Journal of Agricultural Science and Technology ›› 2025, Vol. 27 ›› Issue (8): 80-88.DOI: 10.13304/j.nykjdb.2024.0146
• INTELLIGENT AGRICULTURE & AGRICULTURAL MACHINERY • Previous Articles Next Articles
Zheng WU1(), Hongyun YANG2(
), Aizhen SUN1, Jie KONG2, Shumei HUANG2
Received:
2024-03-01
Accepted:
2024-07-25
Online:
2025-08-15
Published:
2025-08-26
Contact:
Hongyun YANG
吴正1(), 杨红云2(
), 孙爱珍1, 孔杰2, 黄淑梅2
通讯作者:
杨红云
作者简介:
吴正 E-mail: 237525090@qq.com;
基金资助:
CLC Number:
Zheng WU, Hongyun YANG, Aizhen SUN, Jie KONG, Shumei HUANG. Diagnosis of Potassium Nutrition in Rice Based on CA_MobileViT Model[J]. Journal of Agricultural Science and Technology, 2025, 27(8): 80-88.
吴正, 杨红云, 孙爱珍, 孔杰, 黄淑梅. 基于CA_MobileViT模型的水稻钾素营养诊断研究[J]. 中国农业科技导报, 2025, 27(8): 80-88.
Add to citation manager EndNote|Ris|BibTeX
URL: https://nkdb.magtechjournal.com/EN/10.13304/j.nykjdb.2024.0146
FIG. 1 MobileViT flowA:Overall architecture of MobileViT;B:MobileViTBlock structure;P represents the pixels in the patch; N is the number of patches; d represents the processed feature dimension; H and W represent the height and width of the feature map or input image, respectively
模型 Model | 优化器 Optimizer | 学习率 Learning rate | 总参数 Total parameters | 轮次时间 Epoch time/s |
---|---|---|---|---|
EfficientNet-V2 | SGD | 0.010 0~0.000 1 | 20 182 612 | 276 |
ConvNeXt | AdamW | 0.010 0~0.000 2 | 27 816 580 | 289 |
MobileViT | AdamW | 0.010 0~0.000 2 | 5 578 632 | 198 |
CA_MobileViT | AdamW | 0.010 0~0.000 2 | 5 643 988 | 203 |
Table 1 Hyperparameter Settings of the model and the number of model parameters
模型 Model | 优化器 Optimizer | 学习率 Learning rate | 总参数 Total parameters | 轮次时间 Epoch time/s |
---|---|---|---|---|
EfficientNet-V2 | SGD | 0.010 0~0.000 1 | 20 182 612 | 276 |
ConvNeXt | AdamW | 0.010 0~0.000 2 | 27 816 580 | 289 |
MobileViT | AdamW | 0.010 0~0.000 2 | 5 578 632 | 198 |
CA_MobileViT | AdamW | 0.010 0~0.000 2 | 5 643 988 | 203 |
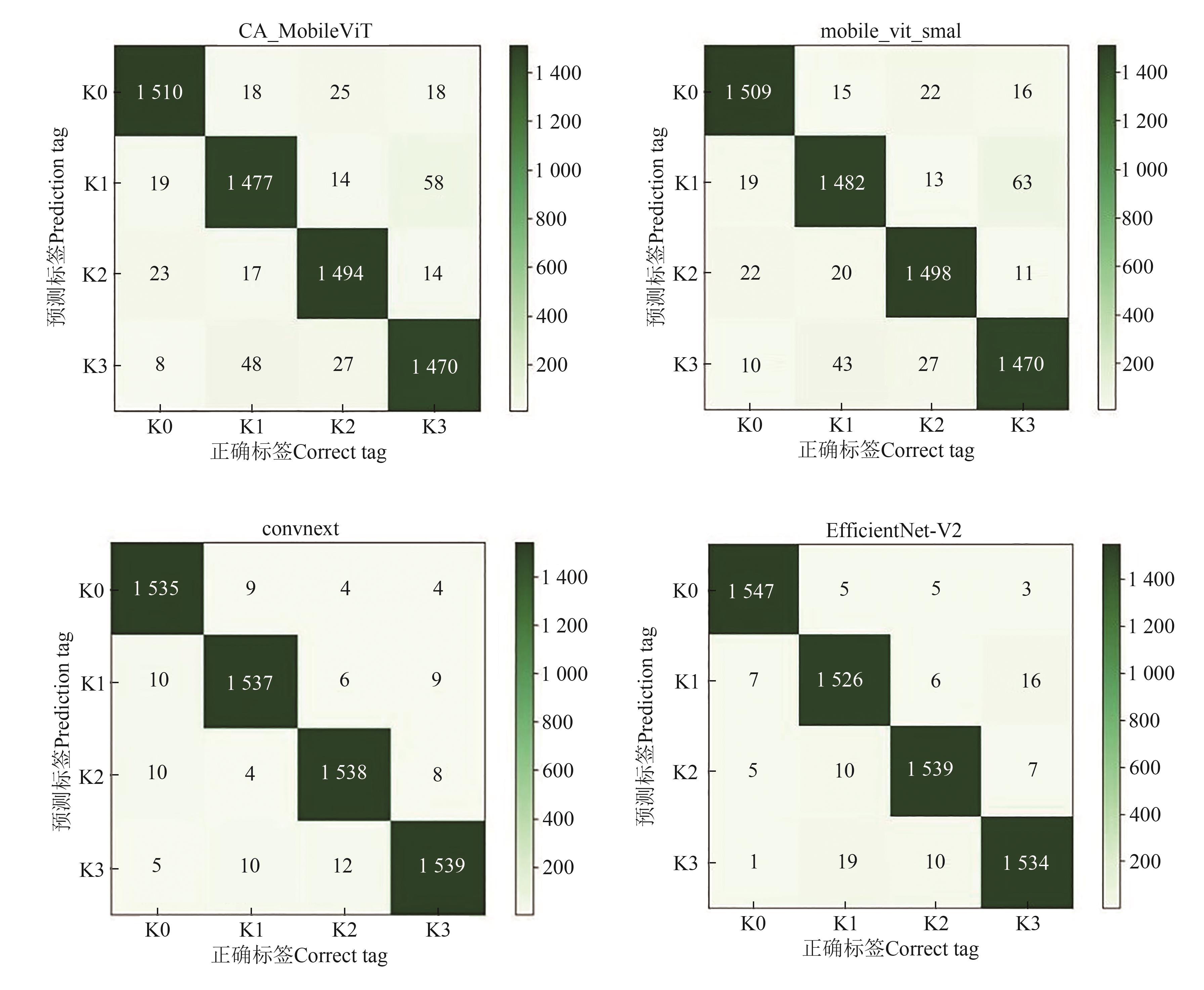
模型 Model | 准确率 Accuracy/% | 精度 Precision/% | 召回率 Recall/% | 特异性 | F1分数 F1-score |
---|---|---|---|---|---|
EfficientNet-V2 | 98.4 | 98.5 | 98.5 | 99.5 | 0.985 |
ConvNeXt | 98.5 | 98.5 | 98.5 | 99.5 | 0.985 |
MobileViT | 94.2 | 94.4 | 94.2 | 98.0 | 0.942 |
CA_MobileViT | 95.3 | 95.3 | 95.3 | 98.4 | 0.952 |
Table 2 Comparison of model evaluation indicators
模型 Model | 准确率 Accuracy/% | 精度 Precision/% | 召回率 Recall/% | 特异性 | F1分数 F1-score |
---|---|---|---|---|---|
EfficientNet-V2 | 98.4 | 98.5 | 98.5 | 99.5 | 0.985 |
ConvNeXt | 98.5 | 98.5 | 98.5 | 99.5 | 0.985 |
MobileViT | 94.2 | 94.4 | 94.2 | 98.0 | 0.942 |
CA_MobileViT | 95.3 | 95.3 | 95.3 | 98.4 | 0.952 |
[1] | 赵鹏姝,杨顺瑛,郝东利,等.水稻钾素营养的基因型特征及分子机制初探[J].土壤,2021,53(1):37-46. |
ZHAO P S, YANG S Y, HAO D L, et al.. Genotypic characteristics and molecular mechanism of potassium nutrition in rice [J]. Soils, 2021,53(1):37-46. | |
[2] | 朱向东,王宏庭.土壤钾素管理研究进展[J].山西农业科学,2013,41(11):1274-1281. |
ZHU X D, WANG H T. Research progress of soil potassium management [J]. Shanxi Agric. Sci., 2013,41(11): 1274-1281. | |
[3] | 王绍华,曹卫星,王强盛,等.水稻叶色分布特点与氮素营养诊断[J].中国农业科学,2002,35(12):1461-1466. |
WANG S H, CAO W X, WANG Q S, et al.. Positional distribution of leaf color and diagnosis of nitrogen nutrition in rice plant [J]. Sci. Agric. Sin., 2002,35(12):1461-1466. | |
[4] | 罗建军.基于计算机视觉技术与高光谱技术的水稻氮素营养诊断研究[D].南昌:江西农业大学,2021. |
LUO J J. Nitrogen nutrition diagnosis of rice basedon Computer vision and Hyperspectral technology [D]. Nanchang: Jiangxi Agricultural University,2021. | |
[5] | FANG S D, WANG Y F, ZHOU G X, et al.. Multi-channel feature fusion networks with hard coordinate attention mechanism for maize disease identification under complex backgrounds [J/OL]. Comput. Electron. Agric., 2022,203:107486 [2024-11-12]. . |
[6] | ESPEJO-GARCIA B, MALOUNAS I, MYLONAS N, et al.. Using efficientNet and transfer learning for image-based diagnosis of nutrient deficiencies [J/OL].Comput.Electron.Agric., 2022,196:106868 [2024-11-12]. . |
[7] | BEVERS N, SIKORA E J, HARDY N B. Soybean disease identification using original field images and transfer learning with convolutional neural networks [J/OL]. Comput. Electron.Agric., 2022,203:107449 [2024-11-12]. . |
[8] | AZGOMI H, HAREDASHT F R, SAFARI MOTLAGH M R. Diagnosis of some apple fruit diseases by using image processing and artificial neural network [J/OL]. Food Contr., 2023,145:109484 [2024-11-12]. . |
[9] | 周琼,杨红云,杨珺,等.基于BP神经网络和概率神经网络的水稻图像氮素营养诊断[J].植物营养与肥料学报,2019,25(1):134-141. |
ZHOU Q, YANG H Y, YANG J, et al.. Feasibility study of BP neural network and probabilistic neural network for nitrogen nutrition diagnosis of rice images [J]. J. Plant Nutr. Fertil., 2019,25(1):134-141. | |
[10] | 杨红云,郭紫微,郭高飞,等.基于Stacking集成卷积神经网络的水稻氮素营养诊断[J].植物营养与肥料学报,2023,29(3):573-581. |
YANG H Y, GUO Z W, GUO G F, et al.. Rice nitrogen nutrition diagnosis based on stacking integrated convolutional neural network [J]. J. Plant Nutr. Fertil., 2023,29(3):573-581. | |
[11] | YU S, XIE L, HUANG Q L. Inception convolutional vision transformers for plant disease identification [J/OL]. Internet Things,2023,21:100650 [2024-11-12]. . |
[12] | THAI H T, LE K H, NGUYEN N L T. FormerLeaf: an efficient vision transformer for Cassava Leaf Disease detection [J/OL]. Comput. Electron. Agric., 2023,204: 107518 [2024-11-12]. . |
[13] | DHAR P. The carbon impact of artificial intelligence [J]. Nat. Mach. intell., 2020, 2:423-425. |
[14] | LI S, SONG W F, QIN H, et al.. Deep variance network:an iterative,improved CNN framework for unbalanced training datasets [J/OL]. Pattern Recognit., 2018,81:294-308. |
[15] | 朱劲松,李欢,王世芳.基于卷积神经网络和迁移学习的钢桥病害识别[J].长安大学学报(自然科学版),2021,41(3):52-63. |
ZHU J S, LI H, WANG S F. Defect recognition for steel bridge based on convolutional neural network and transfer learning [J].J. Chang’an Univ. (Nat.Sci.), 2021,41(3):52-63. | |
[16] | CHOLLET F. Xception: Deep learning with depthwise separable convolutions [EB/OL]. (2017-04-04) [2024-10-16]. . |
[17] | LIU Z, MAO H Z, WU C Y, et al.. A convnet for the 2020s [C]// Proceedings of 2022 IEEE/CVF Conference on Computer Vision and Pattern Recognition (CVPR).IEEE, 2022:11966-11976. |
[18] | LIU X N, QI J T, ZHANG W R, et al.. Recognition method of maize crop rows at the seedling stage based on MS-ERFNet model [J/OL]. Comput. Electron. Agric., 2023, 211:107964 [2024-11-12]. . |
[19] | SINGH A, GANAPATHYSUBRAMANIAN B, SINGH A K, et al.. Machine learning for high-throughput stress phenotyping in plants [J]. Trends Plant Sci., 2016,21(2):110-124. |
[20] | YE Y B. An improved efficientnetv2 model based on visual attention mechanism: Application to identification of cassava disease [J/OL]. Comput. Intell. Neurosci., 2022, 1:1569911 [2024-11-12]. . |
[21] | CHEN S, ZOU X J, ZHOU X Z, et al.. Study on fusion clustering and improved YOLOv5 algorithm based on multiple occlusion of Camellia oleifera fruit [J/OL]. Comput. Electron. Agric., 2023,206:107706. . |
[22] | YANG Y, ZHANG L, REN L, et al.. MMViT-Seg:a lightweight transformer and CNN fusion network for COVID-19 segmentation [J/OL]. Comput. Meth. Programs Biomed., 2023, 230:107348 [2024-11-12]. . |
[23] | 徐明岗,李冬初,李菊梅,等.化肥有机肥配施对水稻养分吸收和产量的影响[J].中国农业科学, 2008,(10):3133-3139. |
XU M G, LI D C, LI J M, et al.. Effects of organic manure application combined with chemical fertilizers on nutrients absorption and yield of rice in Hunan of China [J]. Scientia Agric. Sin., 2008,(10):3133-3139. |
[1] | Jianfeng ZHANG, Wenfeng HOU, Yongqing WU, Kaixu LI, Xiaokun LI. Effects of Nitrogen Fertilizer and Density Interactions on Occurrence of Diseases and Insect Pests and Grain Yield of Rice [J]. Journal of Agricultural Science and Technology, 2025, 27(9): 145-154. |
[2] | Zhien LIU, Yong HE, Zhicheng WANG, Xiaokang ZHAN, Tingbao WANG, Yaowei LIU, Zhihong TIAN. Identification and Bioinformatics Analysis of Growth Regulating Factor GRF Gene Family in Rice [J]. Journal of Agricultural Science and Technology, 2025, 27(8): 18-27. |
[3] | Lihua SHAO, Peng LI. Proteome Analysis of Rice Response to Gibberella fujikuroi Infection [J]. Journal of Agricultural Science and Technology, 2025, 27(6): 126-135. |
[4] | Wenting ZHANG, Yang LI, Shi QIU, Guangming LU, Dongshu GUO, Baolong ZHANG, Jinyan WANG. Effects of Badh2 Gene on Rice Quality Based on CRISPR/Cas9 Gene Editing Technology [J]. Journal of Agricultural Science and Technology, 2025, 27(5): 39-48. |
[5] | Yan WU, Leping ZOU, Huijie SONG, Dandan HU, Kailou LIU, Wanli LIANG. Effect of Controlled-release Nitrogen Fertilizer Combined Urea on Ammonium Nitrogen of Surface Water and Early Rice Yield [J]. Journal of Agricultural Science and Technology, 2025, 27(4): 192-200. |
[6] | Lintao CHEN, Zhaoxiang LIU, Ying LAN, Xiangwei MOU, Xu MA, Rijun WANG. Research on Rice Variety Identification Based on Hyperspectral Technology and Principal Component Analysis [J]. Journal of Agricultural Science and Technology, 2025, 27(3): 104-111. |
[7] | Lecheng SHEN, Zhigang WEN, Han LIAO, Xianbiao LIU, Yaocong JIANG, Yuancong ZHANG, Ting LIU, Mei WANG. Effects of Foliar Spraying of Different Selenium Fertilizers on Selenium Content, Selenium Speciation and Components in Rice [J]. Journal of Agricultural Science and Technology, 2025, 27(3): 206-215. |
[8] | Dabing YANG, Liang HU, Xueshu DU, Bingliang WAN, Mingyuan XIA, Huaxiong QI, Jinbo LI. Progress in Creation of Rice Male Sterile Lines by CRISPR/Cas9 Gene Editing Technology [J]. Journal of Agricultural Science and Technology, 2025, 27(3): 24-34. |
[9] | Guoliang ZHONG, Lin WAN, Gang CHE, Hao TANG, Tianqi QU, Qilin ZHANG. Influence of Drying Parameters on Hot Air Drying Rate and Energy Consumption of Rice [J]. Journal of Agricultural Science and Technology, 2025, 27(3): 95-103. |
[10] | Chengliang XIONG, Qingfu ZHANG, Weiyuan YAO, Tao XIA, Qingping XU, Xixin ZHOU, Yi ZHANG, Lijuan CHEN, Liu YANG. Effects of Different Types of Rice Straw Addition on Soil Microbial Communities Under Continuous Tobacco Cropping [J]. Journal of Agricultural Science and Technology, 2025, 27(1): 233-240. |
[11] | Ronghua WEI, Ming YIN, Wensheng WANG, Yanru CUI. Discovering of QTLs and Candidate Genes Related to Rice Heading Period Traits Based on BSA-seq [J]. Journal of Agricultural Science and Technology, 2024, 26(9): 12-24. |
[12] | Liang SUN, Yi XU, Qin CAI, Jinghao GUO, Can ZHAO, Baowei GUO, Zhipeng XING, Zhongyang HUO, Hongcheng ZHANG, Yajie HU. Research Progress on Effects of Medium and Trace Elements on Yield and Quality of Rice [J]. Journal of Agricultural Science and Technology, 2024, 26(8): 9-19. |
[13] | Dawei LIU, Feng QIN, Qian LIAO, Xiushan WANG, Fangping XIE, Tiehui LI. Optimization and Experimental Study of Drying Process Parameters for Rice in Hot-air Drying [J]. Journal of Agricultural Science and Technology, 2024, 26(8): 93-102. |
[14] | Wei YUE, Hui WANG, Xi CHEN, Xinchun ZHAN, Xinmin RUAN. Study on Comprehensive Evaluation Method of Rice Quality in Anhui Province [J]. Journal of Agricultural Science and Technology, 2024, 26(6): 141-147. |
[15] | Jianguang ZENG, Taoli LIU, Linjuan SUN, Dingyang YUAN, Yubo HUANG, Chenzhong JIN, Yanning TAN. Analysis of Character and GibberellinSensitivity of Rice Dwarfism and Late-Heading Mutant d534 [J]. Journal of Agricultural Science and Technology, 2024, 26(3): 7-14. |
Viewed | ||||||
Full text |
|
|||||
Abstract |
|
|||||