Journal of Agricultural Science and Technology ›› 2025, Vol. 27 ›› Issue (2): 170-179.DOI: 10.13304/j.nykjdb.2023.0522

• FOOD QUALITY & PROCESSING AND STORAGE • Previous Articles     Next Articles

Comparative Analysis of Honey from Different Sources Based on Multidimensional Indicators

Ming ZHANG1(), Miaomiao CHE1, Xinli HUO1, Xue WANG2, Xing ZHENG2, Leilei ZHAO1(), Yazhou ZHAO2()   

  1. 1.Animal Husbandry and Veterinary Services Centre,Qinshui County,Jincheng City,Shanxi Province,Shanxi Jincheng 048299,China
    2.State Key Laboratory of Resource Insects,Institute of Apicultural Research,Chinese Academy of Agricultural Sciences,Beijing 100093,China
  • Received:2023-07-07 Accepted:2024-04-22 Online:2025-02-15 Published:2025-02-14
  • Contact: Leilei ZHAO,Yazhou ZHAO

基于多维指标对不同来源蜂蜜的比较分析

张铭1(), 车苗苗1, 霍新丽1, 王雪2, 郑星2, 赵磊磊1(), 赵亚周2()   

  1. 1.山西省晋城市沁水县畜牧兽医服务中心,山西 晋城 048299
    2.中国农业科学院蜜蜂研究所,资源昆虫高效养殖与利用全国重点实验室,北京 100093
  • 通讯作者: 赵磊磊,赵亚周
  • 作者简介:张铭E-mail:qswws123@126.com
  • 基金资助:
    国家蜜蜂产业技术体系项目(CARS-44-KXJ17)

Abstract:

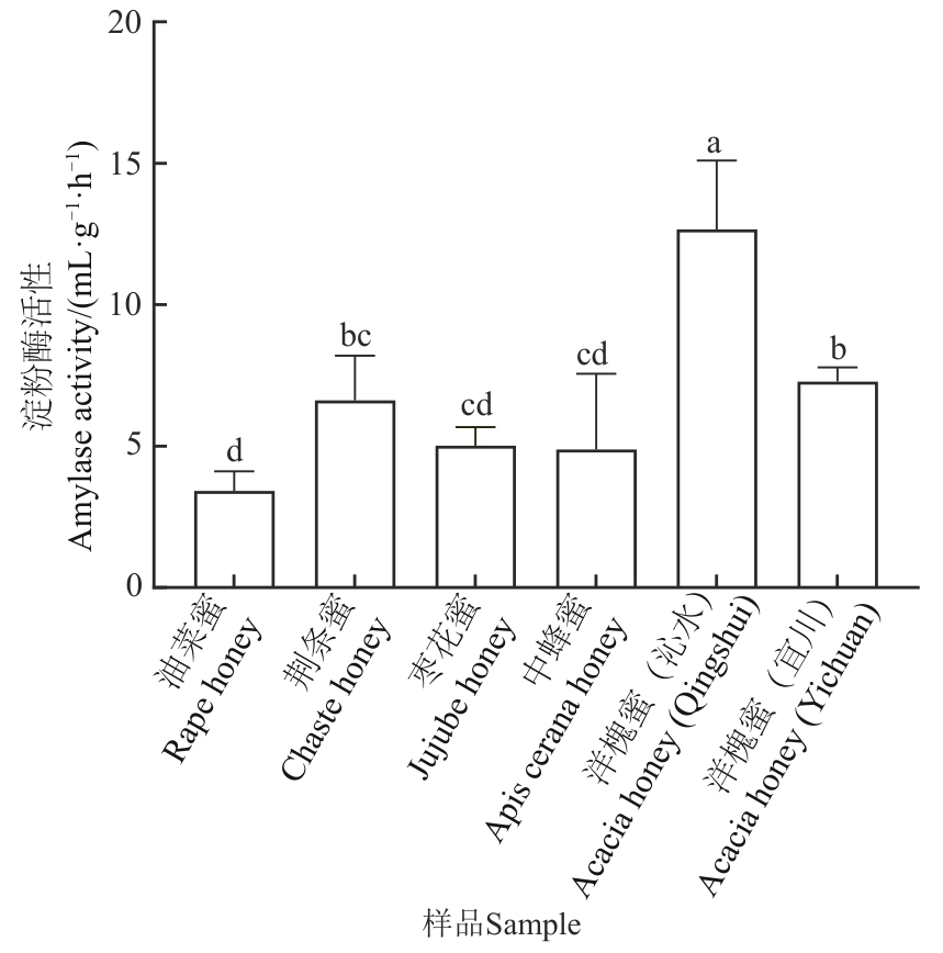
Honey is a natural product with complex composition and characteristics, which vary depending on the botanical source, origin, bee species and so on. In order to evaluate, differentiate and identify honey samples, a comparative analysis of honey from different sources using multidimensional indicators, including conventional physicochemical analysis and high performance liquid chromatography-quadrupole-time of flight/mass spectrometer (HPLC-Q-TOF/MS) technique were conducted. The results showed significant differences in amylase activity, fructose, glucose, phenolic acid and flavonoid contents among different honey samples. Among them, rape honey exhibited the lowest amylase activity with a value of (3.42±0.70) mL·g-1·h-1, while acacia honey (Qinshui) had the highest amylase activity with a value of (12.66±2.44) mL·g-1·h-1. The total phenolic acid and total flavonoid contents of Apis cerana honey were higher than other honey samples. Pro-His-Cys and hydroxytyrosol 1-O-glucoside might be useful in distinguishing honey from nectar plant species. Palustrine played an important role in differentiating acacia honey from different regions. Above results provided methodological guidance for the characterization and authenticity assessment of honey, that was, the multidimensional index method could be used as a valuable tool for comparative analysis of honey samples from different sources.

Key words: honey, multidimensional indicators, HPLC-Q-TOF/MS, characteristic identification

摘要:

蜂蜜是一种成分复杂的天然食品,其成分组成和营养价值因蜜源植物、产地、蜂种等不同而异。为实现对不同来源蜂蜜的评价和区别,采用常规理化指标检测和高效液相色谱-四极杆飞行时间质谱联用(high performance liquid chromatography-quadrupole-time of flight/mass spectrometer,HPLC-Q-TOF/MS)分析等多维指标对其进行比较分析。结果表明,不同蜂蜜样品的淀粉酶值、果糖、葡萄糖、总酚酸和总黄酮含量等有明显差异;其中,油菜蜜淀粉酶值最低,为(3.42±0.70)mL·g-1·h-1;洋槐蜜(沁水)淀粉酶值最高,为(12.66±2.44) mL·g-1·h-1;中蜂蜜的总酚酸和总黄酮含量均高于其他蜂蜜样品。脯氨酸-组氨酸-半胱氨酸和羟基酪醇1-O-葡萄糖苷可能有助于区分蜂蜜的蜜源植物种类,倍半萜化合物在洋槐蜜的产地区分中起到重要作用。研究结果为蜂蜜的特征性评价提供了一定的方法性指导,即借助多维指标可实现不同来源蜂蜜的区分与鉴别。

关键词: 蜂蜜, 多维指标, HPLC-Q-TOF/MS, 特征性鉴别

CLC Number: