Journal of Agricultural Science and Technology ›› 2023, Vol. 25 ›› Issue (11): 49-57.DOI: 10.13304/j.nykjdb.2023.0625
• BIOTECHNOLOGY & LIFE SCIENCE • Previous Articles Next Articles
Da CHEN1(), Jisheng JU1, Qi MA2, Shouzhen XU2, Juanjuan LIU1, Wenmin YUAN1, Jilian LI2, Caixiang WANG1, Junji SU1(
)
Received:
2023-08-19
Accepted:
2023-09-27
Online:
2023-11-15
Published:
2023-11-20
Contact:
Junji SU
陈炟1(), 巨吉生1, 马麒2, 徐守振2, 刘娟娟1, 袁文敏1, 李吉莲2, 王彩香1, 宿俊吉1(
)
通讯作者:
宿俊吉
作者简介:
陈炟 E-mail: 3089781690@qq.com;
基金资助:
CLC Number:
Da CHEN, Jisheng JU, Qi MA, Shouzhen XU, Juanjuan LIU, Wenmin YUAN, Jilian LI, Caixiang WANG, Junji SU. Effects of FeNPs on Cotton Roots Growth and Its Response to Drought Stress at Seedling Stage[J]. Journal of Agricultural Science and Technology, 2023, 25(11): 49-57.
陈炟, 巨吉生, 马麒, 徐守振, 刘娟娟, 袁文敏, 李吉莲, 王彩香, 宿俊吉. FeNPs对苗期棉花根系生长及其对干旱响应的影响[J]. 中国农业科技导报, 2023, 25(11): 49-57.
Add to citation manager EndNote|Ris|BibTeX
URL: https://nkdb.magtechjournal.com/EN/10.13304/j.nykjdb.2023.0625
Fig. 1 Effects of different FeNPs levels on root related indexes of cotton.Note:Different letters in the figure mean significant difference at P<0.05 level.
Fig. 3 Effects of different FeNPs levels on plant height, main root length and dry matter accumulation in roots, stems and leaves of cottonNote:Different letters in the figure mean significant difference at P<0.05 level.
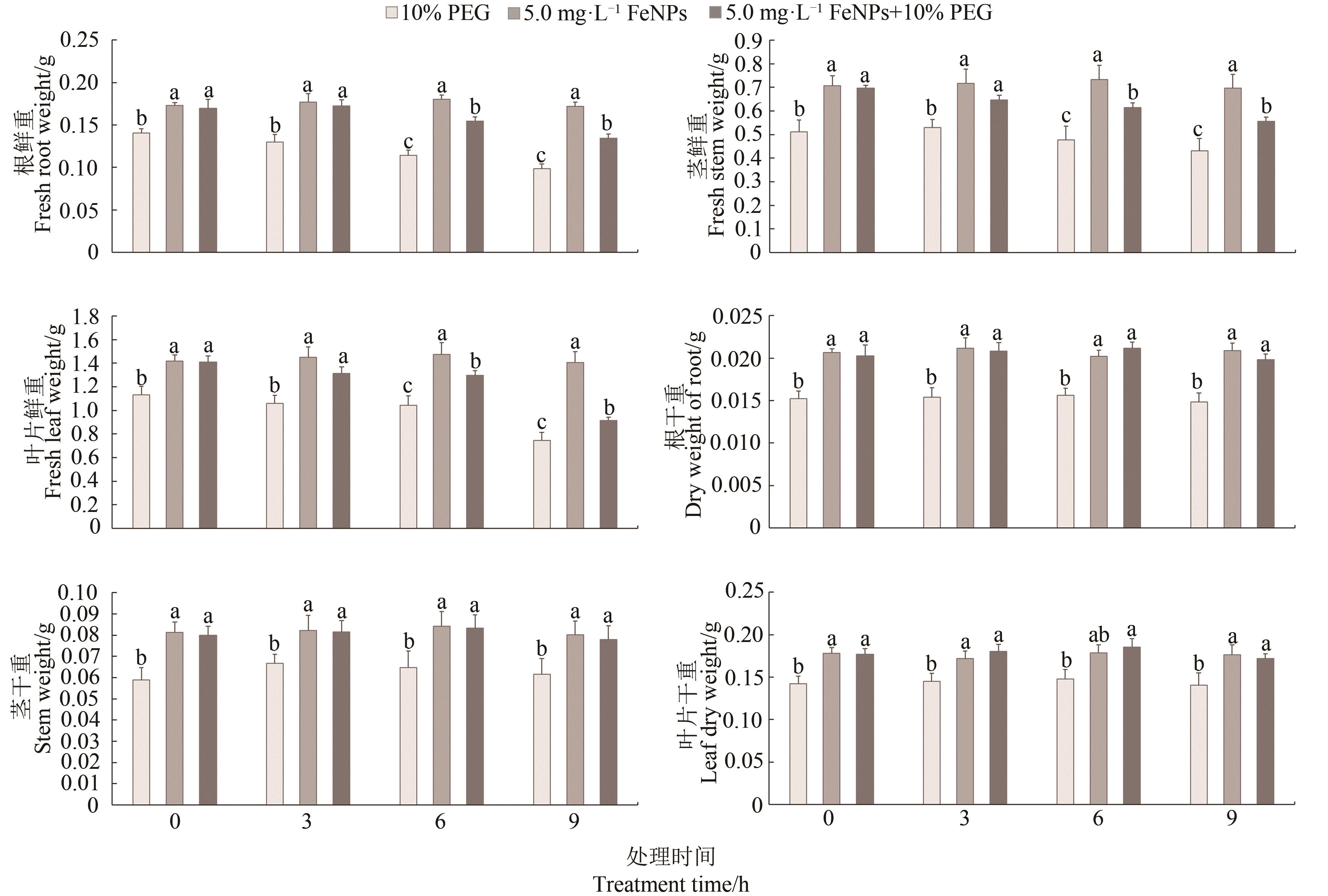
Fig. 4 Effects of the FeNPs on root, stem and leaf biomass of cotton under 10% PEG stress.Note:Different letters in the figure mean significant difference at P<0.05 level.
Fig. 6 Effects of FeNPs on antioxidant activity and MDA content in cotton leaves under 10% PEG stressNote:Different letters in the figure mean significant difference at P<0.05 level.
1 | JALALI M, GHANATI F, MODARRES-SANAVI A M, et al.. Physiological effects of repeated foliar application of magnetite nanoparticles on maize plants [J]. J. Agron. Crop Sci., 2017, 203(6): 593-602. |
2 | GATTULLO C E, YOURY P, ALLEGRETTA I, et al.. Iron mobilization and mineralogical alterations induced by iron-deficient cucumber plants (Cucumis sativus L.) in a calcareous soil [J]. Pedosphere, 2018, 28(1): 59-69. |
3 | MAZAHERI-TIRANI M, KASHANI A, KOOHI-DEHKORDI M. The role of iron nanoparticles on morpho-physiological traits and genes expression (IRT1 and CAT) in rue (Ruta graveolens) [J]. Plant Mol. Biol., 2022; 110(1-2): 147-160. |
4 | WANG Y, CHEN S, DENG C, et al.. Metabolomic analysis reveals dose-dependent alteration of maize (Zea mays L.) metabolites and mineral nutrient profiles upon exposure to zerovalent iron nanoparticles [J/OL]. NanoImpact, 2021, 23: 100336 [2023-08-18]. . |
5 | DOLA D B, MANNAN M A, SARKER U, et al.. Nano-iron oxide accelerates growth, yield, and quality of Glycine max seed in water deficits [J/OL]. Front. Plant Sci., 2022, 13: 992535 [2023-08-18]. . |
6 | FARAJOLLAHI Z, EISVAND H R, NAZARIAN-FIROUZABADI F, et al.. Nano-Fe nutrition improves soybean physiological characteristics, yield, root features and water productivity in different planting dates under drought stress conditions [J/OL]. Ind. Crop. Prod., 2023, 198: 116698 [2023-08-18]. . |
7 | 马扬旸,张辰弛,曹雪松,等.叶面喷施铁基纳米材料对大豆生长的影响及机制研究[J].农业资源与环境学报,2022,39(1):139-148. |
MA Y Y, ZHANG C C, CAO X S, et al.. Mechanistic study on the effect of foliar-applied, iron-based nanomaterials on the growth of soybean [J]. J. Agric. Resour. Econ., 2022, 39(1): 139-148. | |
8 | MAHMOUD A W M, AYAD A A, ABDEL-AZIZ H S M, et al.. Foliar application of different iron sources improves morpho-physiological traits and nutritional quality of broad bean grown in sandy soil [J/OL]. Plants, 2022, 11(19): 2599 [2023-08-18]. . |
9 | 徐江兵,王艳玲,罗小三,等.纳米Fe3O4对生菜生长及土壤细菌群落结构的影响[J].应用生态学报,2017,28(9):3003-3010. |
XU J B, WANG Y L, LUO X S, et al.. Influence of Fe3O4 nanoparticles on lettuce (Lactuca sativa L.) growth and soil bacterial community structure [J]. Chin. J. Appl. Ecol., 2017, 28(9): 3003-3010. | |
10 | ADREES M, KHAN Z S, ALI S, et al.. Simultaneous mitigation of cadmium and drought stress in wheat by soil application of iron nanoparticles [J/OL]. Chemosphere, 2020, 238: 124681 [2023-08-18]. . |
11 | WANG Y, HU J, DAI Z, et al.. In vitro assessment of physiological changes of watermelon (Citrullus lanatus) upon iron oxide nanoparticles exposure [J]. Plant Physiol. Biochem., 2016, 108: 353-360. |
12 | YOSEFI A, MOZAFARI A A, Javadi T. In vitro assessment of strawberry (Fragaria ananassa Duch.) plant responses to water shortage stress under nano-iron application [J]. In Vitro Cell Dev-pl., 2022, 58(4): 499-510. |
13 | 龙瑶,宋玉兰.中国棉花补贴政策历史演变与未来趋势[J].中国棉花,2023,50(7):1-7. |
LONG Y, SONG Y L. China’s cotton subsidy policy: historical evolution and future trend [J] China Cotton, 2023, 50 (7): 1-7. | |
14 | 韩春丽.新疆棉花长期连作土壤养分时空变化及可持续利用研究[D].石河子:石河子大学,2010. |
HAN C L. Temporal and spatial variation of soil nutrients of long-term monocultural cotton field and soil sustainable utilization in Xinjiang [D]. Shihezi: Shihezi University, 2010. | |
15 | 李合生.植物生理生化实验原理和技术.北京:高等教育出版社,2000:164-165. |
LI H S. Principles and Techniques of Plant Physiological and Biochemical Experiment [M]. Beijing: Higher Education Press, 2000: 164-165. | |
16 | 陈刚,李胜.植物生理学实验.北京:高等教育出版社,2016:59-69. |
CHEN G, LI S. Plant Physiology Experiment[M]. Beijing: Higher Education Press., 2016: 59-69. | |
17 | 张丽,古超峰,王锐.叶面补铁对贺兰山东麓酿酒葡萄生理调节及品质提升的影响[J].中国土壤与肥料, 2021, (6): 233-238. |
ZHANG L, GU C F, WANG R. Effects of foliar iron supplement on physiological regulation and quality improvement of wine grapes in eastern Helan Mountains [J]. Soil Fertil. Sci. China, 2021, (6): 233-238. | |
18 | 高洪波,陈贵林,章铁军,等.施铁对萝卜芽生长、产量及品质的影响[J].园艺学报,2006,33(5):1096-1098. |
GAO H B, CHEN G L, ZHANG T J, et al.. Effect of iron application on growth, yield and quality in radish sprouts [J]. Acta Hortic. Sin., 2006, 33(5): 1096-1098. | |
19 | 张迎芳,李欣苗,李艳,等.螯合铁肥对艾生长及产量品质的影响[J].中国野生植物资源,2022,41(10):7-13. |
ZHANG Y F, LI X M, LI Y, et al.. Effects of chelating iron fertilizer on growth, yield and quality of Artemisia argyi [J]. Chinese Wild Plant Resour., 2022, 41(10): 7-13. | |
20 | 胡华锋,介晓磊,郭孝,等.喷施硫酸亚铁对紫花苜蓿草产量、品质及矿质营养的影响[J].吉林农业大学学报,2009,31(3):291-296. |
HU H F, JIE X L, GUO X, et al.. Effect of leaf surface spraying ferrous sulphate on herbage yield quality and mineral nutrition of alfalfa [J]. J. Jilin Agric. Univ., 2009, 31(3): 291-296. | |
21 | 周春涛,张茹艳,石铭福,等.铁肥形态对马铃薯块茎内源激素、产量及品质的影响[J].西北农林科技大学学报(自然科学版),2022,50(4):42-49. |
ZHOU C T, ZHANG R Y, SHI M F, et al.. Effects of iron different forms of iron fertilizers on endogenous hormones, yield and quality of potato [J]. J. Northwest A&F Univ. (Nat. Sci. Ed.), 2022, 50(4): 42-49. | |
22 | 贾红霞,刘风珍,张秀荣,等.不同类型铁肥改善花生缺铁效果研究[J].花生学报,2021, 50(2):38-43+63. |
JIA H X, LIU F Z, ZHANG X R, et al.. Effect of different types of iron fertilizer on alleviating iron deficiency of peanut [J]. J. Peanut Sci., 2021, 50(2): 38-43+63. | |
23 | 刘蓉,叶宇萍,海丹,等. 锌、铁微肥对夏玉米产量和品质的影响[J].西北农业学报,2017, 26(11):1598-1605. |
LIU R, YE Y P, HAI D, et al.. Effects of zinc and iron micro-fertilizer on yield and quality of summer maize [J]. Acta Agric. Boreali-occidentalis Sin., 2017, 26(11): 1598-1605. | |
24 | 付力成,王人民,孟杰,等.叶面锌、铁配施对水稻产量、品质及锌铁分布的影响及其品种差异[J].中国农业科学,2010,43(24):5009-5018. |
FU L C, WANG R M, MENG J, et al.. Effect of foliar application of zinc and iron fertilizers on distribution of zinc and iron,quality and yield of rice grain [J]. Sci. Agric. Sin., 2010, 43(24): 5009-5018. | |
25 | 楚燕蒙,毛颖超,蔡剑,等.二氢卟吩铁对小麦渍水胁迫耐性的影响[J].中国农业科学,2023,56(10):1848-1858. |
CHU Y M, MAO Y C, CAI J, et al.. Effect of Phytochlorin Iron on Stress Tolerance to Waterlogging in Wheat [J]. Sci. Agric. Sin., 2023, 56 (10): 1848-1858. | |
26 | 张士荣,白灯莎·买买提艾力,冯固.新疆棉花幼叶黄化现象及其铁锌含量差异分析[J].植物营养与肥料学报,2007,(4):745-748. |
ZHANG S R, MAIMAITIELI B, FENG G. The phenomenon of chlorosis and analysis of difference in Fe and Zn content of cotton in Xinjiang [J]. Plant Nutr. Fert. Sci., 2007, (4): 745-748. | |
27 | KAH M, KOOKANA R S, GOGOS A, et al.. A critical evaluation of nanopesticides and nanofertilizers against their conventional analogues [J]. Nat. Nanotechnol., 2018, 13(8): 677-684. |
28 | ASKARY M, AMIRJANI M R, SABERI T. Comparison of the effects of nano-iron fertilizer with iron-chelate on growth parameters and some biochemical properties of Catharanthus roseus [J]. J. Plant Nutr., 2017, 40(7): 974-982. |
29 | GUHA T, GOPAL G, CHATTERJEE R, et al.. Differential growth and metabolic responses induced by nano-scale zero valent iron in germinating seeds and seedlings of Oryza sativa L. cv. Swarna [J/OL]. Ecotoxicol. Environ. Saf., 2020, 204: 111104 [2020-08-10]. . |
30 | 徐江兵,王艳玲,罗小三,等.纳米Fe3O4对生菜生长及土壤细菌群落结构的影响[J].应用生态学报,2017,28(9):3003-3010. |
XU J B, WANG Y L, LUO X S, et al.. Influence of Fe3O4 nanoparticles on lettuce (Lactuca sativa L.) growth and soil bacterial community structure [J]. Chin. J. Appl. Ecol., 2017, 28(9): 3003-3010. | |
31 | 孟令煜,杨涛,王引权,等.叶面喷施纳米铁对当归生理生化特性及药材产量、品质的影响[J].时珍国医国药,2022, 33(10):2497-2501. |
MENG L Y, YANG T, WANG Y Q, et al.. Effects of spraying nano iron on physiological and biochemical characteristics of Angelica sinensis and its yield and quality [J]. Lishizhen Medicine Materia Medica Res., 2022, 33(10): 2497-2501. | |
32 | 杨涛,赵疆,闫鹏勋,等.纳米铁和褪黑素对驯化栽培条件下甘肃贝母产量和品质的影响[J].中国实验方剂学杂志,2021,27(7):144-150. |
YANG T, ZHAO J, YAN P X, et al.. Effect of zero-valent iron nanoparticles and melatonin on yield and quality of fritillaria przewalskii in domesticated cultivation conditions [J]. Chin. J. Exp. Traditional Med. Formulae, 21, 27(7): 144-150. | |
33 | RUI M, MA C, HAO Y, et al.. Iron oxide nanoparticles as a potential iron fertilizer for peanut (Arachis hypogaea) [J/OL]. Front. Plant Sci., 2016, 7: 815 [2023-08-18]. . |
34 | NEMATI LAFMEJANI Z, JAFARI A A, MORADI P, et al.. Impact of foliar application of iron-chelate and iron nano particles on some morpho-physiological traits and rssential oil composition of peppermint (Mentha piperita L.) [J]. J. Essent. Oil Bear. Pl., 2018, 21(5): 1374-1384. |
[1] | Kerou SHI, Nan WANG, Yinyin LUAN, Yanqing LI, Zhen ZHANG, Yuanyuan YAO, Chao RAN, Qianwen DING, Yalin YANG, Zhigang ZHOU. Preparation and Characterization of Yeast Cobalt and Its Application in Fish Stress Resistance [J]. Journal of Agricultural Science and Technology, 2025, 27(9): 240-249. |
[2] | Hao JIA, Hongzhe WANG, Zhengwen SUN, Qishen GU, Dongmei ZHANG, Xingyi WANG, Yan ZHANG, Huaiyu LU, Zhiying MA, Xingfen WANG. Genome-wide Identification of VOZ Genes Family in Cotton and Study on Salt Tolerance Function of GhVOZ1 [J]. Journal of Agricultural Science and Technology, 2025, 27(9): 58-68. |
[3] | Wei HE, Wenjin LONG, Manhua HU. Exploring Pathways for Collaborative Development of Science and Technology Commissioners and Grassroots Agricultural Technology Extension Teams [J]. Journal of Agricultural Science and Technology, 2025, 27(8): 1-7. |
[4] | Guiyuan ZHAO, Yongqiang WANG, Jianguang LIU, Zhao GENG, Hanshuang ZHANG, Liqiang WU, Xingfen WANG, Guiyin ZHANG. Effect of Exogenous Gene Insertion Site on Bt Protein Content in Insect-resistant Cotton [J]. Journal of Agricultural Science and Technology, 2025, 27(7): 44-53. |
[5] | Yixin CHEN, Xiubo YANG, Shijun TIAN, Cong WANG, Zhiying BAI, Cundong LI, Ke ZHANG. Response of GhCOMT28 to Drought Stress in Gossypium hirsutum [J]. Journal of Agricultural Science and Technology, 2025, 27(4): 45-56. |
[6] | Zhiduo DONG, Qiuping FU, Jian HUANG, Tong QI, Yanbo FU, Kuerban Kaisaier. Analysis of Salt Tolerance Capacity of Xinjiang Cotton Guring Germination [J]. Journal of Agricultural Science and Technology, 2025, 27(4): 57-67. |
[7] | Zicheng PENG, Hongli DU, Ming WANG, Fenghua ZHANG, Haichang YANG. Research on AMF Regulation of Cotton Growth and Ion Balance Under Salt Alkali Stress [J]. Journal of Agricultural Science and Technology, 2025, 27(2): 33-41. |
[8] | Songjiang DUAN, Haoran HU, Chengjie ZHANG, Wei SUN, Yifan WU, Rensong GUO, Jusong ZHANG. Differences in Nitrogen Efficiency of Different Genotypes of Island Cotton and Their Effects on Photosynthetic Characteristics and Yield [J]. Journal of Agricultural Science and Technology, 2025, 27(1): 61-71. |
[9] | Huiting WENG, Haiyang LIU, Huiming GUO, Hongmei CHENG, Jun LI, Chao ZHANG, Xiaofeng SU. Preliminary Function Analysis of GhERF020 Gene in Response to Verticillium Wilt in Cotton [J]. Journal of Agricultural Science and Technology, 2024, 26(9): 112-121. |
[10] | Ziqin LI, Jiaqiang WANG, Zhen LI, Deqiu ZOU, Xiaogong ZHANG, Xiaoyu LUO, Weiyang LIU. Estimation of Chlorophyll Density of Cotton Leaves Based on Spectral Index [J]. Journal of Agricultural Science and Technology, 2024, 26(8): 103-111. |
[11] | Li MA, Tingting CAO, Youwei FAN, Zhiyu REN, Chun LIU, Suxia YUAN. Effects of Different Rooting Reagents on Rooting of Miniature Potted Rose Cuttings [J]. Journal of Agricultural Science and Technology, 2024, 26(7): 50-60. |
[12] | Yukun QIN, Junying CHEN, Lijuan ZHANG. Response of Dry Matter Accumulation Characteristics and Yield of Cotton in North Jiangxi Cotton Region to Nitrogen Reduction Measures [J]. Journal of Agricultural Science and Technology, 2024, 26(6): 191-199. |
[13] | Ling LIN, Yujie ZHU, Lei FENG, Guangmu TANG, Yunshu ZHANG, Wanli XU. Effects of Aged Cotton Straw Biochars on Soil Properties and Nitrogen Utilization of Wheat [J]. Journal of Agricultural Science and Technology, 2024, 26(5): 184-191. |
[14] | Jiangbo LI, Wenju GAO, Xiaodong YUN, Jieyin ZHAO, Shiwei GENG, Chunbin HAN, Quanjia CHEN, Qin CHEN. Effects of Different Water Stress Treatments on Core Germplasm Resources of Upland Cotton [J]. Journal of Agricultural Science and Technology, 2024, 26(3): 26-39. |
[15] | Lihua LI, Zhengwen SUN, Huifeng KE, Qishen GU, Liqiang WU, Yan ZHANG, Guiyin ZHANG, Xingfen WANG. Development and Effect Evaluation of KASP Markers for Fiber Strength in Gossypium hirsutum L. [J]. Journal of Agricultural Science and Technology, 2024, 26(2): 46-55. |
Viewed | ||||||
Full text |
|
|||||
Abstract |
|
|||||