Journal of Agricultural Science and Technology ›› 2023, Vol. 25 ›› Issue (1): 223-233.DOI: 10.13304/j.nykjdb.2022.0475
• MARINE AGRICULTURE & FRESHWATER FISHERIES • Previous Articles
Xin FANG1(), He HUANG1(
), Xuewei ZHOU2(
)
Received:
2022-06-06
Accepted:
2022-08-20
Online:
2023-01-15
Published:
2023-04-17
Contact:
He HUANG,Xuewei ZHOU
通讯作者:
黄和,周雪巍
作者简介:
方昕 E-mail:m18545655699@163.com
基金资助:
CLC Number:
Xin FANG, He HUANG, Xuewei ZHOU. Distribution of 14 Trace Elements in Argopecten irradians concentricus from Zhanjiang City and Their Dietary Exposure Assessment[J]. Journal of Agricultural Science and Technology, 2023, 25(1): 223-233.
方昕, 黄和, 周雪巍. 湛江市养殖墨西哥湾扇贝中14种微量元素的分布特征及其膳食暴露评估[J]. 中国农业科技导报, 2023, 25(1): 223-233.
Add to citation manager EndNote|Ris|BibTeX
URL: https://nkdb.magtechjournal.com/EN/10.13304/j.nykjdb.2022.0475
元素 Element | 养殖区Aquaculture area | 总计 Total | ||||||
---|---|---|---|---|---|---|---|---|
S1 | S2 | S3 | S4 | S5 | S6 | |||
必需微量元素 Essential trace element | Cu | 5.67±0.09 c | 7.18±0.83 ab | 7.40±0.97 ab | 5.63±0.24 c | 6.35±0.15 bc | 7.75±0.55 a | 6.66±0.91 |
Ni | 1.01±0.07 c | 2.63±0.81 ab | 3.05±0.59 a | 1.62±0.03 bc | 2.48±0.48 ab | 2.44±0.16 ab | 2.21±0.75 | |
V | 4.19±0.24 c | 9.58±1.88 b | 16.65±1.36 a | 8.60±0.51 b | 11.48±2.71 b | 9.06±0.75 b | 9.93±4.08 | |
Co | 3.93±0.30 c | 4.85±0.38 b | 7.52±0.58 a | 4.08±0.08 bc | 4.50±0.26 bc | 7.22±0.30 a | 5.35±1.60 | |
Zn | 143.84±7.18 d | 147.68±10.84 d | 207.87±17.48 c | 191.92±5.91 c | 246.11±5.95 b | 401.91±15.86 a | 223.22±95.58 | |
Fe | 411.77±25.13 d | 963.80±233.94 bc | 1 535.89±213.04 a | 720.91±20.38 cd | 1 251.03±382.91 ab | 727.08±87.26 cd | 935.08±406.11 | |
Mn | 1 411.32±146.42 c | 2 192.43±232.41 b | 2 011.70±110.74 b | 1 897.80±8.34 b | 1 429.68±35.99 c | 3 620.82±99.12 a | 2 093.96±811.60 | |
可能对人体有害微量元素Potentially toxic element | As | 9.94 ± 0.25 c | 8.77±0.62 c | 11.57±0.80 b | 9.30±0.29 c | 12.20±0.21 b | 19.28±0.34 a | 11.84±3.87 |
Cd | 5.89±0.44 d | 7.63±0.91 cd | 8.44±1.30 c | 6.22±0.22 d | 13.55±0.65 b | 19.71±0.38 a | 10.24±5.40 | |
Pb | 3.11±0.20 c | 4.74±0.21 a | 3.53±0.66 c | 3.71±0.08 bc | 4.52±0.72 ab | 5.29±0.25 a | 4.15±0.83 | |
Cr | 0.74±0.05 c | 3.49±0.37 a | 3.24±0.53 a | 1.90±0.09 b | 3.01±0.80 a | 3.73±.022 a | 2.69±1.14 | |
其他微量元素 Other trace element | Ba | 1.90±0.16 d | 4.89±1.33 bc | 8.58±1.50 a | 4.31±0.15 cd | 7.28±2.17 ab | 4.90±0.50 bc | 5.31±2.35 |
Ga | 0.30±0.02 d | 0.72±0.16 c | 1.34±0.18 a | 0.67±0.03 cd | 1.15±0.36 ab | 0.84±0.11 bc | 0.84±0.37 | |
Sr | 35.48±3.59 c | 56.36±10.47 b | 51.63±5.23 b | 36.30±1.56 c | 47.44±5.02 bc | 68.81±2.57 a | 49.34±12.64 |
Table 1 Contents of 14 trace elements in whole soft parts of the Argopecten irradians concentricus
元素 Element | 养殖区Aquaculture area | 总计 Total | ||||||
---|---|---|---|---|---|---|---|---|
S1 | S2 | S3 | S4 | S5 | S6 | |||
必需微量元素 Essential trace element | Cu | 5.67±0.09 c | 7.18±0.83 ab | 7.40±0.97 ab | 5.63±0.24 c | 6.35±0.15 bc | 7.75±0.55 a | 6.66±0.91 |
Ni | 1.01±0.07 c | 2.63±0.81 ab | 3.05±0.59 a | 1.62±0.03 bc | 2.48±0.48 ab | 2.44±0.16 ab | 2.21±0.75 | |
V | 4.19±0.24 c | 9.58±1.88 b | 16.65±1.36 a | 8.60±0.51 b | 11.48±2.71 b | 9.06±0.75 b | 9.93±4.08 | |
Co | 3.93±0.30 c | 4.85±0.38 b | 7.52±0.58 a | 4.08±0.08 bc | 4.50±0.26 bc | 7.22±0.30 a | 5.35±1.60 | |
Zn | 143.84±7.18 d | 147.68±10.84 d | 207.87±17.48 c | 191.92±5.91 c | 246.11±5.95 b | 401.91±15.86 a | 223.22±95.58 | |
Fe | 411.77±25.13 d | 963.80±233.94 bc | 1 535.89±213.04 a | 720.91±20.38 cd | 1 251.03±382.91 ab | 727.08±87.26 cd | 935.08±406.11 | |
Mn | 1 411.32±146.42 c | 2 192.43±232.41 b | 2 011.70±110.74 b | 1 897.80±8.34 b | 1 429.68±35.99 c | 3 620.82±99.12 a | 2 093.96±811.60 | |
可能对人体有害微量元素Potentially toxic element | As | 9.94 ± 0.25 c | 8.77±0.62 c | 11.57±0.80 b | 9.30±0.29 c | 12.20±0.21 b | 19.28±0.34 a | 11.84±3.87 |
Cd | 5.89±0.44 d | 7.63±0.91 cd | 8.44±1.30 c | 6.22±0.22 d | 13.55±0.65 b | 19.71±0.38 a | 10.24±5.40 | |
Pb | 3.11±0.20 c | 4.74±0.21 a | 3.53±0.66 c | 3.71±0.08 bc | 4.52±0.72 ab | 5.29±0.25 a | 4.15±0.83 | |
Cr | 0.74±0.05 c | 3.49±0.37 a | 3.24±0.53 a | 1.90±0.09 b | 3.01±0.80 a | 3.73±.022 a | 2.69±1.14 | |
其他微量元素 Other trace element | Ba | 1.90±0.16 d | 4.89±1.33 bc | 8.58±1.50 a | 4.31±0.15 cd | 7.28±2.17 ab | 4.90±0.50 bc | 5.31±2.35 |
Ga | 0.30±0.02 d | 0.72±0.16 c | 1.34±0.18 a | 0.67±0.03 cd | 1.15±0.36 ab | 0.84±0.11 bc | 0.84±0.37 | |
Sr | 35.48±3.59 c | 56.36±10.47 b | 51.63±5.23 b | 36.30±1.56 c | 47.44±5.02 bc | 68.81±2.57 a | 49.34±12.64 |
元素 Element | 养殖区Aquaculture area | 平均值±标准差 Mean±SD | |||||
---|---|---|---|---|---|---|---|
S1 | S2 | S3 | S4 | S5 | S6 | ||
As | 2.16 | 2.28 | 2.43 | 2.20 | 2.11 | 2.13 | 2.22±0.12 |
Cd | 0.05 | 0.06 | 0.06 | 0.06 | 0.06 | 0.08 | 0.06±0.01 |
Pb* | 0.04 | 0.04 | 0.04 | 0.04 | 0.04 | 0.04 | 0.04±0.00 |
Cr | 0.19 | 0.14 | 0.16 | 0.18 | 0.21 | 0.15 | 0.17±0.03 |
Zn | 4.53 | 4.56 | 8.05 | 13.67 | 4.59 | 3.94 | 6.56±3.79 |
Cu* | 0.29 | 0.44 | 0.06 | 0.06 | 0.06 | 0.22 | 0.32±0.11 |
Ni | 0.78 | 0.70 | 0.63 | 1.05 | 0.81 | 0.75 | 0.79±0.14 |
V | 3.36 | 2.51 | 2.87 | 2.71 | 2.97 | 3.24 | 2.94±0.32 |
Co | 0.13 | 0.10 | 0.15 | 0.12 | 0.13 | 0.14 | 0.13±0.02 |
Fe | 2.16 | 1.62 | 1.82 | 3.55 | 2.07 | 1.80 | 2.17±0.70 |
Mn | 0.94 | 0.49 | 0.9 | 0.95 | 0.91 | 0.86 | 0.84±0.18 |
Ba | 7.42 | 6.09 | 6.60 | 6.45 | 6.53 | 9.24 | 7.06±1.16 |
Table 2 Trace elements content of seawater in different aquaculture areas
元素 Element | 养殖区Aquaculture area | 平均值±标准差 Mean±SD | |||||
---|---|---|---|---|---|---|---|
S1 | S2 | S3 | S4 | S5 | S6 | ||
As | 2.16 | 2.28 | 2.43 | 2.20 | 2.11 | 2.13 | 2.22±0.12 |
Cd | 0.05 | 0.06 | 0.06 | 0.06 | 0.06 | 0.08 | 0.06±0.01 |
Pb* | 0.04 | 0.04 | 0.04 | 0.04 | 0.04 | 0.04 | 0.04±0.00 |
Cr | 0.19 | 0.14 | 0.16 | 0.18 | 0.21 | 0.15 | 0.17±0.03 |
Zn | 4.53 | 4.56 | 8.05 | 13.67 | 4.59 | 3.94 | 6.56±3.79 |
Cu* | 0.29 | 0.44 | 0.06 | 0.06 | 0.06 | 0.22 | 0.32±0.11 |
Ni | 0.78 | 0.70 | 0.63 | 1.05 | 0.81 | 0.75 | 0.79±0.14 |
V | 3.36 | 2.51 | 2.87 | 2.71 | 2.97 | 3.24 | 2.94±0.32 |
Co | 0.13 | 0.10 | 0.15 | 0.12 | 0.13 | 0.14 | 0.13±0.02 |
Fe | 2.16 | 1.62 | 1.82 | 3.55 | 2.07 | 1.80 | 2.17±0.70 |
Mn | 0.94 | 0.49 | 0.9 | 0.95 | 0.91 | 0.86 | 0.84±0.18 |
Ba | 7.42 | 6.09 | 6.60 | 6.45 | 6.53 | 9.24 | 7.06±1.16 |
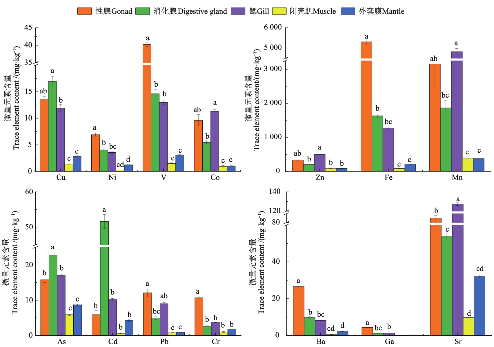
Fig. 2 Contents of trace elements in different tissues of Argopecten irradians concentricusNote: Different lowercase letters in same index indicate significant differences between different tissues at P<0.05 level.
Fig. 3 Contents of trace elements in different tissues of Argopecten irradians concentricusNote: Different lowercase letters in same tissue indicate significant differences between different elements at P < 0.05 level.
元素Element | As | Cd | Pb |
---|---|---|---|
Cd | 0.943* | ||
Pb | 0.626 | 0.798 | |
Cr | 0.494 | 0.631 | 0.802 |
Table 3 Correlation between potentially toxic elements in Argopecten irradians concentricus
元素Element | As | Cd | Pb |
---|---|---|---|
Cd | 0.943* | ||
Pb | 0.626 | 0.798 | |
Cr | 0.494 | 0.631 | 0.802 |
元素 Element | 养殖时期 Aquaculture season | |||
---|---|---|---|---|
T1 | T2 | T3 | ||
必需微量元素 Essential trace element | Cu | 5.63±0.24 b | 7.18±0.21 a | 7.30±0.36 a |
Ni | 1.62±0.03 a | 1.27±0.06 b | 1.59±0.12 a | |
V | 8.60±0.51 a | 2.93±0.07 b | 3.38±0.12 b | |
Co | 4.08±0.08 a | 1.04±0.06 b | 4.03±0.18 a | |
Zn | 191.92±5.90 b | 240.77±47.92 b | 392.38±30.85 a | |
Fe | 720.91±20.38 a | 1 364.83±397.33 a | 1 288.62±309.59 a | |
Mn | 1 897.80±8.34 a | 1 328.26±190.70 b | 1 464.43±42.01 ab | |
可能有害微量元素 Potentially toxic element | As | 9.3±0.29 ab | 8.39±0.28 b | 11.17±0.41 a |
Cd | 6.22±0.22 a | 5.82±0.08 a | 6.71±0.24 a | |
Pb | 3.71±0.08 a | 1.76±0.03 b | 1.81±0.05 b | |
Cr | 1.90±0.09 a | 1.46±0.04 b | 1.38±0.06 b | |
其他微量元素 Other trace element | Ba | 4.31±0.15 a | 2.44±0.05 b | 1.88±0.08 c |
Ga | 0.67±0.03 a | 0.22±0.02 b | 0.15±0.04 c | |
Sr | 36.30±1.56 a | 31.58±1.30 ab | 34.24±0.80 b |
Table 4 Comparison of trace elements in Argopecten irradians concentricus in different aquaculture season
元素 Element | 养殖时期 Aquaculture season | |||
---|---|---|---|---|
T1 | T2 | T3 | ||
必需微量元素 Essential trace element | Cu | 5.63±0.24 b | 7.18±0.21 a | 7.30±0.36 a |
Ni | 1.62±0.03 a | 1.27±0.06 b | 1.59±0.12 a | |
V | 8.60±0.51 a | 2.93±0.07 b | 3.38±0.12 b | |
Co | 4.08±0.08 a | 1.04±0.06 b | 4.03±0.18 a | |
Zn | 191.92±5.90 b | 240.77±47.92 b | 392.38±30.85 a | |
Fe | 720.91±20.38 a | 1 364.83±397.33 a | 1 288.62±309.59 a | |
Mn | 1 897.80±8.34 a | 1 328.26±190.70 b | 1 464.43±42.01 ab | |
可能有害微量元素 Potentially toxic element | As | 9.3±0.29 ab | 8.39±0.28 b | 11.17±0.41 a |
Cd | 6.22±0.22 a | 5.82±0.08 a | 6.71±0.24 a | |
Pb | 3.71±0.08 a | 1.76±0.03 b | 1.81±0.05 b | |
Cr | 1.90±0.09 a | 1.46±0.04 b | 1.38±0.06 b | |
其他微量元素 Other trace element | Ba | 4.31±0.15 a | 2.44±0.05 b | 1.88±0.08 c |
Ga | 0.67±0.03 a | 0.22±0.02 b | 0.15±0.04 c | |
Sr | 36.30±1.56 a | 31.58±1.30 ab | 34.24±0.80 b |
1 | FERNÁNDEZ A, GRIENKE U, SOLER-VILA A, et al.. Seasonal and geographical variations in the biochemical composition of the blue mussel (Mytilus edulis L.) from Ireland [J]. Food Chem., 2015, 177: 43-52. |
2 | 李乐,郑兴,宋仲辉,等. 海上吊养和循环水养殖的马氏珠母贝软体部矿物元素含量比较[J].热带生物学报, 2016, 7(4): 417-421. |
LI L, ZHENG X, SONG Z H, et al.. Analysis of mineral elements in the soft tissue of Pinctada martensii from sea cage aquaculture and re-circulating aquaculture [J]. J. Trop. Biol., 2016, 7(4): 417-421. | |
3 | ZHAO Y F, KANG X M, DING H Y, et al.. Bioaccumulation and biotransformation of inorganic arsenic in zhikong scallop (Chlamys farreri) after waterborne exposure [J/OL]. Chemosphere, 2021, 277(3):130270 [2022-05-06] .. |
4 | ZHANG L L, YAN W, XIE Z Y, et al.. Bioaccumulation and changes of trace metals over the last two decades in marine organisms from Guangdong coastal regions, South China [J]. J. Environ. Sci., 2020, 98: 103-108. |
5 | NASER H A. Assessment and management of heavy metal pollution in the marine environment of the Arabian Gulf: a review [J]. Mar. Pollut. Bull., 2013, 72(1): 6-13. |
6 | LIU S, LIU Y L, YANG D F, et al.. Trace elements in shellfish from Shenzhen, China: implication of coastal water pollution and human exposure [J/OL]. Environ. Pollut., 2020, 263: 114582 [2022-05-06]. . |
7 | BARBOSA I D S, BRITO G B, SANTOS G L D, et al.. Multivariate data analysis of trace elements in bivalve molluscs: characterization and food safety evaluation [J]. Food Chem., 2019, 273: 64-70. |
8 | KATO L L S, FERRARI R G, LEITE J V M, et al.. Arsenic in shellfish: a systematic review of its dynamics and potential health risks [J/OL]. Mar. Pollut. Bull., 2020, 161: 111693 [2022-05-06].. |
9 | WEN J, ZENG L, CHEN Z, et al.. Species identification of dried scallop adductor muscle (yao zhu) products sold on the market [J]. Food Control, 2017, 71: 83-87. |
10 | 黄亚楠,王文杰,魏钰恒,等. 墨西哥湾扇贝(Argopecten irradians concentricus)选育系F7在广西北部湾海域的生长比较研究[J].海洋与湖沼, 2020, 51(5): 1222-1231. |
HUANG Y N, WANG W J, WEI Y H, et al.. Comparison in growth of F7 generation of Argopecten irradians concentricus in Beibu Gulf, Guangxi, China [J]. Oceanol. Limnol. Sin., 2020, 51(5): 1222-1231. | |
11 | 谭杰,姚高友,陶雅晋,等. 不同大小规格墨西哥湾扇贝(Argopecten irradians concentricus)转录组分析及生长相关基因筛选[J]. 基因组学与应用生物学, 2019, 38(1): 40-50. |
TAN J, YAO G Y, TAO Y J, et al.. Transcriptome analysis and growth-related genes screening of Argopecten irradians concentricus of different sizes [J]. Genomics Appl. Biol., 2019, 38(1): 40-50. | |
12 | 彭张明. 墨西哥湾扇贝新品系的选择育种及养殖[D]. 湛江:广东海洋大学, 2015. |
PENG Z M. Selective breeding and culture of new Argopecten irradians concentricus line [D].Zhanjiang: Guangdong Ocean University, 2015. | |
13 | 姚高友. 墨西哥湾扇贝杂交育种及杂交子代高温耐受性与遗传特征分析[D]. 湛江:广东海洋大学, 2019. |
YAO G Y. Genetic and stress resistance analysis of diallel cross between Argopecten irradians concentricus and "Bohai Red" [D]. Zhanjiang: Guangdong Ocean University, 2019. | |
14 | XIE Q, LI H X, LIN L, et al.. Characteristics of expanded polystyrene microplastics on island beaches in the Pearl River estuary: abundance, size, surface texture and their metals-carrying capacity [J]. Ecotoxicology, 2021, 30: 1632-1643. |
15 | 李鹏. 福建部分沿海地区贝类重金属污染及镉形态的分析研究[D]. 厦门:集美大学, 2020. |
LI P. Studies of heavy metal pollution and cadmium species in shellfish collected from some coastal areas of Fujian [D]. Xiamen: Jimei University, 2020. | |
16 | LIN Y, LU J, WU J. Heavy metals pollution and health risk assessment in farmed scallops: low level of Cd in coastal water could lead to high risk of seafood [J/OL]. Ecotox. Environ. Safe, 2021, 208: 111768 [2022-05-06]. . |
17 | 张建江,王佳,舒为群. 饮水中锶的健康效应和安全水平[J].卫生研究, 2021, 50(4): 686-690, 697. |
ZHANG J J, WANG J, SHU W Q. Health effects and safe levels of strontium in drinking water [J]. J. Hyg. Res., 2021, 50(4): 686-690, 697. | |
18 | QIN L Y, ZHANG R C, LIANG Y D, et al.. Concentrations and health risks of heavy metals in five major marketed marine bivalves from three coastal cities in Guangxi, China [J/OL]. Ecotox. Environ. Safe., 2021, 223(3): 112562 [2022-05-06].. |
19 | LI P M, GAO X L. Trace elements in major marketed marine bivalves from six northern coastal cities of China: concentrations and risk assessment for human health [J]. Ecotox. Environ. Safe., 2014, 109: 1-9. |
20 | 林丽华,魏虎进,黄华梅. 大亚湾表层沉积物和底栖生物中重金属的污染特征与生物积累[J].生态科学, 2017, 36(6): 173-181. |
LIN L H, WEI H J, HUANG H M. Contamination status and bioaccumulation of the heavy metals in the surface sediments and benthos in Daya Bay [J]. Ecol. Sci., 2017, 36(6): 173-181. | |
21 | RAHMAN M A, HASEGAWA H, LIM R P. Bioaccumulation, biotransformation and trophic transfer of arsenic in the aquatic food chain [J]. Environ. Res., 2012, 116: 118-135. |
22 | NEMR A E, EL-SAID G F, RAGAB S, et al.. The distribution, contamination and risk assessment of heavy metals in sediment and shellfish from the Red Sea coast, Egypt [J]. Chemosphere, 2016, 165: 369-380. |
23 | YUAN Y, SUN T, WANG H, et al.. Bioaccumulation and health risk assessment of heavy metals to bivalve species in Daya Bay (South China Sea): consumption advisory [J/OL]. Mar. Pollut. Bull., 2020, 150: 110717 [2022-05-06]. . |
24 | JEBALI J, CHOUBA L, BANNI M, et al.. Comparative study of the bioaccumulation and elimination of trace metals (Cd, Pb, Zn, Mn and Fe) in the digestive gland, gills and muscle of bivalve Pinna nobilis during a field transplant experiment [J]. J. Trace Elem. Med. Biol., 2014, 28(2): 212-217. |
25 | SCHNEIDER L, MAHER W A, POTTS J, et al.. Trophic transfer of metals in a seagrass food web: bioaccumulation of essential and non-essential metals [J]. Mar. Pollut. Bull., 2018, 131: 468-480. |
26 | PAN K, WANG W X. Biodynamics to explain the difference of copper body concentrations in five marine bivalve species [J]. Environ. Sci. Technol., 2009, 43(6):2137-2143. |
27 | LIU Q, LIAO Y, SHOU L. Concentration and potential health risk of heavy metals in seafoods collected from Sanmen bay and its adjacent areas, China [J]. Mar. Pollut. Bull., 2018, 131: 356-364. |
28 | BUSTAMANTE P, MIRAMAND P. Subcellular and body distributions of 17 trace elements in the variegated scallop Chlamys varia from the French coast of the Bay of Biscay [J]. Sci. Total Environ., 2005, 337(1-3): 59-73. |
29 | NORUM U, LAI V W M, CULLEN W R. Trace element distribution during the reproductive cycle of female and male spiny and Pacific scallops, with implications for biomonitoring [J]. Mar. Pollut. Bull., 2005, 50(2): 175-184. |
30 | METIAN M, BUSTAMANTE P, HEDOUIN L, et al.. Accumulation of nine metals and one metalloid in the tropical scallop Comptopallium radula from coral reefs in New Caledonia [J]. Environ. Pollut., 2008, 152(3): 543-552. |
31 | LIU J H, CAO L, DOU S Z. Bioaccumulation of heavy metals and health risk assessment in three benthic bivalves along the coast of Laizhou Bay, China [J]. Mar. Pollut. Bull., 2017, 117(1-2): 98-110. |
32 | 王增焕,林钦,王许诺,等. 华南沿海牡蛎重金属含量特征及其风险评估[J]. 水产学报, 2011, 35(2): 291-297. |
WANG Z H, LIN Q, WANG X N, et al.. The variation features of heavy metal contents in oyster samples from the coast of South China Sea and their safety assessment [J]. J. Fish. China, 2011, 35(2): 291-297. | |
33 | BEZUIDENHOUT J, DAMES N, BOTHA A, et al.. Trace elements in mediterranean mussels mytilus galloprovincialis from the south African west coast [J]. Ecol. Chem. Eng., 2016, 22(4): 489-498. |
34 | LU J, LI A, DONG J, et al.. The effect of Typhoon Talim on the distribution of heavy metals on the inner shelf of the East China sea [J/OL]. Cont. Shelf Res., 2021, 229: 104547 [2022-05-06]. . |
[1] | Shanshan TONG, Feng JIN, Qingzhu YANG, Ruifang ZHANG, Xinxin WANG, Hong WANG. Effects of Fertilization by Mulched Drip Irrigation on Soil Nutrient Accumulation and Distribution in Pear Orchards on Gneiss Mountain Slopes [J]. Journal of Agricultural Science and Technology, 2025, 27(9): 181-192. |
[2] | Shuting XIAO, An YAN. Distribution Characteristics and Influencing Factors of Soil Organic Carbon in Typical Natural Forests in Tianshan Mountains [J]. Journal of Agricultural Science and Technology, 2025, 27(8): 227-238. |
[3] | Huilai WANG, Shuai LI, Yin WANG, Dongtao WU, Jiawei MA, Zhengqian YE, Yongqing CHI, Mei WANG. Effect of Long-term Fertilization on Diversity of Bacterial Community and Distribution of ARGs in Grape Soil [J]. Journal of Agricultural Science and Technology, 2025, 27(6): 229-239. |
[4] | Luan ZHANG, Guodong YIN, Yun ZHANG, Changyi JIANG, Jiliang MA, Huijie ZHANG. Food Legumes of Regional Public Brands: Status, Problems and Development Suggestions [J]. Journal of Agricultural Science and Technology, 2025, 27(5): 1-12. |
[5] | Jiajia SONG, Yunxia MA, Jingjie GUO, Baomengkenashun, Zhonghou GU, Kun LIU, Zhilong LI, Shengli HAN, Xia KANG, Rewadi. Spatial Pattern and Interspecific Association of Natural Platycladus orientalis Population in Loess Hilly Region of Inner Mongolia [J]. Journal of Agricultural Science and Technology, 2024, 26(9): 203-212. |
[6] | Liang SUN, Yi XU, Qin CAI, Jinghao GUO, Can ZHAO, Baowei GUO, Zhipeng XING, Zhongyang HUO, Hongcheng ZHANG, Yajie HU. Research Progress on Effects of Medium and Trace Elements on Yield and Quality of Rice [J]. Journal of Agricultural Science and Technology, 2024, 26(8): 9-19. |
[7] | Mingze MA, Fan ZHANG, Tian WANG, Wenfang LI, Juan MAO, Baihong CHEN, Zonghuan MA. Effects of Different Fertilizers on Soil and Sapling Growth in Cherry Orchard [J]. Journal of Agricultural Science and Technology, 2024, 26(11): 191-203. |
[8] | Mingyu ZHAO, Hao JIA, Xiaoyu SHI, Yi PAN, Yuyun HUANG, Kaicheng WANG, Qingquan CHU. Distribution of Winter Wheat Water Footprint in Huang-Huai-Hai Farming Region in Recent 30 Years [J]. Journal of Agricultural Science and Technology, 2023, 25(8): 138-147. |
[9] | Fake SHAN, Shuo KANG, Jianxi ZHU, Yongwei WANG, Jun WANG. Study on Tillage Fertilizer Mixing Effect Under Vertical Smashing Rotary Tillage and Rotary Tillage Based on EDEM [J]. Journal of Agricultural Science and Technology, 2023, 25(11): 90-102. |
[10] | Xiaohu YANG, Manyu ZHANG, Haichang YANG, Fenghua ZHANG, Yilin JIANG, Xiaolan YI. Inversion of Soil Salinity in Farmland of Manas River Basin Based on Combined Model [J]. Journal of Agricultural Science and Technology, 2023, 25(1): 134-141. |
[11] | Yongwen SUN, Shengmao ZHANG, Fenghua TANG, Shuxian WANG, Wei FAN, Xiumei FAN, Shenglong YANG. Research on the distribution and Types of Fishing Vessels in the North Pacific Based on Satellite Ship Position Data [J]. Journal of Agricultural Science and Technology, 2022, 24(8): 207-217. |
[12] | Fan ZHANG, Yue GU, Chen CAO, Baohua LIU. Effect of Rape Straw Fiber on Pore Characteristics of Cement Mortar [J]. Journal of Agricultural Science and Technology, 2022, 24(6): 189-195. |
[13] | Tianming QI, Zhijian LI, Peiyou QIN, Guixing REN, Bangwei ZHOU. Research and Application Prospect of Quinoa Cultivation Technology [J]. Journal of Agricultural Science and Technology, 2022, 24(3): 157-165. |
[14] | Liangyan YANG, Yanan LI, Hongjian FAN, Yating WANG. Temporal and Spatial Distribution and Influencing Factors of Evapotranspiration in Mu Us Sandy Land [J]. Journal of Agricultural Science and Technology, 2022, 24(10): 169-178. |
[15] | ZHANG Xueke, ZHANG Hong, ZHANG Pengfei, QIN Wei, LIU Shoujin, PENG Daiyin, LI Lei. Prediction of the Potential Distributions and Ecological Suitability of Polygonatum zanlanscianense Pamp [J]. Journal of Agricultural Science and Technology, 2021, 23(8): 185-192. |
Viewed | ||||||
Full text |
|
|||||
Abstract |
|
|||||