Journal of Agricultural Science and Technology ›› 2024, Vol. 26 ›› Issue (5): 65-76.DOI: 10.13304/j.nykjdb.2023.0622

• BIOTECHNOLOGY & LIFE SCIENCE • Previous Articles     Next Articles

Analysis of Biochemical Characteristics and Superoxide Anion Radical Scavenging Activity of Tea Polysaccharides of Local Tea Germplasms in Wuyishan

Yutao SHI1(), Huizhen XIE1, Shulin ZHENG1, Guanhua YU1, Feiquan WANG1, Li LI1, Bo ZHANG1, Yuanhua LI1, Shengcai LUO2   

  1. 1.Tea Engineering Research Center of Fujian Higher Education,Tea Science Research Institute,College of Tea and Food Sciences,Wuyi University,Fujian Wuyishan 354300,China
    2.Wuyishan Guiyan Tea Industry Co. ,Ltd. ,Fujian Wuyishan 354300,China
  • Received:2023-08-18 Accepted:2023-09-12 Online:2024-05-15 Published:2024-05-14

武夷山地方茶树种质生化特性和茶多糖清除超氧阴离子自由基活性分析

石玉涛1(), 谢惠珍1, 郑淑琳1, 羽观华1, 王飞权1, 李力1, 张渤1, 李远华1, 罗盛财2   

  1. 1.武夷学院茶与食品学院, 茶叶福建省高校工程研究中心, 茶叶科学研究所, 福建 武夷山 354300
    2.武夷山龟岩茶业有限公司, 福建 武夷山 354300
  • 作者简介:石玉涛 E-mail:ytshi@wuyiu.edu.cn
  • 基金资助:
    福建省自然科学基金项目(2023J011048);福建省大学生创新训练计划项目(S202210397038);中央引导地方科技发展专项(2021L3058);武夷学院科技创新发展基金项目(2019J04)

Abstract:

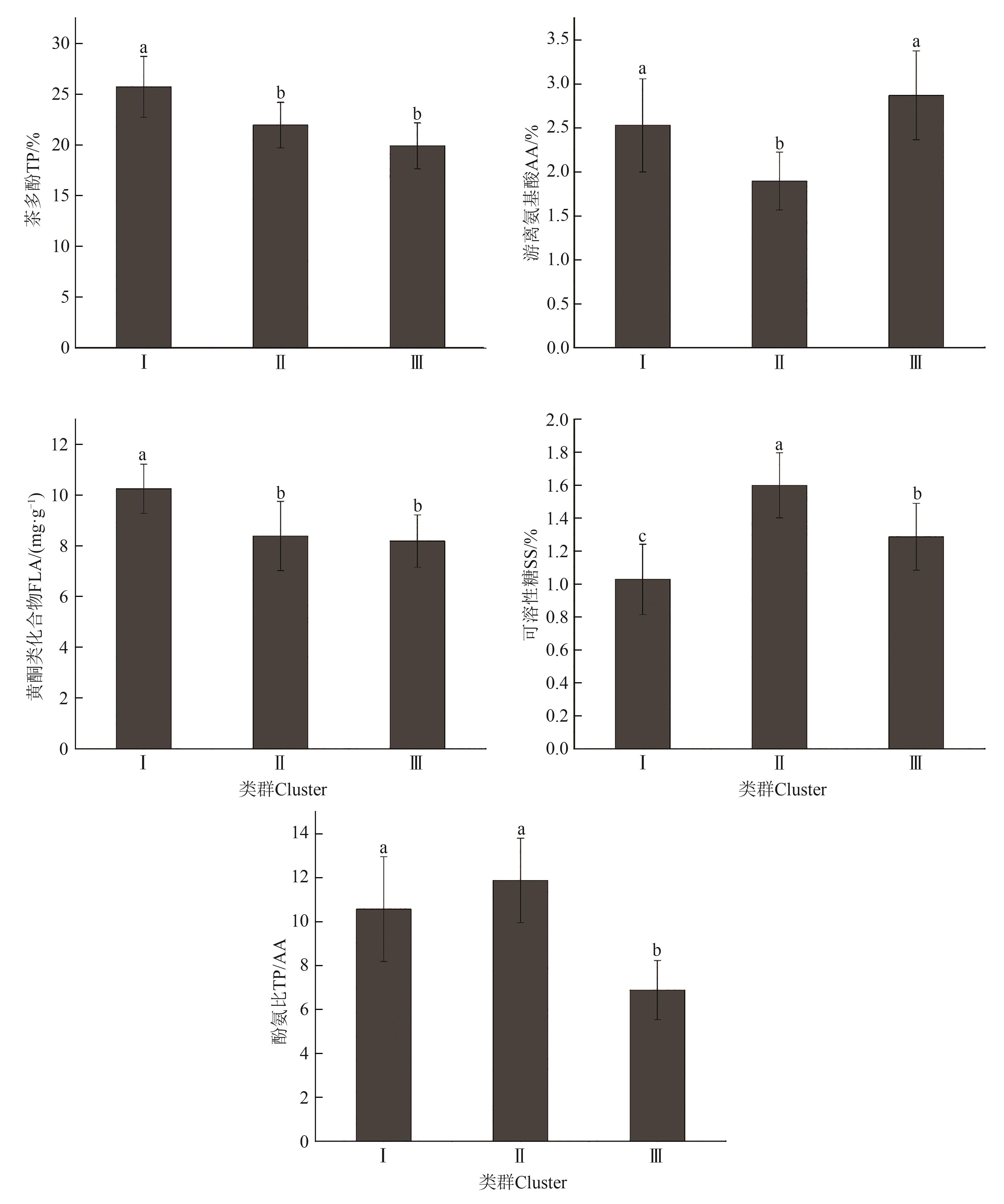
To explore the characteristics of main biochemical components of Wuyishan local tea germplasms and the difference of scavenging superoxide anion free radical activity of tea polysaccharides, the contents of main biochemical components of 31 Wuyishan local tea germplasm were determined. Tea polysaccharides were extracted by water extraction and alcohol precipitation method, and the SOD activity of tea polysaccharides was compared by xanthine oxidase method. The results showed that the main biochemical components of local tea germplasm in Wuyishan had strong variation and genetic diversity, and had great potential for genetic improvement. The average coefficient of variation was 21.84%, the average genetic diversity index was 2.08, and the average improvement potential was 50.92%; the contents of tea polyphenols, free amino acids, flavones, soluble sugar and the ratio of phenol to ammonia showed normal distribution. The content of tea polyphenols was significantly positively correlated with the content of flavones, and significantly negatively correlated with the content of soluble sugar. The contents of free amino acids were significantly negatively correlated with the content of soluble sugar. The first 2 principal components extracted by principal component analysis contained 81.08% information of 5 biochemical indexes, which mainly reflected the information of free amino acid and tea polyphenol content. The top 5 tea germplasms with comprehensive scores of principal components were ‘Baimudan’ ‘Honghaitang’ ‘Xiangtianmei’ ‘Bantianyao’ and ‘Xiangshijiao’, which could be used as good materials for breeding and promoting cultivation of high-quality Oolong tea varieties in Wuyishan tea area. Cluster analysis based on the content of biochemical components divided 31 tea germplasms into 3 categories. The 13 germplasms in groupⅠhad high content of tea polyphenols and flavones and low soluble sugar content, 8 germplasms in group Ⅱ had low free amino acid content and high soluble sugar content and 10 germplasms in group Ⅲ had high phenol ammonia ratio and medium soluble sugar content. Based on the cluster analysis of tea polysaccharide SOD activity, 31 tea germplasms could be divided into three categories. The SOD activity of tea polysaccharide of 8 germplasms in group Ⅰ was low, the SOD activity of tea polysaccharide of 19 germplasms in group Ⅱ was in the middle, and the SOD activity of tea polysaccharide of 4 germplasms in group Ⅲ was high. There was abundant variation in the SOD activity of tea polysaccharides, with a coefficient of variation of 40.62% and an index of genetic diversity of 2.07; the tea polysaccharides of 4 germplasm, ‘Baijiguan’ ‘Dahongpao’ ‘Dahongmei’ and ‘Lingya’, had high SOD activity, so their scavenging abilities of superoxide anion radicals were strong. Above results could provide a scientific basis for the improvement and utilization of tea germplasms in Wuyishan.

Key words: Wuyishan, tea germplasms, biochemical components, tea polysaccharides, superoxide anion free radical, principal component analysis, cluster analysis

摘要:

为探明武夷山地方茶树种质主要生化成分特性和茶多糖清除超氧阴离子自由基活性差异,测定了31份武夷山地方茶树种质主要生化成分含量,采用水提醇沉淀法提取茶多糖,并采用黄嘌呤氧化酶法比较了茶多糖SOD活力。结果表明,武夷山地方茶树种质主要生化成分存在较强的变异和遗传多样性,具有较大的遗传改良潜力。平均变异系数为21.84%,平均遗传多样性指数为2.08,平均改良潜力为50.92%;茶多酚、游离氨基酸、黄酮类化合物、可溶性糖含量和酚氨比均呈正态分布;茶多酚含量与黄酮类化合物含量呈极显著正相关,与可溶性糖含量呈极显著负相关,游离氨基酸含量与可溶性糖含量呈极显著负相关;提取的前2个主成分包含了5个生化指标81.08%的信息,游离氨基酸和茶多酚含量是5个生化性状的特征指标,主成分综合得分排名前5位的茶树种质为‘白牡丹’‘红海棠’‘向天梅’‘半天妖’和‘香石角’,可作为武夷山茶区优质乌龙茶品种选育和推广栽培的良好材料;基于生化成分的聚类分析将31份茶树种质分为3类,第Ⅰ类群13份种质茶多酚和黄酮类化合物含量高,可溶性糖含量低,第Ⅱ类群8份种质游离氨基酸含量较低,可溶性糖含量较高,第Ⅲ类群10份种质酚氨比较高,可溶性糖含量中等;基于茶多糖SOD活力的聚类分析,可将31份茶树种质分为3类,第Ⅰ类群8份种质茶多糖SOD活力低,第Ⅱ类群19份种质茶多糖SOD活力居中,第Ⅲ类群4份种质茶多糖SOD活力高;茶多糖SOD活力存在丰富的变异,变异系数达40.62%,遗传多样性指数为2.07;‘白鸡冠’‘大红袍’‘大红梅’和‘灵芽’4份种质茶多糖SOD活力高,清除超氧阴离子自由基能力强。研究结果可为武夷山地方茶树种质的改良和开发利用提供科学依据。

关键词: 武夷山, 茶树种质, 生化成分, 茶多糖, 超氧阴离子自由基, 主成分分析, 聚类分析

CLC Number: