Journal of Agricultural Science and Technology ›› 2025, Vol. 27 ›› Issue (8): 227-238.DOI: 10.13304/j.nykjdb.2024.0031

• BIO-MANUFACTURING & RESOURCE AND ECOLOGY • Previous Articles     Next Articles

Distribution Characteristics and Influencing Factors of Soil Organic Carbon in Typical Natural Forests in Tianshan Mountains

Shuting XIAO1(), An YAN2()   

  1. 1.Xinjiang Key Laboratory of Grassland Restoration and Environmental Information,College of Resources and Environment,Xinjiang Agricultural University,Urumqi 830052,China
    2.Xinjiang Key Laboratory of Grassland Resources and Ecology,College of Prataculture,Xinjiang Agricultural University,Urumqi 830052,China
  • Received:2024-01-12 Accepted:2024-02-26 Online:2025-08-15 Published:2025-08-26
  • Contact: An YAN

天山典型天然林土壤有机碳分布特征及其影响因素

肖淑婷1(), 颜安2()   

  1. 1.新疆农业大学资源与环境学院,新疆草地修复与环境信息重点实验室,乌鲁木齐 830052
    2.新疆农业大学草业学院,新疆草地资源与生态重点实验室,乌鲁木齐 830052
  • 通讯作者: 颜安
  • 作者简介:肖淑婷 E-mail:1367388036@qq.com
  • 基金资助:
    国家自然科学基金项目(32160527)

Abstract:

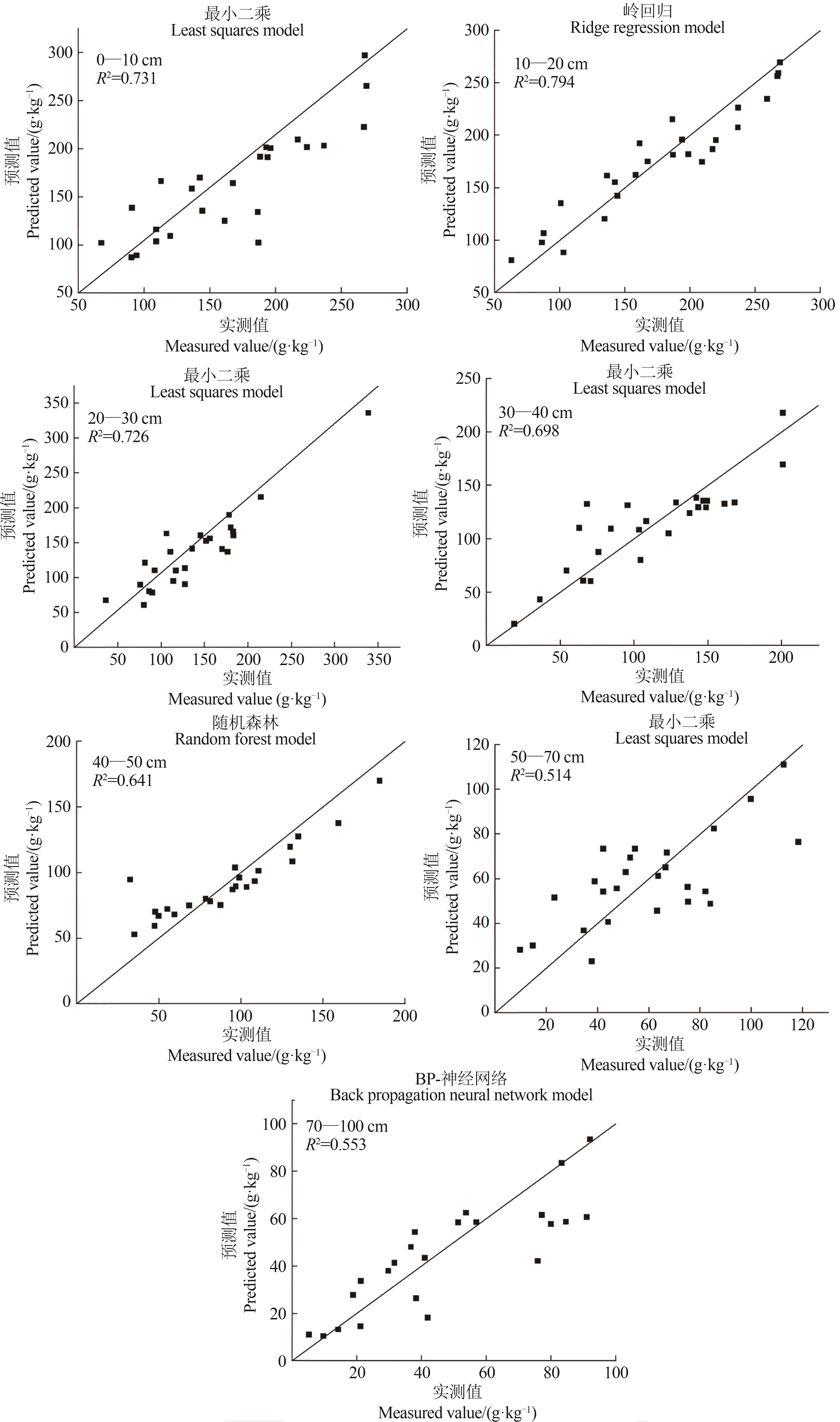
In order to reveal the distribution rules and influencing factors of forest soil organic carbon content in Tianshan mountains, the soil organic carbon content and spatial distribution characteristics of different depths in the study area were estimated by combining the forest soil measured data and the technical tools of geographic information system. The results showed that,according to different models, the average values of organic carbon content in 0 to 10, 10 to 20, 20 to 30, 30 to 40, 40 to 50, 50 to 70, 70 to 100 cm soil layers were 144.054, 147.087, 122.343, 122.302, 72.941, 61.260 and 49.527 g·kg-1, respectively. In the depth of 0 to 40 cm, the areas with high soil organic carbon content were mainly located in the middle of the study area, while only the central area maintained a high distribution in 40 to 100 cm soil layer. The soil organic carbon content of natural forests in the study area showed significant spatial differences, in which the soil organic carbon content decreased with the increase of soil depth and increased with the increase of stand development stage, which was manifested in mature forests > overmature forests > near-mature forests > middle-aged forests > young forests. Soil physicochemical properties played a decisive role in the accumulation and distribution of soil organic carbon. There was a significant correlation between soil physical and chemical properties and soil organic carbon content, and there was a significant correlation between soil organic carbon and soil pH, total phosphorus and bulk density, among which pH and bulk density were significantly negatively correlated, while total phosphorus was significantly positively correlated. Above results provided a scientific basis for assessing the potential of soil carbon sequestration in typical forest areas of the Tianshan mountains.

Key words: Tianshan spruce, forest soil organic carbon, remote sensing estimation, spatial distribution, soil physicochemical properties

摘要:

为揭示天山地区森林土壤有机碳含量分布规律与影响因素,通过将森林土壤实测数据与地理信息系统中的技术工具相结合的研究方法,估算研究区不同深度土壤有机碳含量以及空间分布特征。结果表明,根据不同模型估算出研究区0—10、10—20、20—30、30—40、40—50、50—70、70—100 cm土层有机碳含量均值分别为144.054、147.087、122.343、122.302、72.941、61.260、49.527 g·kg-1。在0—40 cm土层内,土壤有机碳含量较高的区域主要位于研究区中部,在40—100 cm土壤中仅中部地区保持高值分布。研究区天然林土壤有机碳含量呈现显著空间差异,土壤有机碳含量随土层深度的增加而降低,随着林分发育阶段的增加而增加,具体表现为成熟林>过熟林>近熟林>中龄林>幼龄林。土壤理化性质对土壤有机碳的积累与分布起到决定性作用,不同土壤理化性质与土壤有机碳含量均存在一定的相关性,土壤有机碳与土壤中的pH、全磷、容重存在显著相关性,其中与pH和容重呈极显著负相关,而与全磷呈极显著正相关。研究结果为评估天山典型林区土壤固碳潜力提供科学基础。

关键词: 天山云杉, 森林土壤有机碳, 遥感估算, 空间分布, 土壤理化性质

CLC Number: