








Journal of Agricultural Science and Technology ›› 2025, Vol. 27 ›› Issue (6): 218-228.DOI: 10.13304/j.nykjdb.2023.0953
• BIO-MANUFACTURING & RESOURCE AND ECOLOGY • Previous Articles Next Articles
Xiaoyu QI1(
), Yanjie GUO1,2, Lu LIU1, Zitao ZHANG1, Lijuan ZHANG1,2,3, Yanzhi JI1,2,3(
)
Received:2023-12-26
Accepted:2024-06-04
Online:2025-06-15
Published:2025-06-23
Contact:
Yanzhi JI
齐潇雨1(
), 郭艳杰1,2, 柳鹭1, 张子涛1, 张丽娟1,2,3, 吉艳芝1,2,3(
)
通讯作者:
吉艳芝
作者简介:齐潇雨 E-mail:q15233118871@163.com;
基金资助:CLC Number:
Xiaoyu QI, Yanjie GUO, Lu LIU, Zitao ZHANG, Lijuan ZHANG, Yanzhi JI. Effects of Planting Years on Soil Salinization and Microbial Community in Facility Vineyards[J]. Journal of Agricultural Science and Technology, 2025, 27(6): 218-228.
齐潇雨, 郭艳杰, 柳鹭, 张子涛, 张丽娟, 吉艳芝. 种植年限对设施葡萄园土壤盐渍化及微生物群落的影响[J]. 中国农业科技导报, 2025, 27(6): 218-228.
Add to citation manager EndNote|Ris|BibTeX
URL: https://nkdb.magtechjournal.com/EN/10.13304/j.nykjdb.2023.0953
土层深度 Soil depth/cm | 土壤质地 Soil exture | 有机质 Soil organic matter/(g·kg-1) | 有效磷 Available phosphorous/ (mg·kg-1) | 速效钾 Available potassium/ (mg·kg-1) | pH | 容重 Bulk density/ (g·cm-3) |
|---|---|---|---|---|---|---|
| 0—20 | 壤质砂土 Loamy sand | 13.07~29.20 | 189.46~205.13 | 367.42~422.70 | 6.45~7.70 | 1.02~1.34 |
| 20—40 | 6.55~22.42 | 116.35~124.49 | 396.54~414.60 | 6.92~8.20 | 1.13~1.42 | |
| 40—60 | 4.45~9.54 | 94.72~120.44 | 279.15~301.30 | 7.04~8.46 | 1.00~1.19 | |
| 60—80 | 2.00~3.74 | 33.24~41.38 | 222.00~254.32 | 6.79~8.54 | 1.04~1.15 | |
| 80—100 | 0.83~5.77 | 23.25~47.54 | 197.91~220.60 | 7.38~8.61 | 1.08~1.21 |
Table 1 Basic physicochemical properties of soil in the study area
土层深度 Soil depth/cm | 土壤质地 Soil exture | 有机质 Soil organic matter/(g·kg-1) | 有效磷 Available phosphorous/ (mg·kg-1) | 速效钾 Available potassium/ (mg·kg-1) | pH | 容重 Bulk density/ (g·cm-3) |
|---|---|---|---|---|---|---|
| 0—20 | 壤质砂土 Loamy sand | 13.07~29.20 | 189.46~205.13 | 367.42~422.70 | 6.45~7.70 | 1.02~1.34 |
| 20—40 | 6.55~22.42 | 116.35~124.49 | 396.54~414.60 | 6.92~8.20 | 1.13~1.42 | |
| 40—60 | 4.45~9.54 | 94.72~120.44 | 279.15~301.30 | 7.04~8.46 | 1.00~1.19 | |
| 60—80 | 2.00~3.74 | 33.24~41.38 | 222.00~254.32 | 6.79~8.54 | 1.04~1.15 | |
| 80—100 | 0.83~5.77 | 23.25~47.54 | 197.91~220.60 | 7.38~8.61 | 1.08~1.21 |
种植年限 Planting years/a | 养分投入量 Nutrient input/(kg·hm-2) | ||
|---|---|---|---|
| 氮 N | 五氧化二磷 P2O5 | 氧化钾 K2O | |
| 0 | 426.26±47.85 | 305.47±24.61 | 72.30±8.83 |
| 0~5 | 663.47±352.40 | 521.53±289.16 | 661.41±305.12 |
| 6~10 | 590.53±335.43 | 453.21±136.45 | 669.00±324.09 |
| 11~15 | 400.48±161.60 | 370.99±113.27 | 483.99±76.67 |
| >15 | 415.63±193.56 | 287.25±96.30 | 414.13±194.82 |
Table 2 Fertilizer net nutrient input in vineyards with different planting years
种植年限 Planting years/a | 养分投入量 Nutrient input/(kg·hm-2) | ||
|---|---|---|---|
| 氮 N | 五氧化二磷 P2O5 | 氧化钾 K2O | |
| 0 | 426.26±47.85 | 305.47±24.61 | 72.30±8.83 |
| 0~5 | 663.47±352.40 | 521.53±289.16 | 661.41±305.12 |
| 6~10 | 590.53±335.43 | 453.21±136.45 | 669.00±324.09 |
| 11~15 | 400.48±161.60 | 370.99±113.27 | 483.99±76.67 |
| >15 | 415.63±193.56 | 287.25±96.30 | 414.13±194.82 |
指标 Index | 盐渍化等级 Salinization grade | ||||
|---|---|---|---|---|---|
非盐渍土 Non-saline soil | 轻度盐渍土 Lightly saline soil | 中度盐渍土 Moderately saline soil | 重度盐渍土 Heavy saline soil | 盐土 Salt soil | |
含盐量 Salt content/(g·kg-1) | ≤1.0 | 1.0~2.0 | 2.0~4.0 | 4.0~6.0 | >6.0 |
电导率 EC/(mS·cm-1) | ≤2.5 | 2.5~5.5 | 5.5~8.5 | 8.5~14.0 | >14.0 |
Table 3 Grading standard of soil salinization
指标 Index | 盐渍化等级 Salinization grade | ||||
|---|---|---|---|---|---|
非盐渍土 Non-saline soil | 轻度盐渍土 Lightly saline soil | 中度盐渍土 Moderately saline soil | 重度盐渍土 Heavy saline soil | 盐土 Salt soil | |
含盐量 Salt content/(g·kg-1) | ≤1.0 | 1.0~2.0 | 2.0~4.0 | 4.0~6.0 | >6.0 |
电导率 EC/(mS·cm-1) | ≤2.5 | 2.5~5.5 | 5.5~8.5 | 8.5~14.0 | >14.0 |
Fig. 1 Soil EC and salinity content of soil layer from 0 to 100 cm in vineyards with different planting yearsNote:Different lowercase letters indicate significant differences between different planting years of the same soil layer in salt content at P<0.05 level.
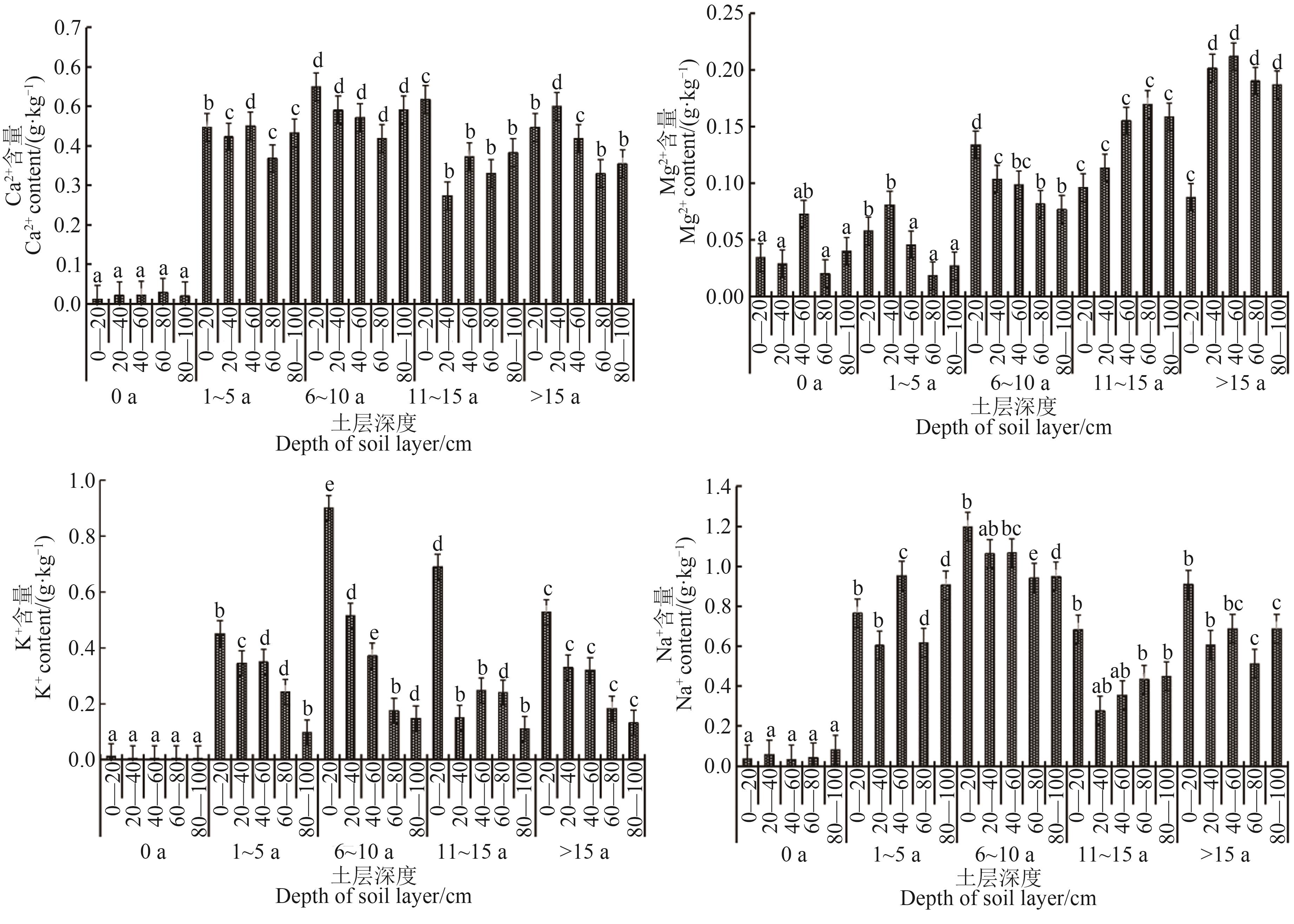
Fig. 2 Distribution of cations in soil layer from 0 to 100 cm with different planting yearsNote:Different lowercase letters indicate significant differences between different planting years of the same soil layer at P<0.05 level.
Fig. 3 Distribution of anions in soil layer from 0 to 100 cm with different planting yearsNote:Different lowercase letters indicate significant differences between different planting years of the same soil layer at P<0.05 level.
Fig. 4 Microbial biomass carbon and nitrogen from 0 to 100 cm soil layerNote:Different lowercase letters indicate significant differences between different planting years at P<0.05 level.
菌种 Species | 种植年限 Planting year/a | Observed species指数 Observed species index | Chao 1指数 Chao 1index | Shannon指数 Shannon index |
|---|---|---|---|---|
细菌 Bacteria | 0 | 4 527.90±65.1 a | 5 214.12±34.2 a | 11.08±0.14 a |
| 1~5 | 4 318.43±125.64 a | 5 002.38±172.53 a | 10.93±0.47 a | |
| 6~10 | 4 111.63±172.43 a | 4 985.93±189.20 a | 10.82±0.36 a | |
| 11~15 | 4 402.13±116.32 a | 5 047.89±174.35 a | 10.93±0.24 a | |
| >15 | 3 902.30±126.12 a | 4 694.06±194.67 a | 10.84±0.24 a | |
真菌 Fungi | 0 | 285.35±24.45 b | 283.07±19.61 b | 5.01±0.01 a |
| 1~5 | 269.6±10.29 b | 272.28±10.27 b | 5.11±0.32 a | |
| 6~10 | 477.08±26.44 a | 485.31±31.35 a | 5.48±0.23 a | |
| 11~15 | 467.03±31.28 a | 469.96±29.67 a | 5.57±0.38 a | |
| >15 | 476.95±0.45 a | 488.46±0.96 a | 5.73±0.46 a |
Table 4 Community diversity index of bacteria and fungi in vineyard soils with different planting years
菌种 Species | 种植年限 Planting year/a | Observed species指数 Observed species index | Chao 1指数 Chao 1index | Shannon指数 Shannon index |
|---|---|---|---|---|
细菌 Bacteria | 0 | 4 527.90±65.1 a | 5 214.12±34.2 a | 11.08±0.14 a |
| 1~5 | 4 318.43±125.64 a | 5 002.38±172.53 a | 10.93±0.47 a | |
| 6~10 | 4 111.63±172.43 a | 4 985.93±189.20 a | 10.82±0.36 a | |
| 11~15 | 4 402.13±116.32 a | 5 047.89±174.35 a | 10.93±0.24 a | |
| >15 | 3 902.30±126.12 a | 4 694.06±194.67 a | 10.84±0.24 a | |
真菌 Fungi | 0 | 285.35±24.45 b | 283.07±19.61 b | 5.01±0.01 a |
| 1~5 | 269.6±10.29 b | 272.28±10.27 b | 5.11±0.32 a | |
| 6~10 | 477.08±26.44 a | 485.31±31.35 a | 5.48±0.23 a | |
| 11~15 | 467.03±31.28 a | 469.96±29.67 a | 5.57±0.38 a | |
| >15 | 476.95±0.45 a | 488.46±0.96 a | 5.73±0.46 a |
Fig. 6 Relationship between planting years, secondary salinization and the microbes in 0—20 cm soil layerNote:* indicates significant correlation at P<0.05 level.
| 1 | 中国国家统计局. 中国统计年鉴[M]. 北京: 中国统计出版社,2022: 1-938. |
| 2 | 王世平,李勃.中国设施葡萄发展概况[J].落叶果树,2019,51(1):1-5. |
| 3 | 王朔, 李帅霖, 曾秀丽, 等. 西藏设施葡萄土壤酸化、盐渍化和养分特征[J]. 果树学报, 2018, 35(8): 957-966. |
| WANG S, LI S L, ZENG X L, et al.. Soil acidification, salinization and nutrient characteristics in greenhouse vineyards in Tibet [J]. J. Fruit Sci., 2018, 35(8): 957-966. | |
| 4 | 马艳春,姚玉新,杜远鹏,等.葡萄设施栽培不同种植年限土壤理化性质的变化[J].果树学报,2015,32(2):225-231. |
| MA Y C, YAO Y X, DU Y P, et al.. Changes of soil physical and chemical properties in greenhouse of different grapevine planting years [J]. J. Fruit Sci., 2015,32(2):225-231. | |
| 5 | 曾希柏,白玲玉,苏世鸣,等.山东寿光不同种植年限设施土壤的酸化与盐渍化[J].生态学报,2010,30(7):1853-1859. |
| ZENG X B, BAI L Y, SU S M, et al.. Acidification and salinization in greenhouse soil of different cultivating years from Shouguang City, Shandong [J]. Acta Ecol. Sin., 2010, 30(7):1853-1859. | |
| 6 | 王楠.设施栽培年限对设施土壤生态环境的影响及次生盐渍化土壤的改良[D].重庆:西南大学,2012. |
| WANG N. Effect of Greenhouse age on greenhouse soil eco-environment and amelioration of secondary salinization soil [D]. Chongqing: Southwest University, 2012. | |
| 7 | VARJANI S J, GNANSOUNOU E, PANDEY A. Comprehensive review on toxicity of persistent organic pollutants from petroleum refinery waste and their degradation by microorganisms [J]. Chemosphere, 2017,188:280-291. |
| 8 | VIEIRA S, LUCKNER M, WANNER G, et al.. Luteitalea pratensis gen.nov.,sp.nov.a new member of subdivision 6 Acidobacteria isolated from temperate grassland soil [J]. Int. J.Syst. Evol. Microbiol., 2017,67(5):1408-1414. |
| 9 | WU N, LI Z, WU F, et al.. Microenvironment and microbial community in the rhizosphere of dioecious Populus cathayana at Chaka Salt Lake [J]. J. Soils Sediments, 2019,19(6):2740-2751. |
| 10 | 李凤霞, 王学琴, 郭永忠, 等. 宁夏不同类型盐渍化土壤微生物区系及多样性[J]. 水土保持学报, 2011, 25(5): 107-111. |
| LI F X, WANG X Q, GUO Y Z, et al.. Microbial flora and diversity in different types of saline-alkali soil in Ningxia [J]. J. Soil. Water Conserv., 2011, 25(5): 107-111. | |
| 11 | 张翔,宋水山,黄亚丽,等.基于高通量测序分析河北省中南部地区耕地土壤细菌多样性[J].华北农学报,2018,33(4):196-203. |
| ZHANG X, SONG S S, HUANG Y L, et al.. Analysis of bacterial diversity in cultivated soils in middle and southern Hebei province based on high-throughput sequencing [J]. Acta Agric. Boreali-Sin., 2018,33(4):196-203. | |
| 12 | 刘银双,牛宏进,赵阳阳,等.河北省不同盐渍化土壤类型的微生物多样性与种群结构[J].环境科学,2023,44(12):7004-7013. |
| LIU Y S, NIU H J, ZHAO Y Y, et al.. Microbial diversity and population structure of different salinized soil types in Hebei province [J]. Environ. Sci., 2023,44(12):7004-7013. | |
| 13 | 王飞, 禇贵新, 杨明凤, 等. 北疆绿洲不同盐分浓度梯度下土壤的生物活性及其功能多样性[J]. 土壤通报, 2012, 43(3): 621-626. |
| WANG F, CHU G X, YANG M F, et al.. Soil biological activity and its functional diversity along with salinity gradient in oasis of northern Xinjiang [J]. Chin. J. Soil Sci., 2012, 43(3): 621-626. | |
| 14 | 朱海,杨劲松,姚荣江,等.有机无机肥配施对滨海盐渍农田土壤盐分及作物氮素利用的影响[J].中国生态农业学报,2019,27(3):441-450. |
| ZHU H, YANG J S, YAO R J, et al.. Effects of partial substitution of organic nitrogen for inorganic nitrogen in fertilization on salinity and nitrogen utilization in salinized coastal soil [J]. Chin. J. Eco-Agric., 2019,27(3):441-450. | |
| 15 | 次惠云.饶阳县设施葡萄种植户关键技术采纳行为及影响因素分析[D].保定:河北农业大学,2019. |
| CI H Y. Analysis on key technology adoptions and influencing factors of grape planters in Raoyang county [D]. Baoding: Hebei Agricultural University, 2019. | |
| 16 | 郭锦瑞. 饶阳县设施葡萄产业发展研究[D]. 郑州: 河南工业大学, 2020. |
| GUO J R. Research on the development of protected grape industry in Raoyang county [D]. Zhengzhou: Henan University of Technology, 2020. | |
| 17 | 张子涛. 河北省典型县域设施葡萄园施肥现状及优化技术[D]. 保定: 河北农业大学, 2022. |
| ZHANG Z T. Current situation and optimization technology of fertilization in vineyard in typical counties of Hebei province [D]. Baoding: Hebei Agricultural University, 2022. | |
| 18 | 鲍士旦.土壤农化分析[M].3版.北京:中国农业出版社,2000:1-495. |
| 19 | 王遵亲.中国盐渍土[M].北京:科学出版社,1993:1-652. |
| 20 | 杨亚红. 不同种植年限果蔬温室大棚土壤理化性质的演变规律[D]. 延安: 延安大学, 2019. |
| YANG Y H. Evolution of physical and chemical properties of soil in greenhouse of fruit and vegetable in different planting years [D]. Yan’an: Yan’an University, 2019. | |
| 21 | 钱晓雍.塑料大棚设施菜地土壤次生盐渍化特征[J].中国土壤与肥料,2017(5):73-79. |
| QIAN X Y. Characteristics of secondary salinization of vegetable soil in plastic film greenhouse [J].Soil Fert. Sci.China, 2017(5):73-79. | |
| 22 | YANG F, AN F H, MA H Y, et al.. Variations on soil salinity and sodicity and its driving factors analysis under microtopography in different hydrological conditions [J]. Water, 2016, 8(6): 2-13. |
| 23 | 姜忠廷. 土壤次生盐渍化及其对设施农业可持续发展的影响[C]//中国环境科学学会. 2010中国环境科学学会学术年会论文集(第四卷). 北京:中国环境科学出版社, 2010: 5. |
| 24 | 蔡祖聪,黄新琦.土壤学不应忽视对作物土传病原微生物的研究[J].土壤学报,2016,53(2):305-310. |
| CAI Z C, HUANG X Q. Soil-borne pathogens should not be ignored by soil science [J]. Acta Pedol.Sin., 2016,53(2):305-310. | |
| 25 | 茅国芳,陆利民,杨晓华,等.沪郊西瓜甜瓜设施栽培土壤次生盐渍化的基本特性与防治技术研究[J].上海农业学报,2005,21(1):58-66. |
| MAO G F, LU L M, YANG X H, et al.. Study on the basic characteristics and control technique of secondary salted soil under protected culture of watermelon and melon in Shanghai suburbs [J]. Acta Agric. Shanghai, 2005,21(1):58-66. | |
| 26 | LIN X G, YIN R, ZHANG H Y, et al.. Changes of soil microbiological properties caused by land use changing from rice-wheat rotation to vegetable cultivation [J]. Environ. Geochem. Health, 2004,26(2):119-128. |
| 27 | MIAO Y X, STEWART B A, ZHANG F S. Long-term experiments for sustainable nutrient managements in China [J]. Agron. Sustain. Dev., 2011, 31(9): 83-93. |
| 28 | 李涛,于蕾,吴越,等.山东省设施菜地土壤次生盐渍化特征及影响因素[J].土壤学报,2018,55(1):100-110. |
| LI T, YU L, WU Y, et al.. Secondary salinization of greenhouse vegetable soils and its affecting factors in Shandong province,China [J]. Acta Pedol. Sin., 2018,55(1):100-110. | |
| 29 | 肖春萍,杨利民,马锋敏.栽培年限对人参根际土壤微生物活性及微生物量的影响[J].中国中药杂志,2014,39(24):4740-4747. |
| XIAO C P, YANG L M, MA F M. Effects of growing time on Panax ginseng rhizosphere soil microbial activity and biomass [J]. China J. Chin. Mater. Med., 2014,39(24):4740-4747. | |
| 30 | 国春菲.土壤盐分和pH对滨海盐土土壤微生物多样性的影响[D].杭州:浙江农林大学,2013. |
| GUO C F. Effects of salinity and pH on soil microbial diversity in coastal saline soil [D]. Hangzhou: Zhejiang A&F University, 2013. | |
| 31 | 李桥.基于高通量测序技术下土壤微生物群落结构的研究[D].济南:山东师范大学,2014. |
| LI Q. Research of soil microbial community structure based on high-throughput sequencing technology [D]. Ji’nan: Shandong Normal University, 2014. | |
| 32 | 朱家瑞. 盐碱土壤冬枣根际微生物群落及果实品质研究[D]. 杨凌: 西北农林科技大学, 2022. |
| ZHU J R. Rhizosphere microbial community and fruit quality of winter jujube in saline soil [D]. Yangling: Northwest A&F University, 2022. | |
| 33 | 李婧男.园林废弃物堆肥化处理及其产物对滨海盐渍土的改良效应研究[D].北京:北京林业大学,2020. |
| LI J N. Study on composting of green waste and the improvement effect of products on coastal saline soil [D]. Beijing: Beijing Forestry University, 2020. | |
| 34 | JACOBY R, PEUKERT M, SUCCURRO A, et al.. The role of soil microorganisms in plant mineral nutrition-current knowledge and future directions [J/OL]. Front. Plant Sci.,2017,8:1617 [2023-11-26]. . |
| 35 | 李玉娇,刘星,吴大付,等.温室黄瓜连作对土壤真菌数量和群落结构的影响[J].华北农学报,2020,35(1):194-204. |
| LI Y J, LIU X, WU D F, et al.. Effects of continuous cropping of greenhouse cucumber on soil fungal abundance and community structure province [J]. Acta Agric.Boreali-Sin., 2020,35(1):194-204. | |
| 36 | 王文团. 耐盐碱细菌筛选与生物菌肥对盐碱地作物的影响 [D].泰安:山东农业大学,2020. |
| WANG W T. Screening of saline-tolerant bacteria and effects of biological fertilizer on saline-alkali crops [D]. Tai’an: Shandong Agricultural University, 2020. |
| [1] | Can WANG, Qiang CUI, Qianru SHI, Hao TANG, Xinjie NING, Jingjing ZHANG, Suqin YANG, Biao ZHANG. Deactivation of 3 Amendments and Their Effects on Microbial Coummunity in Different Contaminated Soils [J]. Journal of Agricultural Science and Technology, 2025, 27(8): 215-226. |
| [2] | Taijun FANG, Lu HOU, Luchao BAI. Soil Microbial Diversity in the Rhizosphere of Lycium barbarum Infected with Root Rot Disease in the Qaidam Region [J]. Journal of Agricultural Science and Technology, 2024, 26(1): 133-139. |
| [3] | Rui XIAO, Lu TAN, Liang WU, Hao ZHANG, Jiayuan GUO, Haijun YANG. Microbial Community Structure and Diversity in Rhizosphere and Non-rhizosphere Soil of Kochia scoparia Under Cd Stress [J]. Journal of Agricultural Science and Technology, 2023, 25(8): 203-215. |
| [4] | Hui LIU, Jiezeng JIANG, Hao ZHANG, Yongxian ZHANG, Jiayu QIAN, Dongsheng LI, Yan LYU, Huanrui WU. Effects of Straw Mulching on Shallow Water Soil on Alleviating Soil Salinization and Growth of Aquatic Vegetables [J]. Journal of Agricultural Science and Technology, 2022, 24(5): 202-208. |
| [5] | Lijuan HE, Zhongju MENG, Xiaohong DANG, Tao LYU. Effects of Planting Glycyrrhizauralensis on Mechanical Composition and Nutrients of Aeolian Sandy Soil [J]. Journal of Agricultural Science and Technology, 2022, 24(2): 169-176. |
| [6] | Heling FAN, Qing ZHU, Xuebing SUN, Li ZHANG, Changjiang LI, Ping CHEN, Xiaolong HUANG, Rongping ZHANG. Microbial Diversity and Community Structure of Different Agricultural Jiaosu [J]. Journal of Agricultural Science and Technology, 2022, 24(11): 179-189. |
| [7] | ZHANG Lei, LUO Zehua, YANG Mingchuan, LI Shigui, XIN Yuhua, CAI Bin, LIU Haobao, CENG Dailong, GU Jingang, DUAN Bihua. Diversity of Fermentation Microbes and Changes of Hydrolytic Enzyme Activities of Cigar Leaf Raw Materials [J]. Journal of Agricultural Science and Technology, 2021, 23(10): 171-180. |
| [8] | LIU Qian1,2, LI Jichao1, ZUO Yingmei1, YANG Tianmei1, YANG Meiquan1, ZHANG Jinyu1*. Influences of Organic Mulching on Soil Nutrient and Microbial Diversity of Panax notoginseng (Burk.) F. H. Chen [J]. Journal of Agricultural Science and Technology, 2021, 23(1): 162-175. |
| [9] | HENG Tong, WANG Zhenhua, ZHANG Jinzhu *, LI Wenhao. Development of Farmland Drainage Technology to Control Saline-land in Xinjiang [J]. Journal of Agricultural Science and Technology, 2019, 21(3): 161-169. |
| Viewed | ||||||
|
Full text |
|
|||||
|
Abstract |
|
|||||
京公网安备11010802021197号