Journal of Agricultural Science and Technology ›› 2023, Vol. 25 ›› Issue (6): 97-106.DOI: 10.13304/j.nykjdb.2022.0633
• INTELLIGENT AGRICULTURE & AGRICULTURAL MACHINERY • Previous Articles Next Articles
Wei ZHAO(), Rui MA, Jia WANG, Hongjie GUO, Jinpu XU(
)
Received:
2022-07-29
Accepted:
2022-10-24
Online:
2023-06-15
Published:
2023-07-28
Contact:
Jinpu XU
通讯作者:
许金普
作者简介:
赵威 E-mail:1981960020@qq.com;
基金资助:
CLC Number:
Wei ZHAO, Rui MA, Jia WANG, Hongjie GUO, Jinpu XU. Classification and Identification of Corn Varieties Based on Ear Image[J]. Journal of Agricultural Science and Technology, 2023, 25(6): 97-106.
赵威, 马睿, 王佳, 郭宏杰, 许金普. 基于果穗图像的玉米品种分类识别[J]. 中国农业科技导报, 2023, 25(6): 97-106.
Add to citation manager EndNote|Ris|BibTeX
URL: https://nkdb.magtechjournal.com/EN/10.13304/j.nykjdb.2022.0633
类别 Category | 训练集 Training set | 验证集 Validation set | 测试集 Test set | 总计 Total | 训练集增强后总计 Training set enhanced total |
---|---|---|---|---|---|
锦玉118 Jinyu 118 | 140 | 40 | 20 | 200 | 980 |
科诺58 Kenuo 58 | 140 | 40 | 20 | 200 | 980 |
立原296 Liyuan 296 | 140 | 40 | 20 | 200 | 980 |
铁研630 Tieyan 630 | 140 | 40 | 20 | 200 | 980 |
荟玉18 Huiyu 18 | 140 | 40 | 20 | 200 | 980 |
Table 1 Corn ear dataset
类别 Category | 训练集 Training set | 验证集 Validation set | 测试集 Test set | 总计 Total | 训练集增强后总计 Training set enhanced total |
---|---|---|---|---|---|
锦玉118 Jinyu 118 | 140 | 40 | 20 | 200 | 980 |
科诺58 Kenuo 58 | 140 | 40 | 20 | 200 | 980 |
立原296 Liyuan 296 | 140 | 40 | 20 | 200 | 980 |
铁研630 Tieyan 630 | 140 | 40 | 20 | 200 | 980 |
荟玉18 Huiyu 18 | 140 | 40 | 20 | 200 | 980 |
模型Model | NASNet-mobile | Xception | ResNet50V2 | MobileNetV2 | DenseNet121 | VGG16 |
---|---|---|---|---|---|---|
测试准确率 Test accuracy | 0.90 | 0.88 | 0.80 | 0.88 | 0.89 | 0.83 |
Table 2 Baseline test accuracy of network models
模型Model | NASNet-mobile | Xception | ResNet50V2 | MobileNetV2 | DenseNet121 | VGG16 |
---|---|---|---|---|---|---|
测试准确率 Test accuracy | 0.90 | 0.88 | 0.80 | 0.88 | 0.89 | 0.83 |
指标 Index | 基线 Benchmark | Batch_size:32 | Batch_size:64 | ||||||||||
---|---|---|---|---|---|---|---|---|---|---|---|---|---|
T=1 D=256 | T=2 D=256 | T=3 D=256 | T=1 D=512 | T=2 D=512 | T=3 D=512 | T=1 D=256 | T=2 D=256 | T=3 D=256 | T=1 D=512 | T=2 D=512 | T=3 D=512 | ||
精准率Precision | 0.908 7 | 0.923 1 | 0.956 1 | 0.907 9 | 0.916 8 | 0.909 4 | 0.928 2 | 0.912 5 | 0.920 2 | 0.925 9 | 0.918 5 | 0.874 1 | 0.923 0 |
召回率Recall | 0.900 0 | 0.920 0 | 0.950 0 | 0.890 0 | 0.890 0 | 0.860 0 | 0.920 0 | 0.910 0 | 0.910 0 | 0.910 0 | 0.880 0 | 0.830 0 | 0.920 0 |
调和平均值F1-score | 0.901 4 | 0.921 5 | 0.950 5 | 0.893 4 | 0.892 1 | 0.863 6 | 0.920 5 | 0.910 6 | 0.909 7 | 0.912 1 | 0.883 4 | 0.834 8 | 0.920 4 |
准确率Accuracy | 0.900 0 | 0.920 0 | 0.950 0 | 0.890 0 | 0.890 0 | 0.860 0 | 0.920 0 | 0.910 0 | 0.910 0 | 0.910 0 | 0.880 0 | 0.830 0 | 0.920 0 |
Table 3 Model performance evaluation under different full connection layer modules
指标 Index | 基线 Benchmark | Batch_size:32 | Batch_size:64 | ||||||||||
---|---|---|---|---|---|---|---|---|---|---|---|---|---|
T=1 D=256 | T=2 D=256 | T=3 D=256 | T=1 D=512 | T=2 D=512 | T=3 D=512 | T=1 D=256 | T=2 D=256 | T=3 D=256 | T=1 D=512 | T=2 D=512 | T=3 D=512 | ||
精准率Precision | 0.908 7 | 0.923 1 | 0.956 1 | 0.907 9 | 0.916 8 | 0.909 4 | 0.928 2 | 0.912 5 | 0.920 2 | 0.925 9 | 0.918 5 | 0.874 1 | 0.923 0 |
召回率Recall | 0.900 0 | 0.920 0 | 0.950 0 | 0.890 0 | 0.890 0 | 0.860 0 | 0.920 0 | 0.910 0 | 0.910 0 | 0.910 0 | 0.880 0 | 0.830 0 | 0.920 0 |
调和平均值F1-score | 0.901 4 | 0.921 5 | 0.950 5 | 0.893 4 | 0.892 1 | 0.863 6 | 0.920 5 | 0.910 6 | 0.909 7 | 0.912 1 | 0.883 4 | 0.834 8 | 0.920 4 |
准确率Accuracy | 0.900 0 | 0.920 0 | 0.950 0 | 0.890 0 | 0.890 0 | 0.860 0 | 0.920 0 | 0.910 0 | 0.910 0 | 0.910 0 | 0.880 0 | 0.830 0 | 0.920 0 |
指标index | 荟玉18 Huiyu 18 | 锦玉118 Jinyu 118 | 科诺58 Kenuo 58 | 立原296 Liyuan 296 | 铁研630 Tieyan 630 | 平均Mean |
---|---|---|---|---|---|---|
精准率Precision | 0.947 3 | 0.833 3 | 1.000 0 | 1.000 0 | 1.000 0 | 0.956 1 |
召回率Recall | 0.900 0 | 1.000 0 | 0.900 0 | 0.950 0 | 1.000 0 | 0.950 0 |
调和平均值F1-score | 0.923 0 | 0.909 0 | 0.947 3 | 0.974 3 | 1.000 0 | 0.950 7 |
准确率Accuracy | 0.900 0 | 1.000 0 | 0.900 0 | 0.950 0 | 1.000 0 | 0.950 0 |
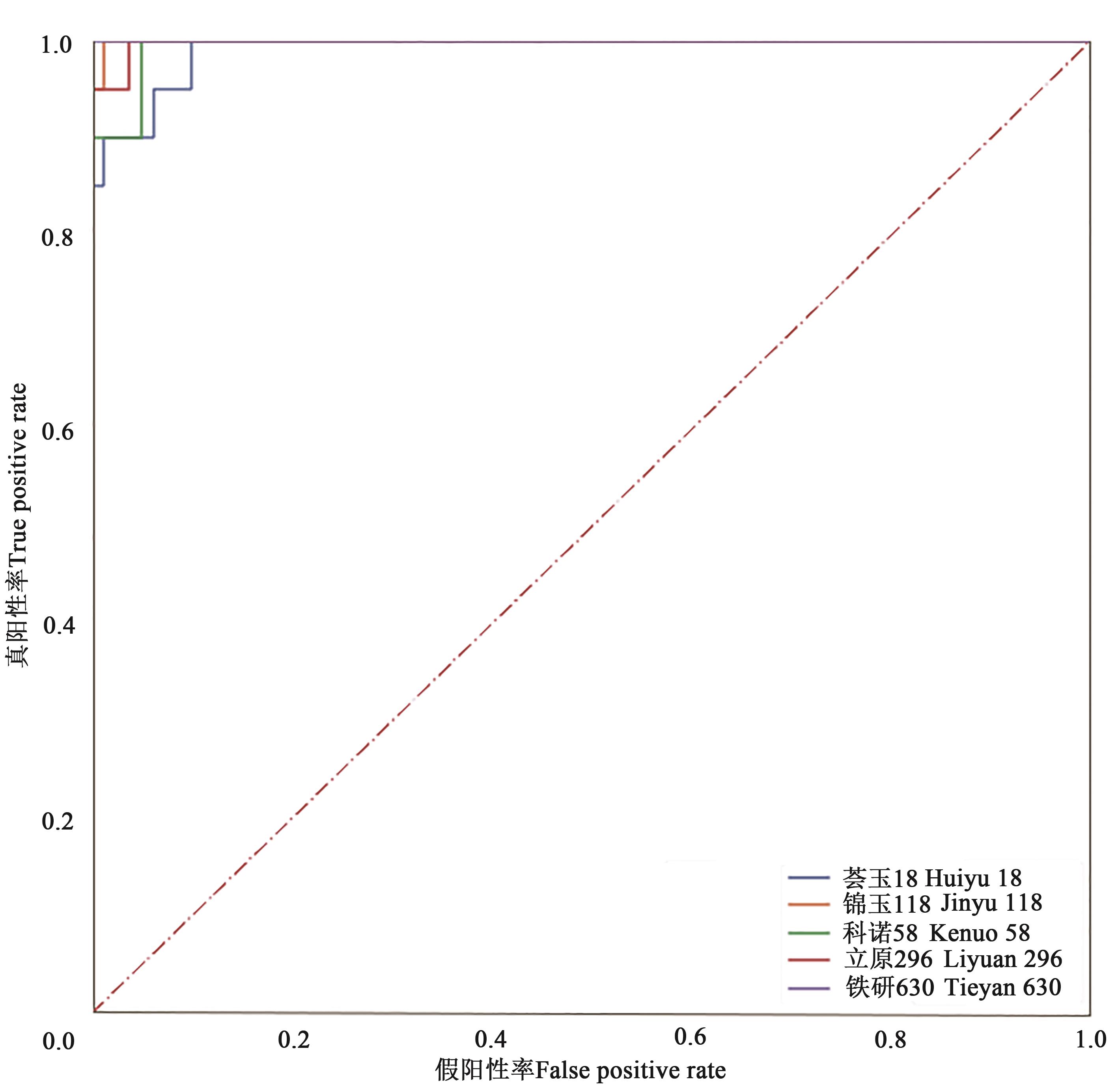
Table 4 Evaluation indexes of ear test results of different varieties of maize under NASNet-mobile-maize model
指标index | 荟玉18 Huiyu 18 | 锦玉118 Jinyu 118 | 科诺58 Kenuo 58 | 立原296 Liyuan 296 | 铁研630 Tieyan 630 | 平均Mean |
---|---|---|---|---|---|---|
精准率Precision | 0.947 3 | 0.833 3 | 1.000 0 | 1.000 0 | 1.000 0 | 0.956 1 |
召回率Recall | 0.900 0 | 1.000 0 | 0.900 0 | 0.950 0 | 1.000 0 | 0.950 0 |
调和平均值F1-score | 0.923 0 | 0.909 0 | 0.947 3 | 0.974 3 | 1.000 0 | 0.950 7 |
准确率Accuracy | 0.900 0 | 1.000 0 | 0.900 0 | 0.950 0 | 1.000 0 | 0.950 0 |
1 | 闫彬,杨福增,郭文川.基于机器视觉技术检测裂纹玉米种子[J].农机化研究,2020,42(5):181-185, 235. |
YAN B, YANG F Z, GUO W C. Detection of cracked corn seeds based on machine vision technology [J]. Agric. Mech. Res., 2020, 42(5):181-185, 235. | |
2 | 吕梦棋,张芮祥,贾浩.基于改进ResNet玉米种子分类方法研究[J].中国农机化学报,2021,42(4):92-98. |
LYU M Q, ZHANG R X, JIA H. Research on classification based on improved ResNet [J]. J. Chin. Agric. Mech., 2021, 42(4):92-98. | |
3 | 徐云碧,王冰冰,张健,等.应用分子标记技术改进作物品种保护和监管[J].作物学报,2022,48(8):1853-1870. |
XU Y B, WANG B B, ZHANG J, et al.. Using molecular marker technology to improve the protection and supervision of judgment characteristics [J]. Acta Agron. Sin., 2022, 48(8):1853-1870. | |
4 | 冯瑞杰,陈争光,衣淑娟.基于贝叶斯优化的SVM玉米品种鉴别研究[J].光谱学与光谱分析,2022,42(6):1698-1703. |
FENG R J, CHEN Z G, YI S J. Study on SVM standard shujuan based on Bayesian optimization [J]. Spectrosc. Spect. Anal., 2022, 42(6):1698-1703. | |
5 | 阳灵燕,张红燕,陈玉峰,等.机器学习在农作物品种识别中的应用研究进展[J].中国农学通报,2020,36(30):158-164. |
YANG L Y, ZHANG H Y, CHEN Y F, et al.. Bulletin on the application of machine learning in agronomic judgment in agronomic judgment [J]. Chin. Agric. Sci. Bull., 2020, 36(30):158-164. | |
6 | 李浩光,李卫军,覃鸿,等.基于栈式自编码神经网络的包衣单籽粒玉米品种识别[J].农业机械学报,2017,48():422-428. |
LI H G, LI W J, QIN H, et al.. Characteristic recognition of single-grain coated grains based on stacked Zihong neural network [J]. Trans. Chin. Soc. Agric. Mach., 2017, 48(S1):422-428. | |
7 | 马睿,王佳,赵威,等.基于卷积神经网络与迁移学习的玉米籽粒图像分类识别[J].中国粮油学报,2023,38(5):128-134. |
MA R, WANG J, ZHAO W, et al.. Classification and recognition of corn kernel image based on convolutional neural network and transfer learning [J]. J. Chin. Cereals Oils Assoc., 2023, 38(5):128-134. | |
8 | 冯晓,张辉,周蕊,等.基于深度学习和籽粒双面特征的玉米品种识别[J].系统仿真学报,2021,33(12):2983-2991. |
FENG X, ZHANG H, ZHOU R, et al.. Characteristics based on deep learning and double-sided features of grains [J]. J. Sys. Sim., 2021, 33(12):2983-2991. | |
9 | 刘林.基于深度学习的玉米籽粒品种识别[D].青岛:山东科技大学,2020. |
LIU L. Identification of corn kernel characteristics based on in-depth research [D]. Qingdao: Shandong University of Science and Technology, 2020. | |
10 | TU K, WEN S, CHENG Y, et al.. A non-destructive and highly efficient model for detecting the genuineness of maize variety ‘JINGKE 968’ using machine vision combined with deep learning [J/OL]. Computers Electronics Agric., 2021, 182:106002 [2022-06-12]. . |
11 | 胡艳侠.基于机器视觉的玉米果穗品质检测方法研究[D].西安:长安大学,2017. |
HU Y X.Research on corn ear quality detection method based on machine vision [D]. Xi’an: Chang’an University, 2017. | |
12 | 马钦,张佳婧,刘哲,等.基于双路卷积神经网络的玉米制种果穗筛分方法及装置:CN110766053A[P]. 2020-02-07. |
13 | ZOPH B, VASUDEVAN V, SHLENS J, et al.. Learning transferable architectures for scalable image recognition[C]//Proceedings of the IEEE conference on computer vision and pattern recognition, 2018:8697-8710. |
14 | 黄家才,舒奇,朱晓春,等.基于迁移学习的机器人视觉识别与分拣策略[J].计算机工程与应用,2019,55(8) :232-237. |
HUANG J C, SHU Q, ZHU X C, et al.. Robot vision recognition and sorting strategy based on transfer learning [J].Comput. Eng. Appl., 2019, 55(8):232-237. | |
15 | 石祥滨,房雪键,张德园,等.基于深度学习混合模型迁移学习的图像分类[J].系统仿真学报,2016,28(1): 167-173, 182. |
SHI X B, FANG X J, ZHANG D Y, et al.. Image classification based on mixed deep learning model transfer learning [J]. J. Sys. Sim., 2016, 28(1):167-173, 182. | |
16 | 王佳,马睿,马德新.基于深度学习的登海605玉米品种真伪鉴别方法研究[J].中国粮油学报,2023, 38(3): 151-157. |
WANG J, MA R, MA D X. Identification method of Denghai 605 maize varieties based on deep learning [J]. J. Chin. Cereals Oils Assoc., 2023, 38(3): 151-157. | |
17 | CHOLLET F. Xception: deep learning with depthwise separable convolutions [C]// Proceedings of 2017 IEEE Conference on Computer Vision and Pattern Recognition. Honolulu, USA: IEEE, 2017:1800-1807. |
18 | HE K M, ZHANG X Y, REN S Q, et al.. Deep residual learning for image recognition[C]//Proceedings of 2016 IEEE Conference on Computer Vision and Pattern Recognition. Las Vegas, NV, USA: IEEE, 2016:770-778. |
19 | SANDLER M, HOWARD A, ZHU M, et al.. MoblieNetV2: inverted residual and linear bottlenecks [C]// Proceedings of 2018 IEEE/CVF Conference on Computer Vision and Pattern Recognition. Salt Lake City, USA: IEEE, 2018:4510-4520. |
20 | HUANG G, LIU Z, LAURENS V, et al.. Densely connected convolution networks [C]// Proceedings 2017 IEEE Conference on Computer Vision and Pattern Recognition (CVPR). Honolulu, USA: IEEE, 2017:2261-2269. |
21 | SIMONYAN K, ZISSERMAN A. Very deep convolutional networks for large-scale image recognition [J/OL]. Computer Sci., 2014, arXiv:1409.1556 [2022-06-12]. . |
22 | 杨昊岩,栾涛,韩仲志,等.基于深度学习声谱图分类的“听声识风”[J].华南师范大学学报(自然科学版),2021,53(5):10-16. |
YANG H Y, LUAN T, HAN Z Z, et al.. “Listening to sound and knowing wind” based on deep learning spectrogram classification [J]. J. South China Norm. Univ. (Nat. Sci.), 2021, 53(5):10-16. | |
23 | 徐岩,刘林,李中远,等.基于卷积神经网络的玉米品种识别[J].江苏农业学报,2020,36(1):18-23. |
XU Y, LIU L, LI Z Y, et al.. Recognition of corn varieties based on convolutional neural network [J]. Jiangsu J. Agric. Sci., 2020, 36(1):18-23. | |
24 | 许景辉,邵明烨,王一琛,等.基于迁移学习的卷积神经网络玉米病害图像识别[J].农业机械学报,2020,51(2):230-236, 253. |
XU J H, SHAO M Y, WANG Y C, et al.. Image recognition of corn diseases based on convolutional neural network based on transfer learning [J]. Trans. Chin. Soc. Agric. Mach., 2020, 51(2):230-236, 253. |
[1] | Zheng WU, Hongyun YANG, Aizhen SUN, Jie KONG, Shumei HUANG. Diagnosis of Potassium Nutrition in Rice Based on CA_MobileViT Model [J]. Journal of Agricultural Science and Technology, 2025, 27(8): 80-88. |
[2] | Lintao CHEN, Zhaoxiang LIU, Ying LAN, Xiangwei MOU, Xu MA, Rijun WANG. Research on Rice Variety Identification Based on Hyperspectral Technology and Principal Component Analysis [J]. Journal of Agricultural Science and Technology, 2025, 27(3): 104-111. |
[3] | Mingkang PENG, Yu CUI, Qiyuan XUE, Yunzhen YIN, Zhe YIN, Wuping ZHANG, Fuzhong LI. Weed Identification and Location for Crop at Seedling Stage Based on Enhancing and Fine-tuning Weather Data [J]. Journal of Agricultural Science and Technology, 2024, 26(10): 125-134. |
[4] | Zheng QIAN, Sunzhe YANG, Guoqing ZHANG, Ziwei GUO, Linpeng ZHANG, Jiaxing WAN, Hongyun YANG. Rice Nitrogen Nutrition Diagnosis Based on Convolutional Neural Network [J]. Journal of Agricultural Science and Technology, 2023, 25(9): 113-121. |
[5] | Kaiyan LIN, Fei MEI, Junhui WU, Wengang GUO, Jie CHEN, Huiping SI. Design and Research of Crop Disease Monitoring Service Platform Based on Computer Vision [J]. Journal of Agricultural Science and Technology, 2023, 25(6): 89-96. |
[6] | Yantong ZHANG, Qianmin SU. Image Recognition of Corn Disease Based on Transfer Learning [J]. Journal of Agricultural Science and Technology, 2023, 25(10): 119-125. |
[7] | WANG Jinghui, CHENG Jiaojiao, LIU Yang, CHANG Jiale, WANG Zhaohui. Identification of Rice Variety Based on Hyperspectral Imaging Technology [J]. Journal of Agricultural Science and Technology, 2021, 23(9): 121-128. |
[8] | LUO Lisha, LIAO Guiping, LIU Fan, GUAN Chunyun. Rape Variety Identification Based on Canopy Spectral Parameters [J]. Journal of Agricultural Science and Technology, 2021, 23(7): 93-106. |
[9] | ZHANG Da-long, ZHAO Wu-yun*, YANG Wan-xia, JIANG Wu-yang. Design of Monitoring System for Corn Ear Drying Based on Kingview [J]. , 2013, 15(2): 115-119. |
Viewed | ||||||
Full text |
|
|||||
Abstract |
|
|||||