
| CHENG Y, WU J J, LIU Z Y, et al.. Analysis of volatile compounds in sweet corn beverage with different sterilizations [J]. Modern Food Sci. Technol., 2019,35(5):281-288. | |
| 39 | 沈凌雁,牛丽影,刘春菊,等.不同品种鲜食糯玉米清汁与籽粒中挥发性成分比较[J].核农学报,2021,35(4):902-910. |
| SHEN L Y, NIU L Y, LIU C J, et al.. Comparison of volatile components in clear juice and kernel of different fresh-edible waxy corn cultivars [J]. J. Nuclear Agric., 2021,35(4):902-910. |
| [1] | Yinan JIA, Guangdi ZHANG, Haoyu ZHANG, Chang XU, Kunming ZHANG, Jianglong WANG, Xiaojian HOU. Study on Fruit Quality of ‘Muscat Hamburg’ Grape Applied by Silicon Fertilizer in Root Zone [J]. Journal of Agricultural Science and Technology, 2023, 25(5): 215-223. |
| [2] | Yinan JIA, Zhongwu WAN, Chang XU, Guangdi ZHANG, Jianglong WANG, Kunming ZHANG, Xiaojian HOU, Wenyi BAO, Yu WANG, Weijun CHEN. Analysis of ‘Daqing Grape’ Quality Index Based on Big-trellis in Open Field Cultivation [J]. Journal of Agricultural Science and Technology, 2023, 25(12): 44-57. |
| [3] | Baishan LU, Hui DONG, Jiuran ZHAO, Li XU, Yanli FAN, Yaxing SHI, Ronghuan WANG. Amino Acid Content Analysis of Different Fresh Corn Varieties at Suitable Harvest Time [J]. Journal of Agricultural Science and Technology, 2023, 25(11): 132-142. |
| [4] | Wenzhu YANG, Rumei CHEN. Breeding Progress of Anthocyanin Corn [J]. Journal of Agricultural Science and Technology, 2022, 24(8): 18-24. |
| Viewed | ||||||
|
Full text |
|
|||||
|
Abstract |
|
|||||
京公网安备11010802021197号