Journal of Agricultural Science and Technology ›› 2024, Vol. 26 ›› Issue (8): 201-212.DOI: 10.13304/j.nykjdb.2022.0932

• BIO-MANUFACTURING & RESOURCE AND ECOLOGY • Previous Articles     Next Articles

Effects of Organic Fertilizer on Organic Matter Composition and Microbial Community Structure of Tobacco-Growing Soil in Yuxi

Xingsong WANG1(), Na WANG1(), Yu DU1, Peng ZHOU1, Ge WANG1, Meng JIA1, Zhaoli XU2(), Yuxiang BAI1()   

  1. 1.College of Tobacco Science, Yunnan Agricultural University, Kunming 650021, China
    2.Yunnan Academy of Tobacco and Agricultural Sciences, Kunming 650021, China
  • Received:2022-10-29 Accepted:2023-01-12 Online:2024-08-15 Published:2024-08-12
  • Contact: Zhaoli XU,Yuxiang BAI

有机肥对玉溪植烟土壤有机质组分和微生物群落结构的影响

王兴松1(), 王娜1(), 杜宇1, 周鹏1, 王戈1, 贾孟1, 徐照丽2(), 白羽祥1()   

  1. 1.云南农业大学烟草学院,昆明 650201
    2.云南省烟草农业科学研究院,昆明 650021
  • 通讯作者: 徐照丽,白羽祥
  • 作者简介:王兴松 E-mail:2962435088@qq.com
    王娜 E-mail:383817632@qq.com第一联系人:王兴松和王娜为共同第一作者。
  • 基金资助:
    国家自然科学基金项目(31860357);云南省烟草公司科技重大项目(2019530000241012)

Abstract:

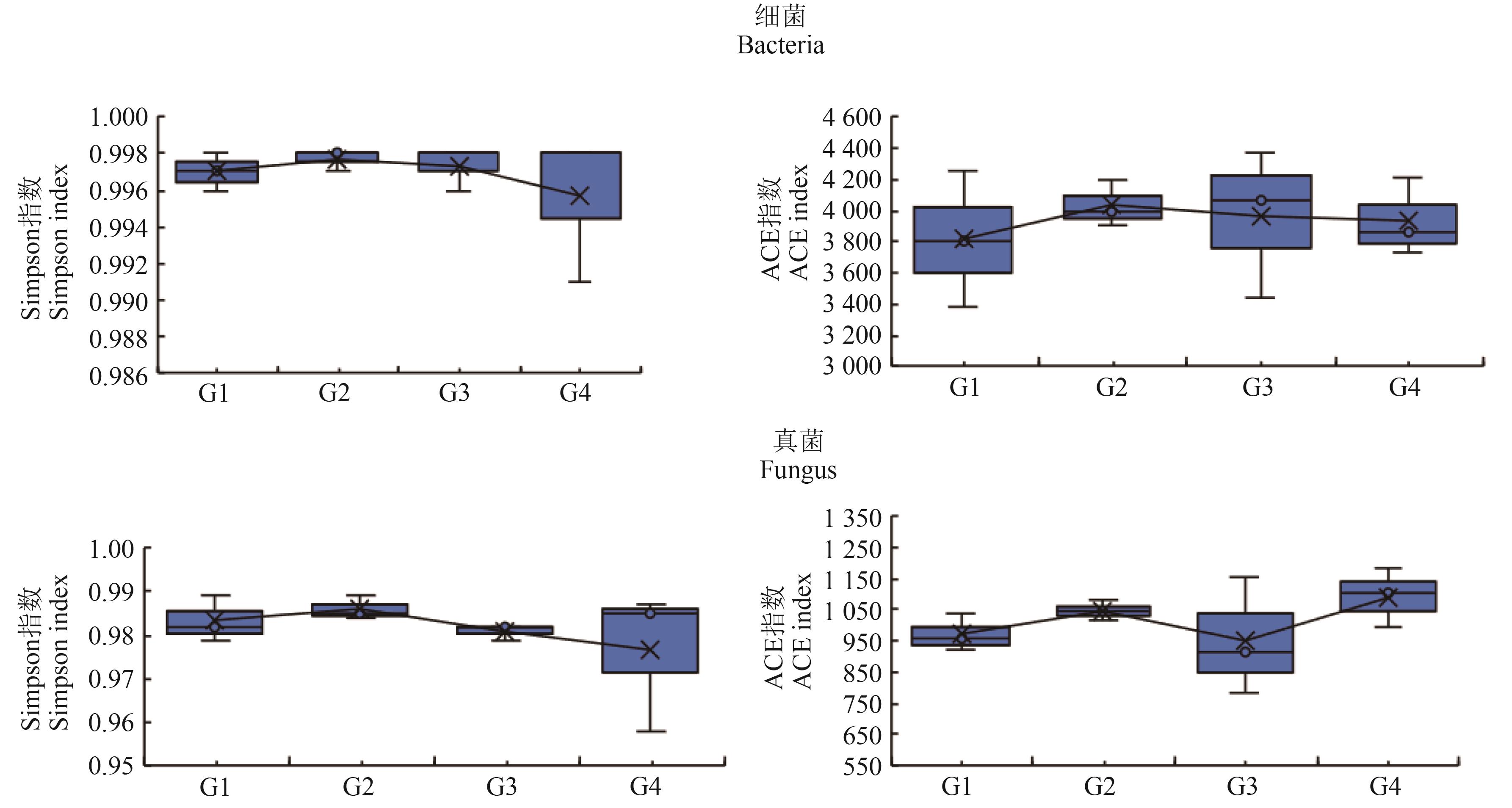
In order to further clarify the effects of increased application of organic fertilizer on the microecological environment of tobacco-growing soil and its internal interaction, a field experiment was conducted to apply organic fertilizer (0, 3 000, 6 000 and 12 000 kg·hm-2). The effects on composition, physicochemical properties and microbial community characteristics of soil organic matter were studied. The results showed that increased application of organic fertilizer significantly increased pH, organic matter and available nutrient contents of tobacco-growing soil. With the increase of organic fertilizer application amount, the contents of soil particulate organic matter, water-soluble organic carbon, microbial biomass carbon and nitrogen and light organic matter showed increasing trend, which organic matter content increased by 7%~28%, available potassium content increased by 10%~61%, microbial biomass carbon increased by 14%~20% and microbial biomass nitrogen increased more than 24%. The ACE indexes of bacteria and fungi in tobacco-planting soil were increased with the application of organic fertilizer. And the relative abundances of beneficial bacteria such as Proteobacteria, Basidiomycetes, Cladosporium and Pseudomonas in soil were increased obviously. The relative abundances of Bryobacter and Haliangium decreased significantly, and were negatively correlated with active organic matter. In conclusion, the application of organic fertilizer stimulated the growth and propagation of soil microbial community, increased the active organic matter component of tobacco planting soil, and improved soil physical and chemical properties.

Key words: organic fertilizer, organic matter, microbial, physical and chemical properties, community structure

摘要:

为进一步明确有机肥增施对植烟土壤微生态环境的影响及其内在相互作用,通过田间试验,在常规化学肥料基础上分别增施0、3 000、6 000和12 000 kg·hm-2有机肥,研究其对土壤有机质组分、理化性质及微生物群落特征的影响。结果表明,增施有机肥显著提升了植烟土壤pH及有机质和速效养分含量;随着有机肥施入量的增加,土壤颗粒有机质、水溶性有机碳、微生物量碳氮及轻组有机质含量均呈现增加趋势,其中有机质含量提升7%~28%,速效钾含量提升10%~61%,微生物量碳提升14%~20%,微生物量氮提升24%以上。增施有机肥处理提高植烟土壤细菌与真菌的ACE指数,土壤中变形菌门、担子菌门、枝顶孢霉属、假单胞菌属等有益菌群的丰度明显增加;BryobacterHaliangium等菌群丰度明显降低,且其丰度与土壤活性有机质含量呈负相关。综上所述,增施有机肥刺激了土壤有益微生物菌群的生长和繁殖,提高了植烟土壤活性有机质组分含量,改善了土壤理化性状。

关键词: 有机肥, 有机质, 微生物, 理化性质, 群落结构

CLC Number: