Journal of Agricultural Science and Technology ›› 2025, Vol. 27 ›› Issue (2): 33-41.DOI: 10.13304/j.nykjdb.2023.0366
• BIOTECHNOLOGY & LIFE SCIENCE • Previous Articles Next Articles
Zicheng PENG(), Hongli DU, Ming WANG, Fenghua ZHANG, Haichang YANG(
)
Received:
2023-05-06
Accepted:
2023-11-25
Online:
2025-02-15
Published:
2025-02-14
Contact:
Haichang YANG
通讯作者:
杨海昌
作者简介:
彭梓程 E-mail:1175906388@qq.com;
基金资助:
CLC Number:
Zicheng PENG, Hongli DU, Ming WANG, Fenghua ZHANG, Haichang YANG. Research on AMF Regulation of Cotton Growth and Ion Balance Under Salt Alkali Stress[J]. Journal of Agricultural Science and Technology, 2025, 27(2): 33-41.
彭梓程, 杜洪力, 王铭, 张凤华, 杨海昌. 丛枝菌根真菌调控盐碱胁迫下棉花生长及离子平衡的研究[J]. 中国农业科技导报, 2025, 27(2): 33-41.
Add to citation manager EndNote|Ris|BibTeX
URL: https://nkdb.magtechjournal.com/EN/10.13304/j.nykjdb.2023.0366
Fig. 2 Infection of AMF on root under different treatmentsNote:Different lowercase letters of same index indicate significant differences between different treatments at Ρ<0.05 level.
处理 Treatment | 地下鲜重 Root fresh weight/g | 地上鲜重 Shoot weight/g | 根系干重 Root dry weight/g | 地上干重 Shoot dry weight/g | 根长 Root length/cm | 株高 Shoot height/cm | |
---|---|---|---|---|---|---|---|
-AMF | S0 | 3.25+0.02 βa | 7.80+0.06 βa | 0.83+0.03 βa | 3.19+0.05 βa | 24.07+0.06 βa | 22.59+0.08 βa |
S50 | 2.78+0.06 βb | 6.44+0.07 βb | 0.75+0.04 βb | 2.86+0.02 βb | 22.47+0.08 βb | 21.48+0.06 βb | |
S100 | 2.23+0.07 βc | 6.53+0.06 βbc | 0.63+0.04 βc | 2.62+0.02 βc | 20.11+0.05 βc | 19.66+0.05 βc | |
S150 | 2.31+0.06 βc | 6.34+0.11 βc | 0.55+0.04 βd | 2.56+0.10 βc | 20.05+0.06 βc | 19.17+0.05 βd | |
S200 | 2.03+0.08 βd | 5.44+0.04 βd | 0.53+0.03 βd | 2.47+0.06 βd | 19.21+0.04 βd | 18.62+0.04 βe | |
+AMF | S0 | 3.83+0.05 αa | 9.52+0.07 αa | 0.98+0.02 αa | 4.13+0.04 αa | 26.30+0.06 αa | 24.63+0.05 αa |
S50 | 3.22+0.03 αb | 8.67+0.04 αb | 0.92+0.02 αb | 3.76+0.05 αb | 24.34+0.05 αb | 23.27+0.11 αb | |
S100 | 2.90+0.04 αc | 8.68+0.04 αb | 0.84+0.04 αc | 3.54+0.04 αc | 23.23+0.06 αc | 23.40+0.05 αb | |
S150 | 2.75+0.04 αd | 8.23+0.05 αc | 0.77+0.03 αd | 3.46+0.04 αc | 22.22+0.09 αc | 22.30+0.09 αc | |
S200 | 2.62+0.03 αd | 7.46+0.06 αd | 0.75+0.08 αd | 3.16+0.06 αd | 22.31+0.13 αc | 21.59+0.13 αd |
Table 1 Cotton plant growth under different treatments
处理 Treatment | 地下鲜重 Root fresh weight/g | 地上鲜重 Shoot weight/g | 根系干重 Root dry weight/g | 地上干重 Shoot dry weight/g | 根长 Root length/cm | 株高 Shoot height/cm | |
---|---|---|---|---|---|---|---|
-AMF | S0 | 3.25+0.02 βa | 7.80+0.06 βa | 0.83+0.03 βa | 3.19+0.05 βa | 24.07+0.06 βa | 22.59+0.08 βa |
S50 | 2.78+0.06 βb | 6.44+0.07 βb | 0.75+0.04 βb | 2.86+0.02 βb | 22.47+0.08 βb | 21.48+0.06 βb | |
S100 | 2.23+0.07 βc | 6.53+0.06 βbc | 0.63+0.04 βc | 2.62+0.02 βc | 20.11+0.05 βc | 19.66+0.05 βc | |
S150 | 2.31+0.06 βc | 6.34+0.11 βc | 0.55+0.04 βd | 2.56+0.10 βc | 20.05+0.06 βc | 19.17+0.05 βd | |
S200 | 2.03+0.08 βd | 5.44+0.04 βd | 0.53+0.03 βd | 2.47+0.06 βd | 19.21+0.04 βd | 18.62+0.04 βe | |
+AMF | S0 | 3.83+0.05 αa | 9.52+0.07 αa | 0.98+0.02 αa | 4.13+0.04 αa | 26.30+0.06 αa | 24.63+0.05 αa |
S50 | 3.22+0.03 αb | 8.67+0.04 αb | 0.92+0.02 αb | 3.76+0.05 αb | 24.34+0.05 αb | 23.27+0.11 αb | |
S100 | 2.90+0.04 αc | 8.68+0.04 αb | 0.84+0.04 αc | 3.54+0.04 αc | 23.23+0.06 αc | 23.40+0.05 αb | |
S150 | 2.75+0.04 αd | 8.23+0.05 αc | 0.77+0.03 αd | 3.46+0.04 αc | 22.22+0.09 αc | 22.30+0.09 αc | |
S200 | 2.62+0.03 αd | 7.46+0.06 αd | 0.75+0.08 αd | 3.16+0.06 αd | 22.31+0.13 αc | 21.59+0.13 αd |
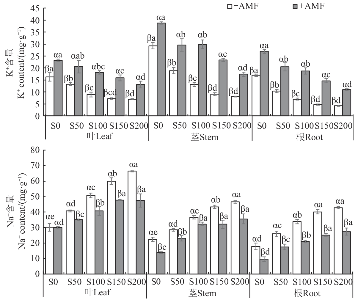
Fig. 3 K+and Na+contents of cotton plants under different treatmentsNote:Different English letters indicate significant differences between different saline-alkali treatments of same inoculation condition at Ρ<0.05 level; different Greece letters indicate significant differences between different inoculation conditions of same saline-alkali treatment at Ρ<0.05 level.
Fig. 4 Ca2+and Mg2+contents in cotton plants under different treatmentsNote:Different English letters indicate significantW differences between different saline-alkali treatments of same inoculation condition at Ρ<0.05 level; different Greece letters indicate significant differences between different inoculation conditions of same saline-alkali treatment at Ρ<0.05 level.
器官 Organ | 处理 Treatment | Na+/K+ | Na+/Ca2+ | Na+/Mg2+ | |||
---|---|---|---|---|---|---|---|
-AMF | +AMF | -AMF | +AMF | -AMF | +AMF | ||
叶 Leaf | S0 | 1.87±0.28 αe | 1.29±0.05 βd | 0.72±0.05 αe | 0.59±0.03 βd | 1.31±0.13 αe | 1.25±0.04 αe |
S50 | 3.09±0.15 αd | 1.72±0.21 βd | 1.26±0.11 αd | 0.79±0.05 βc | 2.04±0.13 αd | 1.83±0.14 αd | |
S100 | 5.74±0.58 αc | 2.24±0.07 βc | 1.92±0.03 αc | 1.05±0.10 βb | 3.76±0.34 αc | 2.16±0.12 βc | |
S150 | 8.31±0.53 αb | 3.02±0.25 βb | 2.37±0.11 αb | 1.43±0.07 βa | 5.13±0.40 αb | 2.71±0.14 βb | |
S200 | 9.63±0.30 αa | 3.65±0.47 βa | 3.11±0.06 αa | 1.58±0.17 βa | 5.97±0.14 αa | 3.06±0.17 βa | |
茎 Stem | S0 | 0.77±0.08 αe | 0.36±0.03 βe | 0.88±0.07 αe | 0.46±0.03 βc | 1.13±0.04 αd | 0.72±0.08 βd |
S50 | 1.52±0.10 αd | 0.78±0.02 βd | 1.53±0.18 αd | 0.87±0.05 βb | 1.55±0.12 αd | 1.45±0.19 αc | |
S100 | 2.81±0.27 αc | 1.08±0.08 βc | 2.17±0.24 αc | 1.28±0.10 βa | 2.66±0.15 αc | 2.15±0.13 βb | |
S150 | 4.83±0.48 αb | 1.38±0.07 βb | 2.51±0.17 αb | 1.30±0.04 βa | 3.89±0.45 αb | 2.18±0.22 βb | |
S200 | 5.77±0.13 αa | 2.04±0.08 βa | 2.91±0.21 αa | 1.42±0.12 βa | 5.02±0.40 αa | 2.89±0.32 βa | |
根 Root | S0 | 1.05±0.13 αe | 0.35±0.07 βd | 0.84±0.12 αe | 0.33±0.05 βe | 1.40±0.19 αe | 0.68±0.14 βe |
S50 | 2.51±0.06 αd | 0.85±0.06 βc | 1.74±0.24 αd | 0.73±0.06 βd | 2.37±0.19 αd | 1.57±0.12 βd | |
S100 | 4.85±0.40 αc | 1.13±0.04 βc | 2.82±0.13 αc | 1.02±0.04 βc | 4.53±0.37 αc | 2.17±0.10 βc | |
S150 | 8.59±0.74 αb | 1.72±0.13 βb | 3.54±0.12 αb | 1.51±0.12 βb | 7.51±0.72 αb | 2.70±0.17 βb | |
S200 | 10.09±0.67 αa | 2.52±0.31 βa | 4.43±0.30 αa | 1.83±0.22 βa | 10.32±0.44 αa | 3.65±0.25 βa |
Table 2 Ion content ratio of cotton roots, stems and leaves under different treatments
器官 Organ | 处理 Treatment | Na+/K+ | Na+/Ca2+ | Na+/Mg2+ | |||
---|---|---|---|---|---|---|---|
-AMF | +AMF | -AMF | +AMF | -AMF | +AMF | ||
叶 Leaf | S0 | 1.87±0.28 αe | 1.29±0.05 βd | 0.72±0.05 αe | 0.59±0.03 βd | 1.31±0.13 αe | 1.25±0.04 αe |
S50 | 3.09±0.15 αd | 1.72±0.21 βd | 1.26±0.11 αd | 0.79±0.05 βc | 2.04±0.13 αd | 1.83±0.14 αd | |
S100 | 5.74±0.58 αc | 2.24±0.07 βc | 1.92±0.03 αc | 1.05±0.10 βb | 3.76±0.34 αc | 2.16±0.12 βc | |
S150 | 8.31±0.53 αb | 3.02±0.25 βb | 2.37±0.11 αb | 1.43±0.07 βa | 5.13±0.40 αb | 2.71±0.14 βb | |
S200 | 9.63±0.30 αa | 3.65±0.47 βa | 3.11±0.06 αa | 1.58±0.17 βa | 5.97±0.14 αa | 3.06±0.17 βa | |
茎 Stem | S0 | 0.77±0.08 αe | 0.36±0.03 βe | 0.88±0.07 αe | 0.46±0.03 βc | 1.13±0.04 αd | 0.72±0.08 βd |
S50 | 1.52±0.10 αd | 0.78±0.02 βd | 1.53±0.18 αd | 0.87±0.05 βb | 1.55±0.12 αd | 1.45±0.19 αc | |
S100 | 2.81±0.27 αc | 1.08±0.08 βc | 2.17±0.24 αc | 1.28±0.10 βa | 2.66±0.15 αc | 2.15±0.13 βb | |
S150 | 4.83±0.48 αb | 1.38±0.07 βb | 2.51±0.17 αb | 1.30±0.04 βa | 3.89±0.45 αb | 2.18±0.22 βb | |
S200 | 5.77±0.13 αa | 2.04±0.08 βa | 2.91±0.21 αa | 1.42±0.12 βa | 5.02±0.40 αa | 2.89±0.32 βa | |
根 Root | S0 | 1.05±0.13 αe | 0.35±0.07 βd | 0.84±0.12 αe | 0.33±0.05 βe | 1.40±0.19 αe | 0.68±0.14 βe |
S50 | 2.51±0.06 αd | 0.85±0.06 βc | 1.74±0.24 αd | 0.73±0.06 βd | 2.37±0.19 αd | 1.57±0.12 βd | |
S100 | 4.85±0.40 αc | 1.13±0.04 βc | 2.82±0.13 αc | 1.02±0.04 βc | 4.53±0.37 αc | 2.17±0.10 βc | |
S150 | 8.59±0.74 αb | 1.72±0.13 βb | 3.54±0.12 αb | 1.51±0.12 βb | 7.51±0.72 αb | 2.70±0.17 βb | |
S200 | 10.09±0.67 αa | 2.52±0.31 βa | 4.43±0.30 αa | 1.83±0.22 βa | 10.32±0.44 αa | 3.65±0.25 βa |
器官 Organ | 处理 Treatment | Na+ | K+ | Ca2+ | Mg2+ | ||||
---|---|---|---|---|---|---|---|---|---|
-AMF | +AMF | -AMF | +AMF | -AMF | +AMF | -AMF | +AMF | ||
根-茎 Root-stem | S0 | 0.80±0.05 αb | 0.68±0.07 βb | 0.58±0.03 βa | 0.69±0.02 αa | 0.84±0.00 βa | 0.95±0.08 αa | 0.64±0.04 βa | 0.73±0.02 αa |
S50 | 0.91±0.04 αa | 0.76±0.07 βab | 0.55±0.02 βab | 0.69±0.01 αab | 0.80±0.04 βa | 0.91±0.02 αa | 0.59±0.02 βa | 0.70±0.02 αab | |
S100 | 0.92±0.05 αa | 0.65±0.05 βab | 0.54±0.01 βb | 0.63±0.01 Αb | 0.71±0.02 βb | 0.82±0.03 αb | 0.54±0.02 βab | 0.65±0.03 αbc | |
S150 | 0.93±0.02 αa | 0.78±0.05 βa | 0.52±0.01 βb | 0.63±0.06 αb | 0.66±0.03 αc | 0.68±0.03 αc | 0.49±0.10 βb | 0.63±0.01 αc | |
S200 | 0.92±0.00 αa | 0.77±0.08 βab | 0.53±0.02 βb | 0.63±0.05 αb | 0.60±0.02 αd | 0.60±0.06 αc | 0.45±0.06 βb | 0.61±0.05 αc | |
茎-叶 Stem-leaf | S0 | 0.74±0.02 αa | 0.46±0.02 βc | 1.81±0.17 αa | 1.67±0.01 αa | 0.60±0.02 αa | 0.59±0.06 αa | 0.86±0.05 αb | 0.80±0.03 αa |
S50 | 0.70±0.02 αa | 0.66±0.04 βb | 1.43±0.09 αb | 1.45±0.18 αab | 0.58±0.04 αab | 0.60±0.04 αb | 0.92±0.02 αab | 0.83±0.02 βa | |
S100 | 0.72±0.04 αa | 0.80±0.08 αab | 1.48±0.15 αb | 1.65±0.15 αabc | 0.65±0.09 αb | 0.66±0.06 αbc | 1.02±0.11 αa | 0.80±0.01 βa | |
S150 | 0.72±0.03 αa | 0.67±0.06 αab | 1.25±0.13 βbc | 1.47±0.08 αbc | 0.68±0.05 αb | 0.74±0.03 αc | 0.96±0.06 αab | 0.84±0.03 βa | |
S200 | 0.70±0.01 βa | 0.75±0.10 αa | 1.17±0.04 βc | 1.34±0.09 αc | 0.75±0.05 αb | 0.83±0.03 αc | 0.84±0.06 αb | 0.79±0.04 αa | |
根-叶 Root-leaf | S0 | 0.59±0.02 αb | 0.32±0.05 βc | 1.05±0.09 αa | 1.16±0.02 αa | 0.51±0.02 βa | 0.56±0.03 αa | 0.55±0.01 αa | 0.58±0.02 αa |
S50 | 0.64±0.04 αab | 0.50±0.05 βb | 0.78±0.02 βb | 1.00±0.12 αab | 0.46±0.01 βab | 0.54±0.03 αab | 0.55±0.02 βa | 0.58±0.01 αa | |
S100 | 0.67±0.04 αab | 0.52±0.04 βab | 0.79±0.08 βb | 1.03±0.09 αab | 0.46±0.05 βb | 0.54±0.03 αab | 0.55±0.04 αa | 0.52±0.02 αb | |
S150 | 0.67±0.02 αa | 0.53±0.02 βab | 0.65±0.06 βc | 0.93±0.12 αb | 0.45±0.01 βb | 0.50±0.03 αb | 0.46±0.06 αb | 0.53±0.01 αb | |
S200 | 0.64±0.01 αa | 0.58±0.03 βa | 0.62±0.05 βc | 0.84±0.12 αb | 0.45±0.02 αb | 0.50±0.03 αb | 0.37±0.02 βc | 0.48±0.02 αc |
Table 3 Ion transport ratio of cotton roots, stems and leaves under different treatments
器官 Organ | 处理 Treatment | Na+ | K+ | Ca2+ | Mg2+ | ||||
---|---|---|---|---|---|---|---|---|---|
-AMF | +AMF | -AMF | +AMF | -AMF | +AMF | -AMF | +AMF | ||
根-茎 Root-stem | S0 | 0.80±0.05 αb | 0.68±0.07 βb | 0.58±0.03 βa | 0.69±0.02 αa | 0.84±0.00 βa | 0.95±0.08 αa | 0.64±0.04 βa | 0.73±0.02 αa |
S50 | 0.91±0.04 αa | 0.76±0.07 βab | 0.55±0.02 βab | 0.69±0.01 αab | 0.80±0.04 βa | 0.91±0.02 αa | 0.59±0.02 βa | 0.70±0.02 αab | |
S100 | 0.92±0.05 αa | 0.65±0.05 βab | 0.54±0.01 βb | 0.63±0.01 Αb | 0.71±0.02 βb | 0.82±0.03 αb | 0.54±0.02 βab | 0.65±0.03 αbc | |
S150 | 0.93±0.02 αa | 0.78±0.05 βa | 0.52±0.01 βb | 0.63±0.06 αb | 0.66±0.03 αc | 0.68±0.03 αc | 0.49±0.10 βb | 0.63±0.01 αc | |
S200 | 0.92±0.00 αa | 0.77±0.08 βab | 0.53±0.02 βb | 0.63±0.05 αb | 0.60±0.02 αd | 0.60±0.06 αc | 0.45±0.06 βb | 0.61±0.05 αc | |
茎-叶 Stem-leaf | S0 | 0.74±0.02 αa | 0.46±0.02 βc | 1.81±0.17 αa | 1.67±0.01 αa | 0.60±0.02 αa | 0.59±0.06 αa | 0.86±0.05 αb | 0.80±0.03 αa |
S50 | 0.70±0.02 αa | 0.66±0.04 βb | 1.43±0.09 αb | 1.45±0.18 αab | 0.58±0.04 αab | 0.60±0.04 αb | 0.92±0.02 αab | 0.83±0.02 βa | |
S100 | 0.72±0.04 αa | 0.80±0.08 αab | 1.48±0.15 αb | 1.65±0.15 αabc | 0.65±0.09 αb | 0.66±0.06 αbc | 1.02±0.11 αa | 0.80±0.01 βa | |
S150 | 0.72±0.03 αa | 0.67±0.06 αab | 1.25±0.13 βbc | 1.47±0.08 αbc | 0.68±0.05 αb | 0.74±0.03 αc | 0.96±0.06 αab | 0.84±0.03 βa | |
S200 | 0.70±0.01 βa | 0.75±0.10 αa | 1.17±0.04 βc | 1.34±0.09 αc | 0.75±0.05 αb | 0.83±0.03 αc | 0.84±0.06 αb | 0.79±0.04 αa | |
根-叶 Root-leaf | S0 | 0.59±0.02 αb | 0.32±0.05 βc | 1.05±0.09 αa | 1.16±0.02 αa | 0.51±0.02 βa | 0.56±0.03 αa | 0.55±0.01 αa | 0.58±0.02 αa |
S50 | 0.64±0.04 αab | 0.50±0.05 βb | 0.78±0.02 βb | 1.00±0.12 αab | 0.46±0.01 βab | 0.54±0.03 αab | 0.55±0.02 βa | 0.58±0.01 αa | |
S100 | 0.67±0.04 αab | 0.52±0.04 βab | 0.79±0.08 βb | 1.03±0.09 αab | 0.46±0.05 βb | 0.54±0.03 αab | 0.55±0.04 αa | 0.52±0.02 αb | |
S150 | 0.67±0.02 αa | 0.53±0.02 βab | 0.65±0.06 βc | 0.93±0.12 αb | 0.45±0.01 βb | 0.50±0.03 αb | 0.46±0.06 αb | 0.53±0.01 αb | |
S200 | 0.64±0.01 αa | 0.58±0.03 βa | 0.62±0.05 βc | 0.84±0.12 αb | 0.45±0.02 αb | 0.50±0.03 αb | 0.37±0.02 βc | 0.48±0.02 αc |
1 | 杨劲松,姚荣江,王相平,等.中国盐渍土研究:历程、现状与展望[J].土壤学报,2022,59(1):10-27. |
YANG J S, YAO R J, WANG X P, et al.. Research on salt-affected soils in China: history, status quo and prospect [J]. Acta Pedol. Sin., 2022, 59(1):10-27. | |
2 | 杨小虎,罗艳琴,杨海昌,等.玛纳斯河流域绿洲农田土壤盐分反演及空间分布特征[J].干旱区资源与环境,2021,35(2):156-161. |
YANG X H, LUO Y Q, YANG H C, et al.. Soil salinity retrieval and spatial distribution of oasis farmland in Manasi River basin [J]. J. Arid Land Res. Environ., 2021, 35(2):156-161. | |
3 | 石婧,刘东洋,张凤华.不同品种(品系)棉花对盐胁迫的生理响应及耐盐性评价[J].江苏农业学报,2020,36(4):828-835. |
SHI J, LIU D Y, ZHANG F H. Physiological responses of different cotton cultivars (strains) to salt stress and salt tolerance evaluation [J]. Jiangsu J. Agric. Sci., 2020, 36(4):828-835. | |
4 | 孙鲁鹏,杨洋,王卫超,等.油菜苗期对盐碱胁迫的离子响应机制[J].中国农业科技导报,2023,25(5):46-54. |
SUN L P, YANG Y, WANG W C, et al.. Ion response mechanism of canola seedlings to saline-alkali stress [J]. J. Agric. Sci. Technol., 2023, 25(5):46-54. | |
5 | 韩志平,郭世荣,郑瑞娜,等.盐胁迫对小型西瓜幼苗体内离子分布的影响[J].植物营养与肥料学报,2013,19(4):908-917. |
HAN Z P, GUO S R, ZHENG R N, et al.. Effect of salinity on distribution of ions in mini-watermelon seedlings [J]. J. Plant Nutr. Fert., 2013, 19(4):908-917. | |
6 | PENG Z, ZULFIQAR T, YANG H, et al. Effect of arbuscular mycorrhizal fungi (AMF) on photosynthetic characteristics of cotton seedlings under saline-alkali stress [J]. Sci. Rep., 2024, 14(1): 8633-8642. |
7 | 邓增卓玛, 马文明, 周青平, 等.基于文献计量分析的国内外根际土壤微生物研究进展[J]. 中国土壤与肥料,2022(6): 236-246. |
DENG Z Z M, MA W M, ZHOU Q P, et al.. Research progress of rhizosphere soil microorganism at home and abroad based on bibliometric analysis [J]. Soil Fert. Sci. China, 2022(6): 236-246. | |
8 | 姜磊, 李焕勇, 张芹, 等. AM真菌对盐碱胁迫下杜梨幼苗生长与生理代谢的影响[J]. 南京林业大学学报(自然科学版), 2020, 44(6): 152-160. |
JIANG L, LI H Y, ZHANG Q, et al.. Effects of arbuscular mycorrhiza fungi on the growth and physiological metabolism of Pyrus betulaefolia Bunge seedlings under saline-alkaline stress [J]. J. Nanjing For. Univ. (Nat. Sci.), 2020, 44(6):152-160. | |
9 | 刘宇乐, 姜宛彤, 苏文欣, 等. 丛枝菌根真菌调控植物耐盐碱机制研究进展[J]. 江苏农业科学, 2022, 50(19): 9-17. |
10 | 张梦婕,吴湘琳,魏亚媛,等.混合盐碱对棉花幼苗渗透调节物质的影响[J].新疆农业科学,2021,58(11):2011-2023. |
ZHANG M J, WU X L, WEI Y Y, et al.. Effects of mixed salt and alkali on osmoregulation of cotton seedlings [J]. J. Xinjiang Agric. Sci., 2021, 58(11):2011-2023. | |
11 | 侯赛赛,蒲子天,张弛,等.丛枝菌根真菌缓解土壤过量微量元素和重金属对植物毒害的研究进展[J].土壤通报,2023,54(3):739-749. |
HOU S S, PU Z T, ZHANG C, et al.. Research progress in arbuscular mycorrhizal fungi alleviating the toxicity of soil excessive trace elements and heavy metals to plants [J]. Chin. J. Soil Sci., 2023, 54(3):739-749 | |
12 | MUTHUKUMAR T, UDAIYAN K. Arbuscular mycorrhizas of plants growing in the Western Ghats region, Southern India [J]. Mycorrhiza, 2000, 9(6):297-313. |
13 | 鲍士旦.土壤农化分析[M].北京:中国农业出版社,2000:1-495. |
14 | 龚远博,胡吉怀,胡丁猛,等.丛枝菌根真菌对盐碱胁迫下杜梨幼苗生长和生理特性的影响[J].西北植物学报,2022,42(8):1320-1329. |
GONG Y B, HU J H, HU D M, et al.. Effects of arbuscular mycorrhizal fungion the growth and physiological traits of pyrus betulifolia under salt-alkali stress [J]. Acta Bot. Bor-Occid. Sin., 2022, 42(8):1320-1329. | |
15 | 陈昆,王红军,周银芝.碱蓬内生菌对西瓜幼苗盐胁迫的缓解效应[J].江苏农业科学,2022,50(19):135-142. |
CHEN K, WANG H J, ZHOU Y Z. Alleviative effect of endophytic bacteria from Suaeda salsa on salt stress in watermelon seedlings [J]. Jiangsu Agric. Sci., 2022, 50(19):135-142. | |
16 | 王英逵,杨玉荣,王德利.盐碱胁迫下AMF对羊草的离子吸收和分配作用[J].草业学报,2020,29(12):95-104. |
WANG Y K, YANG Y R, WANG D L. Effects of arbuscular mycorrhizal fungi on ion absorption and distribution in Leymus chinensis under saline-alkaline stress [J]. Acta Pratac. Sin., 2020, 29(12):95-104. | |
17 | 郭家鑫,鲁晓宇,陶一凡,等.盐碱胁迫对棉花生长和养分吸收的影响[J].干旱地区农业研究,2022,40(4):23-32, 59. |
GUO J X, LU X Y, TAO Y F, et al.. Effects of saline and alkaline stresses on growth and nutrient uptake of cotton [J]. Agric. Res. Arid Areas, 2022, 40(4):23-32, 59. | |
18 | 王小山,朱平华,鲍国成,等.盐碱胁迫对紫花苜蓿根、茎和叶重要养分离子平衡的影响[J].江苏农业科学,2013,41(7):190-195. |
WANG X S, ZHU P H, BAO G C, et al.. Effects of saline alkali stress on the balance of important nutrient ions in the roots, stems, and leaves of alfalfa [J]. Jiangsu Agric. Sci., 2013, 41(7):190-195. | |
19 | 李俊伟,刘景辉,王俊英,等.盐与碱胁迫对燕麦离子平衡和有机酸含量的影响[J].西北植物学报,2022,42(10):1700-1710. |
LI J W, LIU J H, WANG J Y, et al.. Effect of salt and alkali stress on oat ion balance and organic acid content [J]. Acta Bot. Bor-Occid. Sin., 2022, 42(10):1700-1710. | |
20 | 刘福,尉敬涛,王宇宏,等.丛枝菌根真菌(AMF)对棉花抗病防御酶系活性影响的研究[J].山西科技,2018,33(1):29-33. |
LIU F, YU J T, WANG Y H, et al.. Study on the effect of arbuscular mycorrhizal fungi (AMF) on the activity of resistance to disease defense enzymes of cotton [J]. Shanxi Technol., 2018, 33(1):29-33. | |
21 | 陈凯丽,田秋恒,刘志洋,等.新疆石河子及周边地区棉花根际土壤丛枝菌根真菌多样性[J].棉花学报,2022,34(1):69-78. |
CHEN K L, TIAN Q H, LIU Z Y, et al.. Diversity of arbuscular mycorrhizal fungi in cotton rhizosphere soil in Shihezi and surrounding areas, Xinjiang [J]. Cott. Sci., 2022, 34(1):69-78. | |
22 | 李少朋,陈昢圳,刘惠芬,等.丛枝菌根提高滨海盐碱地植物耐盐性的作用机制及其生态效应[J].生态环境学报,2019,28(2):411-418. |
LI S P, CHEN P Z, LIU H F, et al.. Mechanism and ecological effects of arbuscular mycorrhizal fungi on improving salt tolerance of plants in coastal saline-alkaline land [J]. Ecol. Environ. Sci., 2019, 28(2):411-418. | |
23 | 郑青松,王仁雷,刘友良.钙对盐胁迫下棉苗离子吸收分配的影响[J].植物生理学报,2001, 27(4):325-330. |
ZHENG Q S, WANG R L, LIU Y L. Effects of Ca2+ on absorption and distribution of ions in salt-treated cotton seedlings [J]. Acta Photophysiol. Sin., 2001, 27(4):325-330. | |
24 | 韩冰,贺超兴,郭世荣,等.丛枝菌根真菌对盐胁迫下黄瓜幼苗渗透调节物质含量和抗氧化酶活性的影响[J].西北植物学报,2011,31(12):2492-2497. |
HAN B, HE C X, GUO S R, et al.. Effects of arbuscular mycorrhizal fungi on osmoregulation substance contents and antioxidant enzyme activities of cucumber seedlings under salt stress [J]. Acta Bot. Bor-Occid. Sin., 2011, 31(12):2492-2497. | |
25 | HASHEM A, ALQARAWI A A, RADHAKRISHNAN R, et al.. Arbuscular mycorrhizal fungi regulate the oxidative system, hormones and ionic equilibrium to trigger salt stress tolerance in Cucumis sativus L. [J]. Saudi J. Biol. Sci., 2018, 25(6):1102-1114. |
[1] | Hao JIA, Hongzhe WANG, Zhengwen SUN, Qishen GU, Dongmei ZHANG, Xingyi WANG, Yan ZHANG, Huaiyu LU, Zhiying MA, Xingfen WANG. Genome-wide Identification of VOZ Genes Family in Cotton and Study on Salt Tolerance Function of GhVOZ1 [J]. Journal of Agricultural Science and Technology, 2025, 27(9): 58-68. |
[2] | Guiyuan ZHAO, Yongqiang WANG, Jianguang LIU, Zhao GENG, Hanshuang ZHANG, Liqiang WU, Xingfen WANG, Guiyin ZHANG. Effect of Exogenous Gene Insertion Site on Bt Protein Content in Insect-resistant Cotton [J]. Journal of Agricultural Science and Technology, 2025, 27(7): 44-53. |
[3] | Yixin CHEN, Xiubo YANG, Shijun TIAN, Cong WANG, Zhiying BAI, Cundong LI, Ke ZHANG. Response of GhCOMT28 to Drought Stress in Gossypium hirsutum [J]. Journal of Agricultural Science and Technology, 2025, 27(4): 45-56. |
[4] | Zhiduo DONG, Qiuping FU, Jian HUANG, Tong QI, Yanbo FU, Kuerban Kaisaier. Analysis of Salt Tolerance Capacity of Xinjiang Cotton Guring Germination [J]. Journal of Agricultural Science and Technology, 2025, 27(4): 57-67. |
[5] | Songjiang DUAN, Haoran HU, Chengjie ZHANG, Wei SUN, Yifan WU, Rensong GUO, Jusong ZHANG. Differences in Nitrogen Efficiency of Different Genotypes of Island Cotton and Their Effects on Photosynthetic Characteristics and Yield [J]. Journal of Agricultural Science and Technology, 2025, 27(1): 61-71. |
[6] | Huiting WENG, Haiyang LIU, Huiming GUO, Hongmei CHENG, Jun LI, Chao ZHANG, Xiaofeng SU. Preliminary Function Analysis of GhERF020 Gene in Response to Verticillium Wilt in Cotton [J]. Journal of Agricultural Science and Technology, 2024, 26(9): 112-121. |
[7] | Ziqin LI, Jiaqiang WANG, Zhen LI, Deqiu ZOU, Xiaogong ZHANG, Xiaoyu LUO, Weiyang LIU. Estimation of Chlorophyll Density of Cotton Leaves Based on Spectral Index [J]. Journal of Agricultural Science and Technology, 2024, 26(8): 103-111. |
[8] | Yukun QIN, Junying CHEN, Lijuan ZHANG. Response of Dry Matter Accumulation Characteristics and Yield of Cotton in North Jiangxi Cotton Region to Nitrogen Reduction Measures [J]. Journal of Agricultural Science and Technology, 2024, 26(6): 191-199. |
[9] | Ling LIN, Yujie ZHU, Lei FENG, Guangmu TANG, Yunshu ZHANG, Wanli XU. Effects of Aged Cotton Straw Biochars on Soil Properties and Nitrogen Utilization of Wheat [J]. Journal of Agricultural Science and Technology, 2024, 26(5): 184-191. |
[10] | Jiangbo LI, Wenju GAO, Xiaodong YUN, Jieyin ZHAO, Shiwei GENG, Chunbin HAN, Quanjia CHEN, Qin CHEN. Effects of Different Water Stress Treatments on Core Germplasm Resources of Upland Cotton [J]. Journal of Agricultural Science and Technology, 2024, 26(3): 26-39. |
[11] | Lihua LI, Zhengwen SUN, Huifeng KE, Qishen GU, Liqiang WU, Yan ZHANG, Guiyin ZHANG, Xingfen WANG. Development and Effect Evaluation of KASP Markers for Fiber Strength in Gossypium hirsutum L. [J]. Journal of Agricultural Science and Technology, 2024, 26(2): 46-55. |
[12] | Menghua ZHAI, Minghui SUN, Xuerui LI, Xinlong XU, Haizhou GAO, Jusong ZHANG. Effects of DPC on Plant Type Shaping of Cotton Under Different Plant Spacing Configurations [J]. Journal of Agricultural Science and Technology, 2024, 26(12): 145-156. |
[13] | Zhen CHENG, Jianlong NIU, Yuting MA, weiyang LIU, Xuewei JIANG, Xueqi LIANG, Hongqiang DONG. Dynamic Changes of Cotton Phenological Stages in Alar Reclamation Area of Southern Xinjiang from 1990 to 2020 [J]. Journal of Agricultural Science and Technology, 2024, 26(10): 206-214. |
[14] | Deyou ZHENG, Dongyun ZUO, Qiaolian WANG, Limin LYU, Hailiang CHENG, Aixing GU, Guoli SONG. Screening of Combination of Flumetralin and Fungicide to Control Cotton Fusarium wilt [J]. Journal of Agricultural Science and Technology, 2024, 26(1): 119-124. |
[15] | Shengmei LI, Bo PANG, Shiwei GENG, Wu SONG, Hongmei LI, Maosen MA, Ru ZHANG, Xinyan WANG, Wenwei GAO. Photosynthetic and Physiological Characteristics of Gossypium hirsutum L. × Gossypium barbadense L. Backross Populations in Full Boll Stage [J]. Journal of Agricultural Science and Technology, 2024, 26(1): 40-51. |
Viewed | ||||||
Full text |
|
|||||
Abstract |
|
|||||