Journal of Agricultural Science and Technology ›› 2024, Vol. 26 ›› Issue (12): 145-156.DOI: 10.13304/j.nykjdb.2023.0175

• BIO-MANUFACTURING & RESOURCE AND ECOLOGY • Previous Articles     Next Articles

Effects of DPC on Plant Type Shaping of Cotton Under Different Plant Spacing Configurations

Menghua ZHAI(), Minghui SUN, Xuerui LI, Xinlong XU, Haizhou GAO, Jusong ZHANG()   

  1. Cotton Engineering Research Center,Ministry of Education; College of Agronomy,Xinjiang Agricultural University,Urumqi 830052,China
  • Received:2023-03-10 Accepted:2023-05-05 Online:2024-12-15 Published:2024-12-17
  • Contact: Jusong ZHANG

不同株行距配置下缩节胺对棉花株型塑造的影响

翟梦华(), 孙明辉, 李雪瑞, 徐新龙, 高海洲, 张巨松()   

  1. 新疆农业大学农学院,教育部棉花工程研究中心,乌鲁木齐 830052
  • 通讯作者: 张巨松
  • 作者简介:翟梦华 E-mail:2846775389@qq.com
  • 基金资助:
    国家重点研发计划项目(2020YFD1001003);新疆维吾尔自治区重大科技专项(2020A01002-4)

Abstract:

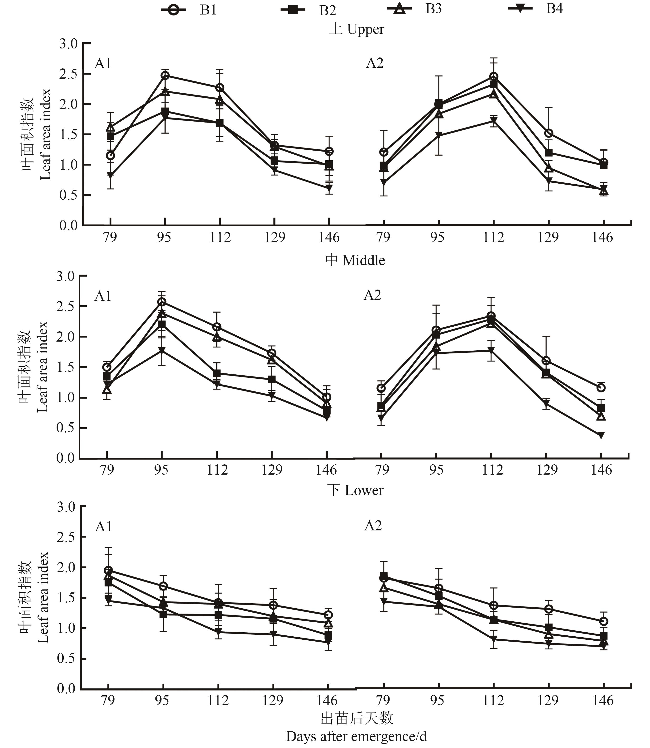
Optimizing the configuration of row spacing and the dosage of 1,1-dimethyl-piperidinium chloride(DPC) in machine-picked cotton is an important means for constructing a reasonable individual and group structure for cotton and increasing yield. ‘Yuanmian 11’ was used as planting material and a split-plot experimental design was adopted. Under the condition of consistent density, the main plot was set with 2 plant row spacing configurations including 76 cm equal row spacing and (66+10) cm wide and narrow row spacing; the sub-plot was set with 4 doses of DPC, which were 270, 410, 550 and 690 g·hm-2, respectively. The effects of different treatments on the growth rate of the main stem of cotton, plant structure, canopy characteristics and yield components were studied. The results showed that under the same DPC treatment, 76 cm equal row spacing mode increased the daily growth rate and internode length of the main stem of cotton, increased the angle of the lower fruit branches and the length of the upper fruit branches, reduced the length of the lower fruit branches and the angle of the upper fruit branches, and had a reasonable distribution of leaf area index in the vertical direction of the canopy,which improved the number of bolls per plant, single boll weight and seed cotton yield. Under the same planting mode, the daily growth rate of the main stem of cotton, the internode length of the main stem at various parts, and the length of the first fruit internode of the upper fruit branches were all inversely proportional to the dose of DPC.The angle of fruit branches at various parts increased first and then decreased with the increase of DPC dose. Increasing the dose of DPC could reduce the leaf area index of cotton to a certain extent. Based on the comparison and analysis of cotton plant type and yield in this experiment, it was recommended that cotton with 76 cm equal row spacing configuration mode should be sprayed with 550 g·hm-2 DPC during the whole growth period, while cotton with (66+10) cm mode should be sprayed with 410 g·hm-2 DPC to obtain an ideal yield. Above results provided a theoretical basis for the selection of plant row spacing configuration and the application of chemical control management measures for machine-picked cotton in Xinjiang.

Key words: cotton, plant spacing configuration, DPC, plant type

摘要:

优化机采棉株行距配置与缩节胺(1,1-dimethyl-piperidinium chloride, DPC)剂量是构建棉花合理个体与群体结构、提高产量的重要手段。以‘源棉11号’为材料,采用裂区试验设计,在密度一致的条件下,主区设置76 cm等行距、(66+10) cm宽窄行2个株行距配置模式,副区设置270、410、550和690 g·hm-2 4个缩节胺用量,研究不同处理对棉花主茎生长速度、株型结构、冠层特性及产量构成因素的影响。结果表明,同等缩节胺处理下,76 cm等行距模式提高了棉花主茎日增长量与主茎节间长度,增加了棉花下部果枝夹角与上部果枝长度,降低了下部果枝长度与上部果枝夹角,叶面积指数在冠层垂直方向上分布合理,提高了棉花单株结铃数、单铃重与皮棉产量;相同种植模式下,棉花的主茎日增长量、各部位主茎节间长度、上部果枝第1果节间长度均与缩节胺剂量呈反比,各部位的果枝夹角均随缩节胺剂量的增加先增后降,增施缩节胺能一定程度上降低棉花叶面积指数。结合棉花株型和产量对比分析,建议76 cm等行距配置模式的棉花全生育期缩节胺喷施量为550 g·hm-2、(66+10) cm模式的棉花缩节胺喷施剂量为410 g·hm-2,可获得较理想产量。以上结果为新疆机采棉的株行距配置的选择以及化控管理措施的运用提供理论依据。

关键词: 棉花, 株行距配置, 缩节胺, 株型

CLC Number: