Journal of Agricultural Science and Technology ›› 2024, Vol. 26 ›› Issue (5): 184-191.DOI: 10.13304/j.nykjdb.2022.0803
• BIO-MANUFACTURING & RESOURCE AND ECOLOGY • Previous Articles Next Articles
Ling LIN1,2(), Yujie ZHU1, Lei FENG3, Guangmu TANG1, Yunshu ZHANG1, Wanli XU1
Received:
2022-09-20
Accepted:
2023-12-22
Online:
2024-05-15
Published:
2024-05-14
Contact:
Wanli XU
林玲1,2(), 朱玉洁1, 冯雷3, 唐光木1, 张云舒1, 徐万里1
通讯作者:
徐万里
作者简介:
林玲E-mail:1041782931@qq.com;
基金资助:
CLC Number:
Ling LIN, Yujie ZHU, Lei FENG, Guangmu TANG, Yunshu ZHANG, Wanli XU. Effects of Aged Cotton Straw Biochars on Soil Properties and Nitrogen Utilization of Wheat[J]. Journal of Agricultural Science and Technology, 2024, 26(5): 184-191.
林玲, 朱玉洁, 冯雷, 唐光木, 张云舒, 徐万里. 老化棉秆炭对土壤性质和小麦氮肥利用的影响[J]. 中国农业科技导报, 2024, 26(5): 184-191.
Add to citation manager EndNote|Ris|BibTeX
URL: https://nkdb.magtechjournal.com/EN/10.13304/j.nykjdb.2022.0803
项目 Item | pH | 电导率 Electrical conductivity/ (mS·cm-1) | 全氮 Total nitrogen/(g·kg-1) | 有机质 Organic matter/ (g·kg-1) | 比表面积 Specific surface area/(m2·g-1) | 总孔体积 Total pore volume/(cm3·g-1) | 平均孔径 Average pore diameter/nm |
---|---|---|---|---|---|---|---|
风沙土 Aeolian sandy soil | 8.43 | 0.31 | 0.37 | 7.54 | — | — | — |
新鲜棉秆炭 Fresh cotton straw biochar | 10.30 | 8.08 | 7.73 | — | 17.76 | 0.030 | 6.83 |
干湿老化棉秆炭 Dry and wet aged cotton straw biochar | 10.21 | 6.71 | 6.98 | — | 9.03 | 0.026 | 11.51 |
冻融老化棉秆炭 Freeze-thaw aged cotton straw biochar | 10.29 | 7.75 | 6.50 | — | 10.22 | 0.028 | 11.32 |
柠檬酸老化棉秆炭 Citric acid aged cotton straw biochar | 5.16 | 0.77 | 8.32 | — | 51.09 | 0.071 | 5.56 |
Table 1 Basic properties of soil and cotton straw biochars
项目 Item | pH | 电导率 Electrical conductivity/ (mS·cm-1) | 全氮 Total nitrogen/(g·kg-1) | 有机质 Organic matter/ (g·kg-1) | 比表面积 Specific surface area/(m2·g-1) | 总孔体积 Total pore volume/(cm3·g-1) | 平均孔径 Average pore diameter/nm |
---|---|---|---|---|---|---|---|
风沙土 Aeolian sandy soil | 8.43 | 0.31 | 0.37 | 7.54 | — | — | — |
新鲜棉秆炭 Fresh cotton straw biochar | 10.30 | 8.08 | 7.73 | — | 17.76 | 0.030 | 6.83 |
干湿老化棉秆炭 Dry and wet aged cotton straw biochar | 10.21 | 6.71 | 6.98 | — | 9.03 | 0.026 | 11.51 |
冻融老化棉秆炭 Freeze-thaw aged cotton straw biochar | 10.29 | 7.75 | 6.50 | — | 10.22 | 0.028 | 11.32 |
柠檬酸老化棉秆炭 Citric acid aged cotton straw biochar | 5.16 | 0.77 | 8.32 | — | 51.09 | 0.071 | 5.56 |
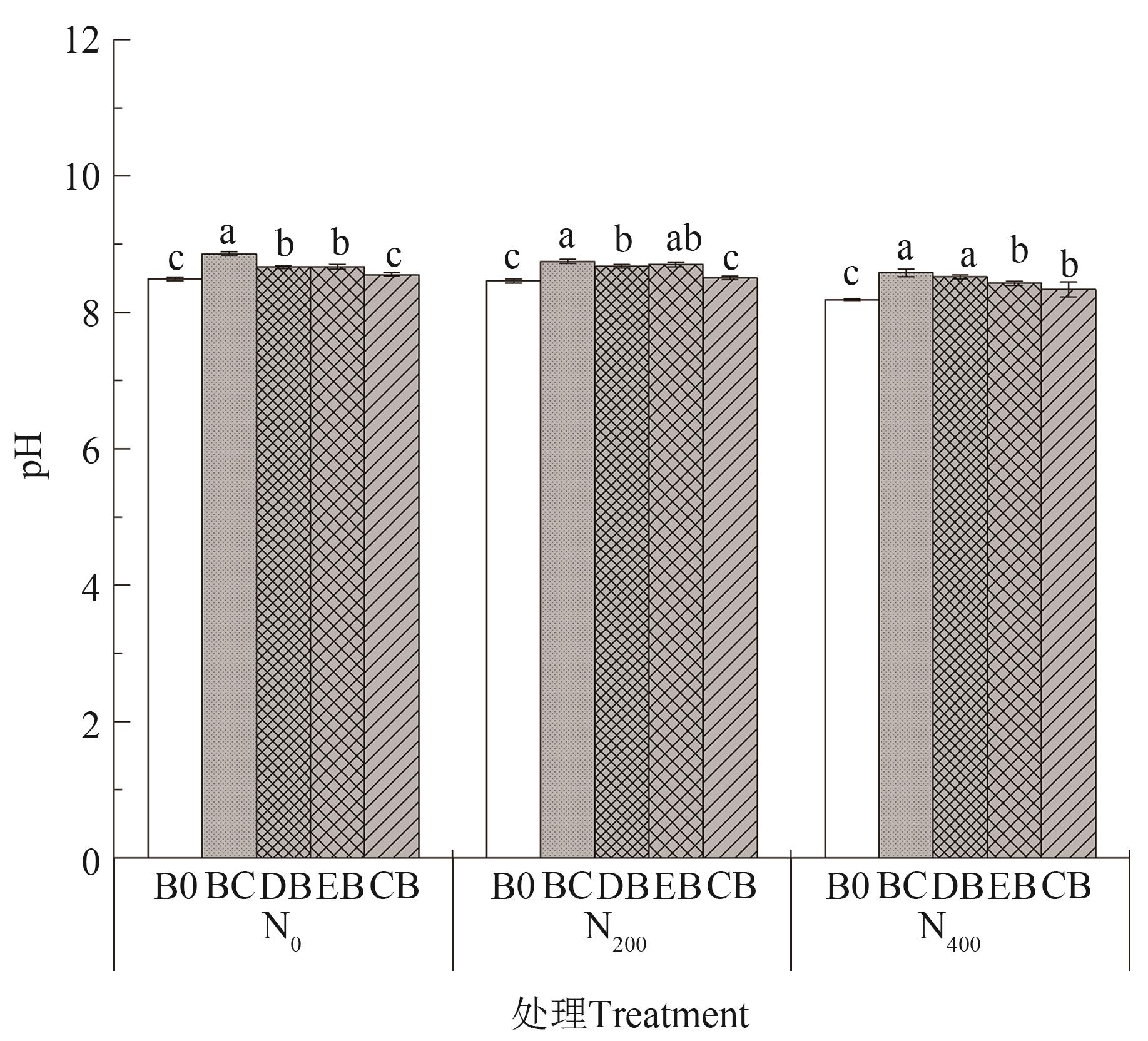
Fig. 1 Soil pH under different treatmentsNote:Different lowercase letters of same nitrogen application level indicate significant differences between different treatments at P<0.05 level.
Fig. 2 Soil conductivity under different treatmentsNote:Different lowercase letters of same nitrogen application level indicate significant differences between different treatments at P<0.05 level.
Fig. 3 Soil total nitrogen content under different treatmentsNote:Different lowercase letters of same nitrogen application level indicate significant differences between different treatments at P<0.05 level.
Fig. 4 Soil organic matter content under different treatmentsNote:Different lowercase letters of same nitrogen application level indicate significant differences between different treatments at P<0.05 level.
处理 Treatment | 干物质量 Dry matter quality/g | 氮素累积吸收量 Cumulative nitrogen uptake/mg | 氮肥吸收效率 Nitrogen absorption efficiency/% | 氮肥表观利用率 Nitrogen apparent efficiency/% | |
---|---|---|---|---|---|
N0 | B0 | 8.46±0.28 b | 129.5±5.78 a | — | — |
BC | 10.11±0.50 a | 135.6±16.5 a | — | — | |
DB | 9.42±0.58 a | 145.5±9.15 a | — | — | |
EB | 9.42±0.44 a | 146.8±9.13 a | — | — | |
CB | 8.49±0.58 b | 131.5±2.23 a | — | — | |
N200 | B0 | 14.86±0.75 bc | 374.9±48.70 a | 62.48±8.12 a | 40.89±8.12 a |
BC | 16.34±0.47 a | 405.6±39.00 a | 67.61±6.50 a | 46.02±6.50 a | |
DB | 16.47±1.77 a | 375.4±30.13 a | 62.56±5.17 a | 40.98±5.17 a | |
EB | 15.07±0.83 b | 392.7±23.51 a | 65.45±3.92 a | 43.87±3.91 a | |
CB | 15.12±0.33 b | 409.6±19.70a | 68.27±3.28 a | 46.69±3.28 a | |
N400 | B0 | 13.75±0.44 a | 367.4±18.20 a | 30.62±1.51 a | 19.83±1.51 a |
BC | 12.77±0.31 ab | 342.5±33.21 a | 28.54±2.77 a | 17.75±2.77 a | |
DB | 13.30±0.77 ab | 364.1±31.78 a | 30.17±2.65 a | 19.38±2.65 a | |
EB | 11.55±1.08 c | 351.9±35.93 a | 29.16±2.99 a | 18.34±3.92 a | |
CB | 12.45±0.48 bc | 353.2±42.22 a | 29.43±3.52 a | 18.64±3.52 a |
Table 2 Dry matter mass and nitrogen uptake in wheat under different treatments
处理 Treatment | 干物质量 Dry matter quality/g | 氮素累积吸收量 Cumulative nitrogen uptake/mg | 氮肥吸收效率 Nitrogen absorption efficiency/% | 氮肥表观利用率 Nitrogen apparent efficiency/% | |
---|---|---|---|---|---|
N0 | B0 | 8.46±0.28 b | 129.5±5.78 a | — | — |
BC | 10.11±0.50 a | 135.6±16.5 a | — | — | |
DB | 9.42±0.58 a | 145.5±9.15 a | — | — | |
EB | 9.42±0.44 a | 146.8±9.13 a | — | — | |
CB | 8.49±0.58 b | 131.5±2.23 a | — | — | |
N200 | B0 | 14.86±0.75 bc | 374.9±48.70 a | 62.48±8.12 a | 40.89±8.12 a |
BC | 16.34±0.47 a | 405.6±39.00 a | 67.61±6.50 a | 46.02±6.50 a | |
DB | 16.47±1.77 a | 375.4±30.13 a | 62.56±5.17 a | 40.98±5.17 a | |
EB | 15.07±0.83 b | 392.7±23.51 a | 65.45±3.92 a | 43.87±3.91 a | |
CB | 15.12±0.33 b | 409.6±19.70a | 68.27±3.28 a | 46.69±3.28 a | |
N400 | B0 | 13.75±0.44 a | 367.4±18.20 a | 30.62±1.51 a | 19.83±1.51 a |
BC | 12.77±0.31 ab | 342.5±33.21 a | 28.54±2.77 a | 17.75±2.77 a | |
DB | 13.30±0.77 ab | 364.1±31.78 a | 30.17±2.65 a | 19.38±2.65 a | |
EB | 11.55±1.08 c | 351.9±35.93 a | 29.16±2.99 a | 18.34±3.92 a | |
CB | 12.45±0.48 bc | 353.2±42.22 a | 29.43±3.52 a | 18.64±3.52 a |
1 | 马瑞琦, 王德梅, 陶志强, 等. 施氮量对北部冬麦区种植弱筋小麦产量与品质的影响[J].作物杂志, 2023(1):163-169. |
MA R Q, WANG D M, TAO Z Q, et al.. Effects of nitrogen application rate on yield and quality of weak gluten wheat in northern winter wheat regin [J]. Crops, 2023(1):163-169. | |
2 | 周丽平, 杨俐苹, 白由路, 等. 不同氮肥缓释化处理对夏玉米田间氨挥发和氮素利用的影响[J]. 植物营养与肥料学报, 2016, 22(6):1449-1457. |
ZHOU L P, YANG L P, BAI Y L, et al.. Comparison of sevsral slow-released nitrogen fertilizers in ammonia volatilization and nitrogen utilization in summer maize field [J]. J. Plant Nutr. Fert., 2016, 22(6):1449-1457. | |
3 | 王响玲, 宋柏权. 氮肥利用率的研究进展[J]. 中国农学通报, 2020, 36(5):93-97. |
WANG X L, SONG B Q. Nitrogen fertilizer use efficiency:research progress [J]. Chin. Agric. Sci. Bull., 2020, 36(5):93-97. | |
4 | 纪立东, 柳骁桐, 司海丽, 等. 生物炭对土壤理化性质和玉米生长的影响[J]. 干旱地区农业研究, 2021, 39 (5): 114-120. |
JI L D, LIU X T, SI H L, et al.. Effects of biomass charcoal on soil physicochemical properties and corn growth [J]. Agric. Res. Arid Areas, 2021, 39 (5): 114-120. | |
5 | 顾美英, 徐万里, 唐光木, 等. 生物炭对灰漠土和风沙土土壤微生物多样性及与氮素相关微生物功能的影响[J]. 新疆农业科学, 2014, 51 (5): 926-934. |
GU M Y, XU W L, TANG G M, et al.. Effects of biochar on soil microbial diversity and function related with N transformation in grey desert soil and aeolian sandy soil in Xinjiang [J]. Xinjiang Agric. Sci., 2014, 51 (5): 926-934. | |
6 | WANG L W, O'CONNOR D, RINKLEBE J, et al.. Biochar aging: mechanisms, physicochemical changes, assessment, and implications for field applications [J]. Environ. Sci. Technol., 2020, 54(23):14797-14814. |
7 | 葛顺峰, 周乐, 门永阁, 等. 添加不同碳源对苹果园土壤氮磷淋溶损失的影响[J]. 水土保持学报, 2013, 27 (2): 31-35. |
GE S F, ZHOU L, MEN Y G, et al.. Effect of carbon application on nitrogen and phospours leaching in apple orchard soil [J]. J. Soil Water Conserv., 2013, 27 (2): 31-35. | |
8 | OMARA P, AULA L, OYEBIYI F B, et al.. Biochar application in combination with inorganic nitrogen improves maize grain yield, nitrogen uptake, and use efficiency in temperate soils [J/OL]. Agronomy, 2020, 10 (9):1241 [2022-08-20]. . |
9 | 李江舟, 娄翼来, 张立猛, 等. 不同生物炭添加量下植烟土壤养分的淋失[J]. 植物营养与肥料学报, 2015, 21 (4):1075-1080. |
LI J Z, LOU Y L, ZHANG L M, et al.. Leaching loss of nutrients in tobacco-planting soil under different biochar adding levels [J]. J. Plant Nutr. Fert., 2015, 21 (4):1075-1080. | |
10 | 张爱平, 刘汝亮, 高霁, 等. 生物炭对宁夏引黄灌区水稻产量及氮素利用率的影响[J]. 植物营养与肥料学报, 2015, 21 (3): 1352-1360. |
ZHANG A P, LIU R L, GAO J, et al.. Effects of biochar on rice yield and nitrogen use efficiency in the Ningxia Yellow River irrigation region [J]. J. Plant Nutr. Fert., 2015, 21 (3): 1352-1360. | |
11 | 王朝旭, 陈绍荣, 张峰, 等. 玉米秸秆生物炭及其老化对石灰性农田土壤氨挥发的影响[J]. 农业环境科学学报, 2018, 37 (10): 2350-2358. |
WANG C X, CHEN S R, ZHANG F, et al.. Effects of fresh and aged maize straw-derived biochars on ammonia volatilization in a calcareous arable soil [J]. J. Agro-Environ. Sci., 2018, 37 (10): 2350-2358. | |
12 | 张军, 宋萌萌, 高兴, 等. 生物炭填充方式与老化对生物滞留氮磷淋失的影响[J]. 中国给水排水, 2020, 36 (15): 100-106. |
ZHANG J, SONG M M, GAO X, et al.. Effect of biochar filling mode and aging on leaching of nitrogen and phosphorus in bioretention facilities [J]. China Water Wastewater, 2020, 36 (15): 100-106. | |
13 | MIA S, SINGH B, DIJKSTRA F A. Aged biochar affects gross nitrogen mineralization and recovery: a 15N study in two contrasting soils [J]. GCB Bioenergy, 2017, 9 (7): 1196-1206. |
14 | 张雪, 刘笑生, 沈露露, 等. 老化作用对巨菌草茎生物炭内源铜镉活性的影响[J]. 农业环境科学学报, 2020, 39 (3): 563-571. |
ZHANG X, LIU X S, SHEN L L, et al.. Effects of ageing on the availability of endogenous copper and cadmium in biochar derived from Pennisetum sp. stems [J]. J. Agro-Environ. Sci., 2020, 39 (3): 563-571. | |
15 | 汪艳如, 侯杰发, 郭建华, 等. 冻融循环对牦牛粪生物炭吸附氨氮的影响[J]. 农业环境科学学报, 2017, 36 (3): 566-573. |
WANG Y R, HOU J F, GUO J H, et al.. Effects of freeze-thaw cycles on ammonium-nitrogen adsorption of yak dung biochar [J]. J. Agro-Environ. Sci., 2017, 36 (3): 566-573. | |
16 | SUN L, CHEN D M, WAN S G, et al.. Performance, kinetics, and equilibrium of methylene blue adsorption on biochar derived from eucalyptus saw dust modified with citric, tartaric, and acetic acids [J]. Bioresour. Technol., 2015, 198: 300-308. |
17 | XU Y, LIU Y G, LIU S B, et al.. Enhanced adsorption of methylene blue by citric acid modification of biochar derived from water hyacinth (Eichornia crassipes) [J]. Environ. Sci. Pollut. Res., 2016, 23 : 23606-23618. |
18 | 鲍士旦. 土壤农业化学分析[M]. 北京: 中国农业出版社, 2005: 20-133. |
19 | 陈琛, 石柯, 朱长伟, 等. 种植密度和施氮量对豫北潮土区小麦光合特性和产量及土壤氮素的影响[J]. 中国农业科技导报, 2023, 25(5):24-33. |
CHEN C, SHI K, ZHU C W, et al.. Effects of planting density and nitrogen application rate on whert photosynthetic characteristics,yield,and soil nitrogen content in fluvo-aquic soil in northern Henan province [J]. J. Agric. Sci. Technol., 2023, 25(5):24-33. | |
20 | 姚红宇. 棉秆炭特性对灰漠土氮肥转化及利用率的影响[D]. 乌鲁木齐: 新疆农业大学, 2015. |
YAO H Y. Effects of cotton stalk biochar characteristics on the nitrogen transition and utilization in grey desert soil [D]. Urumqi: Xinjiang Agricultural University, 2015. | |
21 | 刘淼, 王志春, 杨福, 等. 生物炭在盐碱地改良中的应用进展[J]. 水土保持学报, 2021, 35(3): 1-8. |
LIU M, WANG Z C, YANG F, et al.. Application progress of biochar in amelioration of saline-alkaline soil [J]. J. Soil Water Conserv., 2021, 35(3): 1-8. | |
22 | 王昆艳, 官会林, 卢俊, 等. 生物炭施用量对旱地酸性红壤理化性质的影响[J]. 土壤, 2020, 52 (3): 503-509. |
WANG K Y, GUAN H L, LU J, et al.. Effects of biochar on physicochemical properties of dry land acid red soil [J]. Soils, 2020, 52 (3): 503-509. | |
23 | 冯雷, 唐光木, 徐万里, 等. 棉秆炭施用方式对新疆灰漠土棉花生长及土壤性质的影响[J]. 华北农学报, 2019, 34 (1): 188-195. |
FENG L, TANG G M, XU W L, et al.. Cotton biochar application impact on the cotton growth and gray desert soil property in Xinjiang [J]. Acta Agric. Boreali-Sin., 2019, 34 (1): 188-195. | |
24 | 谢沂希, 杨婉俪, 刘慧, 等. 玉米秸秆炭对土壤中氮、磷淋溶的影响[J]. 四川农业科技, 2019 (10): 50-54. |
25 | 涂坤, 胡斐南, 许晨阳, 等. 小麦秸秆及其生物炭添加对黄绵土表面电化学性质的影响[J]. 水土保持学报, 2022, 36 (1): 360-367. |
TU K, HU F N, XU C Y, et al.. Effect of wheat straw and its biochar addion on surface electrochemical characteristis of loessal soil [J]. J. Soil Water Conserv., 2022, 36 (1): 360-367. | |
26 | ZHAO R, COLES N, KONG Z, et al.. Effects of aged and fresh biochars on soil acidity under different incubation conditions [J]. Soil Tillage Res., 2015,146: 133-138. |
27 | 刘艳, 王聪颖, 史志明, 等. 老化生物炭对小白菜积累重金属的影响[J]. 山西农业大学报 (自然科学版), 2019, 39 (3): 58-64. |
LIU Y, WANG C Y, SHI Z M, et al.. Effect of aged biochar on the accumulation of heavy metals in pakchoi [J]. J. Shanxi Agric. Univ. (Nat. Sci.), 2019, 39(3): 58-64. | |
28 | 周咏春, 郭思伯, 李丹阳, 等. 新鲜和老化生物炭对土壤氮淋失及油菜氮吸收的影响[J]. 环境科学研究, 2023, 36(3):581-589. |
ZHOU Y C, GUO S B, LI D Y, et al.. Effects of fresh and aged biochar on soil nitrogen leaching and nitrogen uptake of rapeseed [J]. Res. Environ. Sci., 2023, 36(3):581-589. | |
29 | 徐广平, 滕秋梅, 沈育伊, 等. 香蕉茎叶生物炭对香蕉枯萎病防控效果及土壤性状的影响[J]. 生态环境学报, 2020, 29 (12): 2373-2384. |
XU G P, TENG Q M, SHEN Y Y, et al.. Effects of banana stems-leavs biochar on soil properties and control of banana Fusarium wilt [J]. Ecol. Environ. Sci., 2020, 29 (12): 2373-2384. | |
30 | 武梦娟, 王桂君, 许振文, 等. 生物炭对沙化土壤理化性质及绿豆幼苗生长的影响[J]. 生物学杂志, 2017, 34 (2): 63-67. |
WU M J, WANG G J, XU Z W, et al.. The impact of biochar on mung bean growth and soil physicochemical properties of sandy soil [J]. J. Biol., 2017, 34 (2): 63-67. | |
31 | 林庆毅. 生物炭模拟老化及其对酸性红壤改良的潜力分析[D]. 武汉: 华中农业大学, 2018. |
LIN Q Y. Biochar simuate aging and its potential analysis on imprpvement of the acid red soil [D]. Wuhan: Huazhong Agricultural University, 2018. | |
32 | 史思伟, 娄翼来, 杜章留, 等. 生物炭的10年土壤培肥效应[J]. 中国土壤与肥料, 2018 (6): 16-22. |
SHI S W, LOU Y L, DU Z L, et al.. A 10-year field experiment on biochar amendment: effects on soil fertility [J]. Soil Fert. Sci. China, 2018 (6): 16-22. | |
33 | 任美, 程建华, 唐翔宇, 等. 生物质炭施用及老化对石灰性紫色土中磺胺类抗生素迁移特征的影响[J]. 土壤, 2021, 53 (3): 563-570. |
REN M, CHENG J H, TANG X Y, et al.. Effects of biochar application and ageing on the transport of sulfonamides in calcareous purple soil [J]. Soils, 2021, 53 (3): 563-570. | |
34 | WANG Z, LI Y K, GUO W Z, et al.. Yield, nitrogen use efficiency and economic benefits of biochar additions to Chinese flowering cabbage in Northwest China [J]. Nutr. Cycl. Agroecosyst., 2019, 113 (3): 337-348. |
35 | 俞若涵, 姚奇, 杨明晓, 等. 生物炭对夏玉米农田土壤有效养分垂直分布及作物利用的影响[J]. 中国土壤与肥料, 2021 (1): 137-142. |
YU R H, YAO Q, YANG M X, et al.. Effect of biochar on vertical distribution of available nutrients in soil and crop nutrient utilization in summer maize season [J]. Soil Fert. Sci. China, 2021 (1): 137-142. | |
36 | 刘园, JAMAL K, 靳海洋, 等. 秸秆生物炭对潮土作物产量和土壤性状的影响[J]. 土壤学报, 2015, 52 (4): 849-858. |
LIU Y, KHANM J, JIN H Y, et al.. Effects of successive application of crop-straw biochar on crop yield and soil properties in cambosols [J]. Acta Pedol. Sin., 2015, 52 (4): 849-858. | |
37 | 禄兴丽. 宁夏引黄灌区生物炭配施氮肥对春小麦产量的影响[J]. 西南农业学报, 2021, 34 (4): 770-776. |
LU X L. Effect of straw returning with nitrogen application on crop yield and nitrogen use efficiency in Ningxia Yellow River irrigation district [J]. Southwest China J. Agric. Sci., 2021, 34 (4): 770-776. | |
38 | MANDAL S, THANGARAJAN R, BOLAN N S, et al.. Biochar induced concomitant decrease in ammonia volatilization and increase in nitrogen use efficiency by wheat [J]. Chemosphere, 2016, 142 (1): 120-127. |
39 | HUI C, NING L, MI X, et al.. Biochar can increase nitrogen use efficiency of Malus hupehensis by modulating nitrate reduction of soil and root [J]. Appl. Soil Ecol., 2019, 135 (3): 25-32. |
40 | 董玉兵, 吴震, 李博, 等. 追施生物炭对稻麦轮作中麦季氨挥发和氮肥利用率的影响[J]. 植物营养与肥料学报, 2017, 23(5): 1258-1267. |
DONG Y B, WU Z, LI B, et al.. Effects of biochar reapplication on ammonia volatilization and nitrogen use efficiency during wheat season in a rice-wheat annual rotation system [J]. J. Plant Nutr. Fert., 2017, 23(5): 1258-1267. |
[1] | Yujing LI, Yuqing FENG, Yuanyuan ZHAO, Hongzhi SHI. Review of Absorption and Utilization of Different Nitrogen Forms and Their Effects on Plant Physiological Metabolism [J]. Journal of Agricultural Science and Technology, 2023, 25(2): 128-139. |
[2] | QI Xin, SI Yukun, ZHAO Yanan, HUANG Yufang, YAN Junying, SUN Xiaomei, YE Youliang. Impacts of Nitrogen Forms on Nitrogen Utilization and Yield of Wheat in Different Types of Soil [J]. Journal of Agricultural Science and Technology, 2021, 23(7): 172-181. |
[3] | WANG Xiujuan, XIE Zhanjun, HAN Yingzuo, LOU Chunrong, DONG Huan, HE Zhigang. Effects of Organic Fertilization on Soil Fertility, Nitrogen Utilization Efficiency and Yield of Maize [J]. Journal of Agricultural Science and Technology, 2021, 23(3): 132-138. |
[4] | TAN Jinghong, WU Qixia*, ZHU Jianqiang, KE Xinyao, MA Hongyu. Study on the Optimal Nitrogen Application Rate for Transplanted Cotton following Wheat Harvest in Jianghan Plain [J]. Journal of Agricultural Science and Technology, 2020, 22(9): 122-131. |
[5] | TANG Li, XIE Yong, RONG Xiangmin*, YANG Wei, HUANG Jiayi, HE Shifu, ZHANG Lian. Effects of Different Ratios of Inorganic-N Substituted by Manure on Rice Yield, Nitrogen Absorption and Nitrogen Loss Risk [J]. Journal of Agricultural Science and Technology, 2020, 22(9): 132-142. |
[6] | GUO Shijia1, DUAN Yu2*, ZHANG Jun2, ZHANG Runsheng1, SHI Youguo3. Influence of Different Types of Urea on the Yield, Quality and Nitrogen Use Efficiency of Processing Tomato [J]. Journal of Agricultural Science and Technology, 2018, 20(6): 96-103. |
[7] | WANG Ronghuan§, CHEN Chuanyong§, XU Tianjun, ZHAO Jiuran*,LV Tianfang, LIU Yuee, LIU Xiuzhi, LIU Chunge. Response of Yield and Nitrogen Use Efficiency of Different Genotype Maize Varieties to Nitrogen Reducing [J]. Journal of Agricultural Science and Technology, 2018, 20(4): 101-107. |
[8] | WEI Zhongcai1,2, LI Xueqiang2,3, SUN Chuanzhu2,4*, LIU Wenzheng1,2, ZHANG Yufan1,2. Analysis of Potato Mechanical Damage in Harvesting and Cleaning and Sorting Storage [J]. Journal of Agricultural Science and Technology, 2017, 19(8): 63-70. |
Viewed | ||||||
Full text |
|
|||||
Abstract |
|
|||||