Journal of Agricultural Science and Technology ›› 2025, Vol. 27 ›› Issue (2): 158-169.DOI: 10.13304/j.nykjdb.2023.0429

• FOOD QUALITY & PROCESSING AND STORAGE • Previous Articles     Next Articles

Fruit Quality Analysis of Prunus domestica × armeniaca at Different Harvest Maturity Levels

Ruyue WANG1,2(), Haifang HU2,3, Shasha LUO1,2, Ziyi ZHEN1,2, Yeyong XU3, Xiaojing HU1()   

  1. 1.College of Forestry and Landscape Architecture,Xinjiang Agricultural University,Urumqi 830052,China
    2.National Long Term Research Base of Jiamu Fruit and Tree Science,Xinjiang Akesu 843100,China
    3.Xinjiang Academy of Forestry,Urumqi 830062,China
  • Received:2023-06-03 Accepted:2024-04-22 Online:2025-02-15 Published:2025-02-14
  • Contact: Xiaojing HU

杏李不同采收成熟度果实品质分析

王如月1,2(), 虎海防2,3, 罗莎莎1,2, 甄紫怡1,2, 徐业勇3, 胡晓静1()   

  1. 1.新疆农业大学林学与风景园林学院,乌鲁木齐 830052
    2.新疆佳木果树学国家长期科研基地,新疆 阿克苏 843100
    3.新疆林业科学院,乌鲁木齐 830062
  • 通讯作者: 胡晓静
  • 作者简介:王如月 E-mail:1547093665@qq.com
  • 基金资助:
    新疆维吾尔自治区重点研发计划项目(2023B02026);中央引导地方科技发展专项资金项目(ZYYD2022B15);中央财政林草科技推广示范项目(新〔2023〕TG04号)

Abstract:

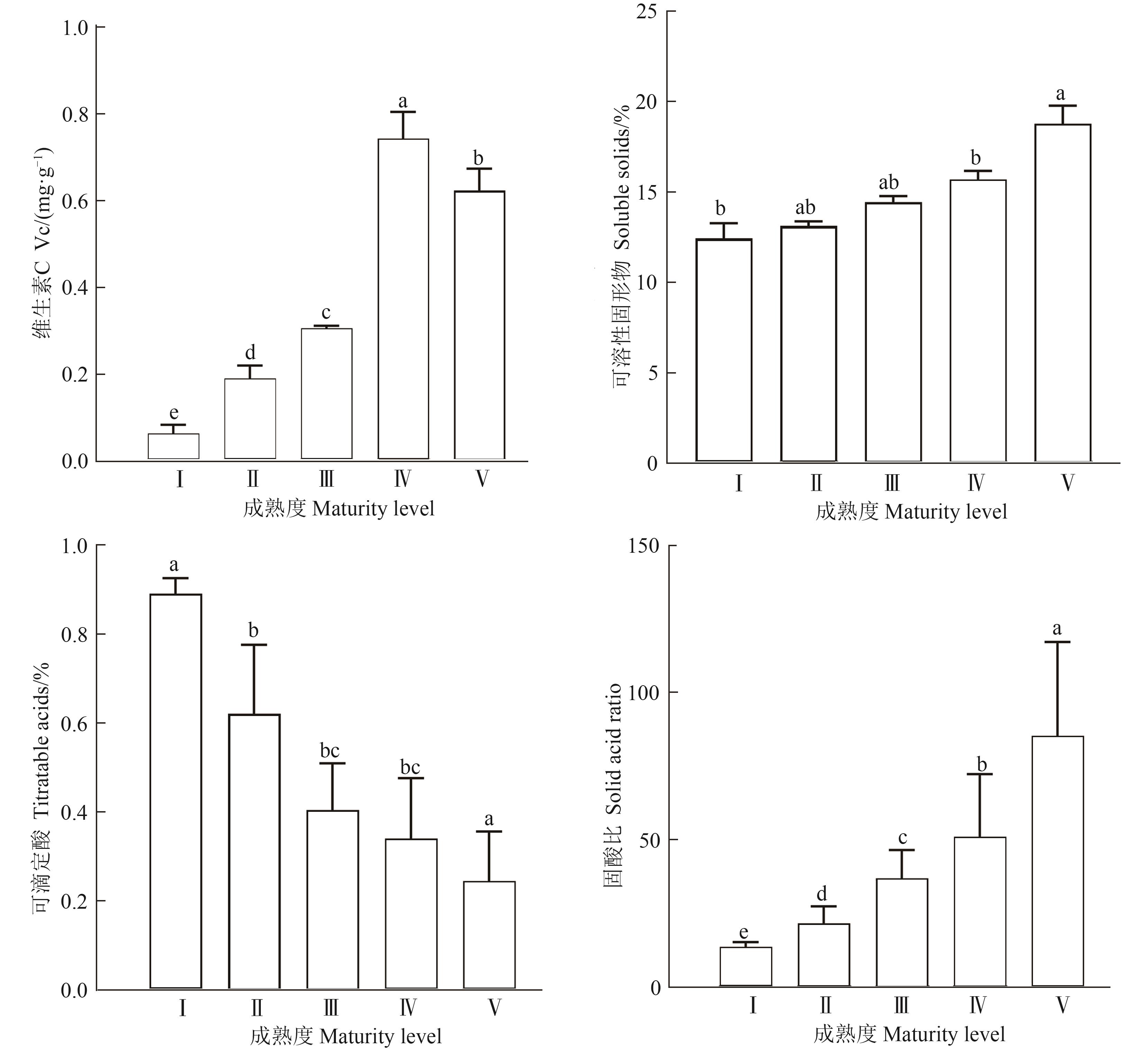
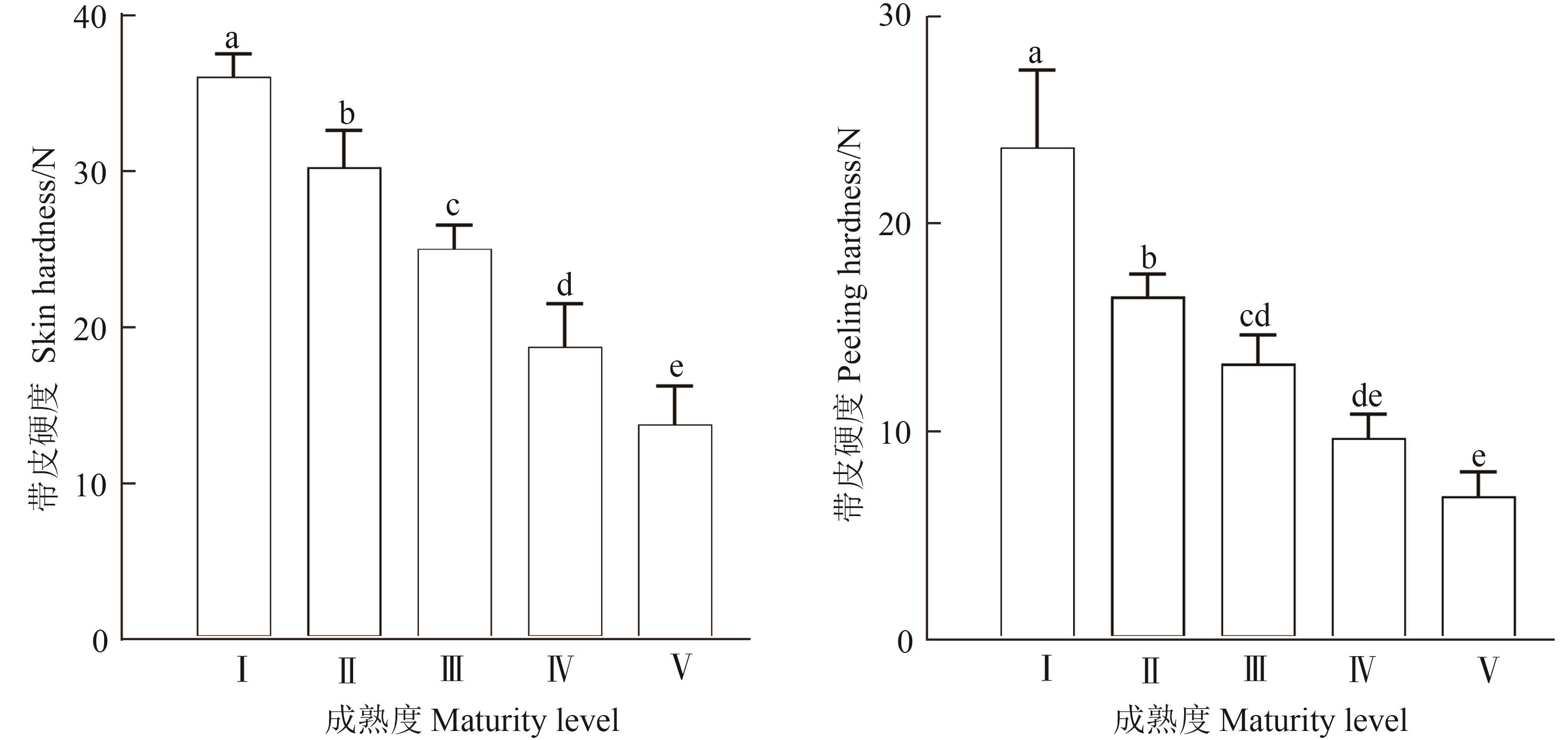
To study the effects of different harvest maturity levels on the quality of P. domestica × armeniaca fruits, and to screen out the suitable maturity levels for picking P. domestica × armeniaca,using P. domestica × armeniaca ‘Fengweihuanghou’ as the test materials, the changes in indicators such as single fruit weight, fruit color and fruit hardness and so on under different maturity levels(Ⅰ, Ⅱ, Ⅲ, Ⅳ, Ⅴ) were analyzed by variance, correlation and principal component analysis. The results showed that with the increase of harvest maturity levels, the red green value (a*) of the fruit skin, the red green value (a*) of the fruit flesh, the blue yellow value (b*) of the skin, the blue yellow value (b*) of the flesh, the comprehensive ratio of the skin (a*/b*) and the comprehensive ratio of the flesh (a*/b*) all showed a significant upward trend, which increased by 15.811, 15.760, 23.009, 15.380, 0.973 and 0.558, respectively, during the entire maturity and development period, and were highly significant positive correlation with fruit maturity. Chlorophyll a+b, peel brightness value (L*)and flesh brightness value (L*) showed significant downward trend, with decrease of 17.230 μg·cm-3, 11.460 and 13.492 during maturity, respectively. The single fruit weight, soluble solids, solid to acid ratio and membrane permeability all showed a significant upward trend with the increase of harvest maturity level. At maturity Ⅴ, the various indicators were 101.500 g, 18.780%, 85.535% and 62.050%, respectively, and showed a highly significant correlation with maturity level. The skin hardness, peel hardness and titratable acid showed a significant downward trend with the delay of maturity, reaching their lowest values at maturity Ⅴ, which were 13.770 N, 6.886 N and 0.246%, respectively, which were significantly negatively correlated with harvest maturity level. The principal component analysis showed that the fruit quality of different maturity level was as follows: maturity Ⅴ>maturity Ⅳ>maturity Ⅲ>maturity Ⅱ>maturity Ⅰ. Based on production needs and comprehensive economic benefits, maturity Ⅰ and Ⅱ were not suitable for harvesting,and maturity Ⅳ and Ⅴ had good quality and taste, but the fruit softens severely. Maturity Ⅲ could be selected as the appropriate harvesting maturity. Above results could provide theoretical basis and scientific basis for the subsequent research and production of P. domestica × armeniaca .

Key words: Prunus domestica × armeniaca, ‘Fengweihuanghou’, fruit quality, maturity level, color, principal component analysis

摘要:

为研究不同成熟度对杏李果实品质的影响,筛选杏李适宜的采摘成熟度,以杏李‘风味皇后’为试验材料,对不同成熟度(Ⅰ、Ⅱ、Ⅲ、Ⅳ、Ⅴ)下单果重、果实颜色、果实硬度等指标变化规律进行方差、相关性和主成分分析。结果表明,随成熟度的增加,果皮红绿值(a*)、果肉红绿值(a*)、果皮蓝黄值(b*)、果肉蓝黄值(b*)、果皮综合比值(a*/b*)、果肉综合比值(a*/b*)均呈显著上升趋势,在整个成熟发育期间分别上升15.811、15.760、23.009、15.380、0.973和0.558,且与果实成熟度间呈极显著正相关;叶绿素a+b、果皮亮度值(L*)、果肉亮度值(L*)呈显著下降趋势,在成熟期间分别下降17.230 μg·cm-3、11.460、13.492;单果重、可溶性固形物、固酸比和质膜透性均随着采收成熟度的提高呈显著上升趋势,在成熟度Ⅴ时各指标含量分别为101.500 g、18.780%、85.535%和62.050%,且与成熟度间呈极显著相关。带皮硬度、去皮硬度、可滴定酸随着成熟度的增加呈显著下降趋势,均在成熟度Ⅴ时达到最低值,分别为13.770 N、6.886 N、0.246%,与采收成熟度呈极显著负相关。主成分分析结果显示,不同成熟度果实品质表现为:成熟度Ⅴ>成熟度Ⅳ>成熟度Ⅲ>成熟度Ⅱ>成熟度Ⅰ。根据生产需求并综合经济效益考虑,成熟度Ⅰ和Ⅱ不适宜采摘,成熟度Ⅳ和Ⅴ品质和口感较好,但果实软化严重,因此可选择成熟度Ⅲ作为适宜采收成熟度。研究结果为杏李后续研究生产等提供理论基础和科学依据。

关键词: 杏李, ‘风味皇后’, 果实品质, 成熟度, 色泽, 主成分分析

CLC Number: