Journal of Agricultural Science and Technology ›› 2023, Vol. 25 ›› Issue (9): 197-206.DOI: 10.13304/j.nykjdb.2022.0095
• BIO-MANUFACTURING & RESOURCE AND ECOLOGY • Previous Articles Next Articles
Yuanyuan DUAN1,2(), Xiaohong LIU2, Tao TANG1, Fanfan WANG1, Jingmao YOU1, Xiaoliang GUO1, Jie GUO1,2(
)
Received:
2022-02-09
Accepted:
2022-04-12
Online:
2023-09-15
Published:
2023-09-28
Contact:
Jie GUO
段媛媛1,2(), 刘晓洪2, 唐涛1, 王帆帆1, 游景茂1, 郭晓亮1, 郭杰1,2(
)
通讯作者:
郭杰
作者简介:
段媛媛 E-mail:duanyuanyuan2016@163.com;
基金资助:
CLC Number:
Yuanyuan DUAN, Xiaohong LIU, Tao TANG, Fanfan WANG, Jingmao YOU, Xiaoliang GUO, Jie GUO. Effects of Planting Density on Growth and Quality of Fritillaria hupehensis[J]. Journal of Agricultural Science and Technology, 2023, 25(9): 197-206.
段媛媛, 刘晓洪, 唐涛, 王帆帆, 游景茂, 郭晓亮, 郭杰. 种植密度对湖北贝母生长及品质的影响[J]. 中国农业科技导报, 2023, 25(9): 197-206.
Add to citation manager EndNote|Ris|BibTeX
URL: https://nkdb.magtechjournal.com/EN/10.13304/j.nykjdb.2022.0095
Fig.1 Growth traits of Fritillaria hupehensis under different planting densitiesNote:The dashed line in the boxplot is the mean and the solid line is the median; different lowercase letters in the same sampling period indicate significant differences between treatments(P<0.05).
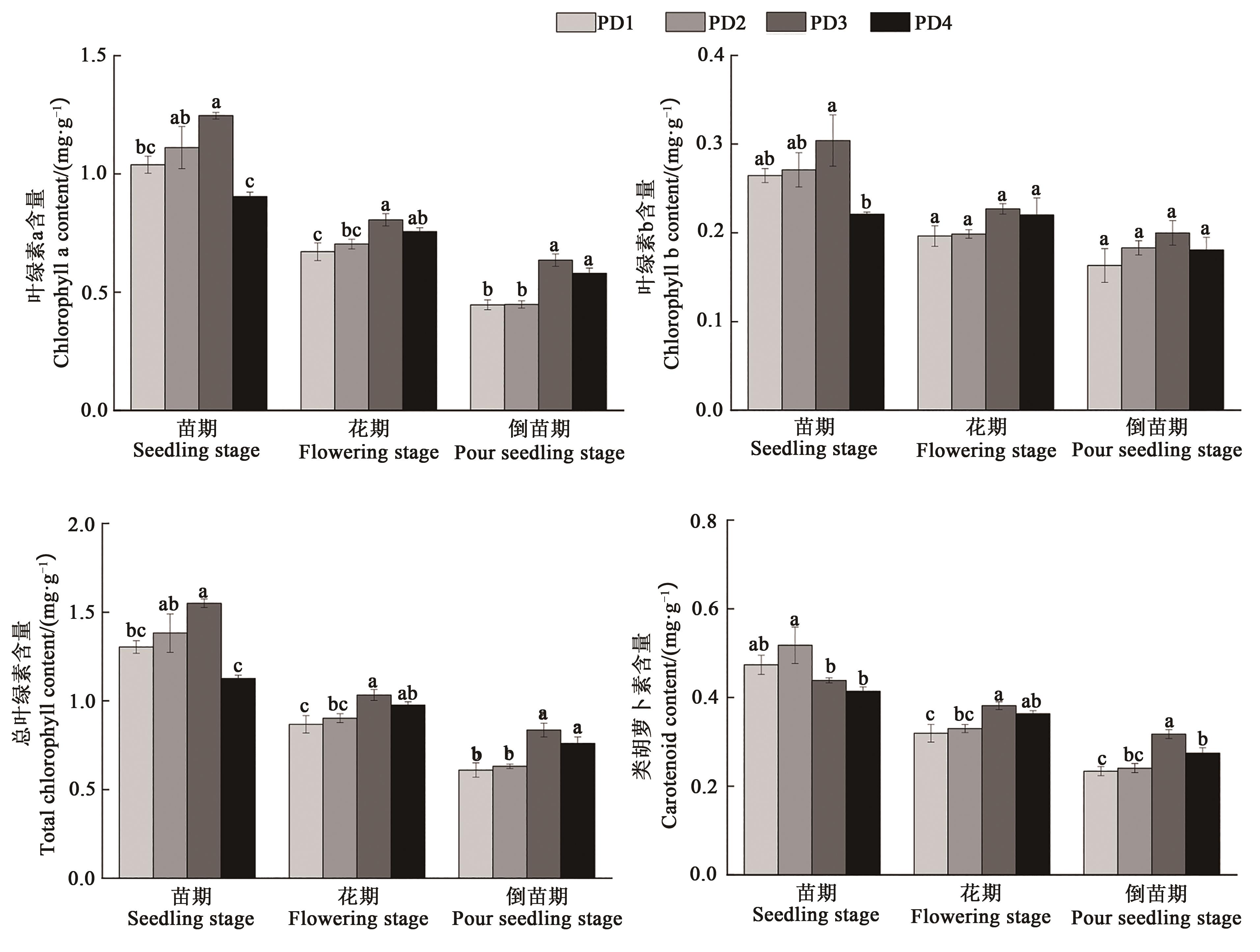
Fig.2 Photosynthetic pigments content of Fritillaria hupehensis with different planting densitiesNote:Different lowercase letters in the same sampling period indicate significant differences between treatments(P<0.05).
Fig.3 Autioxidant enzyme activities of Fritillaria hupehensis with different planting densitiesNote:Different lowercase letters in the same sampling period indicate significant differences between treatments(P<0.05).
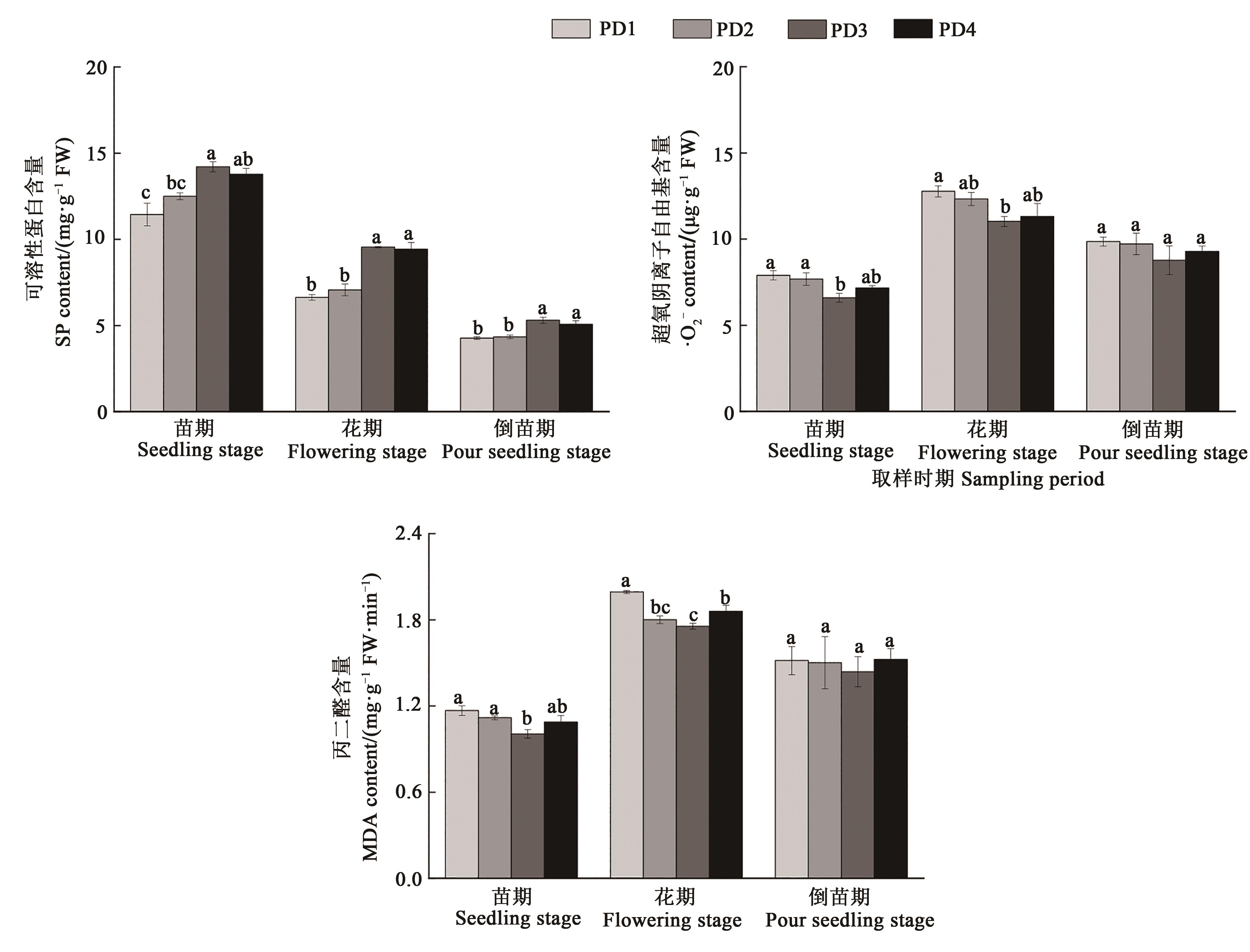
Fig.4 Osmotic regulation of substance content of Fritillaria hupehensis with different planting densitiesNote:Different lowercase letters in the same sampling period indicate significant differences between treatments(P<0.05).
Fig.5 Correlation analysis of physiological growth traits of Fritillaria hupehensisNote:* indicates significant correlation at P<0.05 level, ** indicates significant correlation at P<0.01 level, *** indicates significant correlation at P<0.001 level.
Fig.6 Yield of substance content and peiminine of Fritillaria hupehensis with different planting densitiesNote:Different lowercase letters indicate significant differences between treatments(P<0.05).
1 | MAHLANGU R I S, MABOKO M M, MUDAU F N, et al.. Nitrogen levels, plant density and postharvest storage duration affect phytochemical and antioxidant properties of field-grown basil and rocket crops [J]. Int. J. Veget. Sci., 2021, 27(6): 1-11. |
2 | 赵准, 李剑, 宋瑞娇, 等. 不同种植密度对大麦产量和青贮品质的影响[J]. 作物杂志, 2020(1): 110-116. |
ZHAO Z, LI J, SONG R J, et al.. Effects of different planting densities on biomass yield and silage quality of barley [J]. Crops, 2020(1): 110-116. | |
3 | 付东青, 王彦超, 宋磊, 等. 施氮量和种植密度对石河子复播早熟饲用燕麦生产性能的影响[J]. 草地学报, 2021, 29(10): 2364-2371. |
FU D Q, WANG Y C, SONG L, et al.. Effects of application rate and planting density on production performance of early maturing forage oat in Shihezi, Xinjiang [J]. Acta Agrestia Sin., 2021, 29(10): 2364-2371. | |
4 | 李建查, 潘志贤, 李坤, 等. 灌水量和种植密度对干热河谷洋葱生物量及养分吸收利用的影响[J]. 灌溉排水学报, 2021, 40(10): 71-78. |
LI J C, PAN Z X, LI K, et al..The effects of irrigation amount and planting density on biomass and nutrient absorption and utilization by onion in an arid warm valley [J]. J. Irrig. Drain., 2021, 40(10): 71-78. | |
5 | CEVÍLIO FILHO L A B, FELTRIM A L, MENDOZA CORTEZ J W, et al.. Nitrogen and potassium application by fertigation at different watermelon planting densities [J]. J. Soil Sci. Plant Nutr., 2015, 15(4), 928-937. |
6 | 冯银平, 沈海花, 罗永开, 等. 种植密度对苜蓿生长及生物量的影响[J]. 植物生态学报, 2020, 44(3): 248-256. |
FENG Y P, SHEN H H, LUO Y K, et al.. Effects of planting density on growth and biomass of Medicago sativa [J]. Chin. J. Plant Ecol., 2020, 44(3): 248-256. | |
7 | LI B, GAO F, REN B Z, et al.. Lignin metabolism regulates lodging resistance of maize hybrids under varying planting density [J]. J. Integrative Agric., 2021, 20(8): 2077-2089. |
8 | 王雪莱, 郭潇潇, 郭伟, 等. 种植密度对松嫩平原西部白燕7号生产性能及光合特性的影响[J]. 草业科学, 2020, 37(8): 1568-1578. |
WANG X L, GUO X X, GUO W, et al.. Effect of planting density on production performance and photosynthetic characteristics of Avena sativa ‘Baiyan No.7’ in western Songnen plain [J]. Pratac. Sci., 2020, 37(8): 1568-1578. | |
9 | 程彬, 刘卫国, 王莉, 等. 种植密度对玉米-大豆带状间作下大豆光合、产量及茎秆抗倒的影响[J]. 中国农业科学, 2021, 54(19): 4084-4096. |
CHENG B, LIU W G, WANG L, et al.. Effects of planting density on photosynthetic characteristics, yield and stem lodging resistance of soybean in maize-soybean strip intercropping system [J]. Sci. Agric. Sin., 2021, 54(19): 4084-4096. | |
10 | 钟鹏, 苗丽丽, 刘杰, 等. 种植密度和方式对油莎豆块茎生长期光合特性和产量的影响[J]. 中国油料作物学报, 2021, 43(6): 1099-1107. |
ZHONG P, MIAO L L, LIU J, et al.. Effects of densities and planting mode on photosynthetic characteristics and yield of Cyperus esculentus during tuber growth stage [J]. Chin. J. Oil Crop Sci., 2021, 43(6): 1099-1107. | |
11 | 曹丽霞, 周海涛, 张新军, 等. 播种量对冀北地区2个荞麦品种产量的影响[J]. 作物杂志, 2021(5): 140-145. |
CAO L X, ZHOU H T, ZHANG X J, et al.. Effects of sowing rates on yield of two buckwheat varieties in northern Hebei [J]. Crops, 2021(5): 140-145. | |
12 | 中国科学院中国植物志编辑委员会.中国植物志[M]. 北京: 科学出版社, 1993. |
13 | 国家药典委员会.中华人民共和国药典(一部)[M].北京: 中国医药科技出版社, 2020:363. |
14 | 张礼, 伍燕华, 付绍兵, 等. 栽培密度和施肥对川贝母生长和产量的影响[J]. 江苏农业科学, 2017, 45(3): 119-121. |
ZHANG L, WU Y H, FU S B, et al.. Effects of planting density on growth and yield of Fritillaria cirrhosa [J]. Jiangsu Agric. Sci., 2017, 45(3): 119-121. | |
15 | HE Y S, ZHANG M D, ZHOU W X, et al.. Transcriptome analysis reveals novel insights into the continuous cropping induced response in Codonopsis Tangshen, a medicinal herb [J]. Plant Physiol. Bioch., 2019, 141, 279-290. |
16 | 滕秋梅, 孙英杰, 沈育伊, 等. 喀斯特湿地水葫芦(Eichhornia crassipes)生长及表型可塑性特征对不同富营养化水体的响应[J]. 湖泊科学, 2021, 33(1): 123-137. |
TENG Q M, SUN Y J, SHEN Y Y, et al.. Growth and phenotypic plasticity variability of Eichhornia crassipes in response to different eutrophic water in karst wetland [J]. J. Lake Sci., 2021, 33(1): 123-137. | |
17 | 梁建秋, 安建刚, 王嘉, 等. 不同种植密度对四川大豆农艺性状及产量的影响[J]. 大豆科学, 2021, 40(5): 653-661. |
LIANG J Q, AN J G, WANG J, et al.. Effects of different planting densities on agronomic traits and yield of soybean in Sichuan [J]. Soybean Sci., 2021, 40(5): 653-661. | |
18 | 周武先, 李梦歌, 谭旭辉, 等. 播种密度对不同季节半夏生长、品质及土壤酶活性的影响[J]. 作物杂志,2022(4):205-213. |
ZHOU W X, LI M G, TAN X H, et al.. Effects of sowing density on growth, nutritional quality and soil enzyme activity of Pinellia ternata under different seasons [J]. Crops, 2022(4):205-213. | |
19 | MAHLANGU R I S, MABOKO M M, MUDAU F N. Growth, yield and mineral content of basil and cultivated rocket due to plant density and nitrogen level [J]. Int. J. Veget. Sci., 2020, 26(6): 558-572. |
20 | 张泽锦, 黄阳, 唐丽, 等. 栽培密度对黄瓜不同叶位叶片光合系统和产量的影响[J]. 西南农业学报, 2020, 33(4): 725-733. |
ZHANG Z J, HUANG Y, TANG L, et al.. Effects of planting density on photosynthetic system of leaves at different positions and yield of cucumber [J]. Southwest China J. Agric. Sci., 2020, 33(4): 725-733. | |
21 | 张美德, 吴海棠, 张雅娟, 等. 不同土壤硒水平对白术幼苗生长及部分生理特性的影响[J]. 广西植物,2022,42(6):1008-1017. |
ZHANG M D, WU H T, ZHANG Y J, et al.. Effects of different soil selenium levels on growth and partial physiological characteristics of Atractylodes macrocephala seedlings [J]. Guihaia, 2022, 42(6):1008-1017. | |
22 | 黄小芳, 李勇, 易茜茜, 等. 五种化感物质对人参根系酶活性的影响[J]. 中草药, 2010, 41(1): 117-121. |
HUANG X F, LI Y, YI X X, et al.. Effects of five allelochemicals on enzyme activity in Panax ginseng roots [J]. Chin. Traditional Herbal Drugs, 2010, 41(1): 117-121. | |
23 | 卢发光, 顾立峰, 刘昱茜, 等. 种植密度和施氮量互作对盐碱地紫花苜蓿生长性能和生理特性的影响[J]. 草业科学, 2021, 38(8): 1570-1578. |
LU F G, GU L F, LIU Y Q, et al.. Interaction effects of plant density and nitrogen rate on the growth and physiological traits of alfalfa in saline alkali soils [J]. Pratac. Sci., 2021, 38(8): 1570-1578. | |
24 | 李瑞东, 徐彩龙, 尹阳阳, 等. 增密对少分枝大豆品种光合特性和产量形成的影响[J]. 大豆科学, 2021, 40(5): 633-642. |
LI R D, XU C L, YIN Y Y, et al.. Effects of close planting on photosynthetic characteristics and yield of less branched soybean varieties [J]. Soybean Sci., 2021, 40(5): 633-642. | |
25 | 许奕, 孙琇华, 石子建, 等. 密度对浙贝母产量和收益的影响[J]. 浙江农业科学, 2018, 59(12): 2276-2277. |
XU Y, SUN X H, SHI Z J, et al.. Effects of planting density on yield and income of Fritillaria thunbergii [J]. J. Zhejiang Agric. Sci., 2018, 59(12): 2276-2277. | |
26 | 钟鹏, 苗丽丽, 刘杰, 等. 种植密度和方式对油莎豆群体结构和产量的影响[J]. 中国农业科技导报, 2022, 24(3): 186-196. |
ZHONG P, MIAO L L, LIU J, et al.. Effect of different planting densities and patterns on population structure and yield of Cyperus esculentus [J]. J. Agric. Sci. Technol., 2022, 24(3): 186-196. | |
27 | WANG D, YANG J, DU Q, et al.. The total alkaloid fraction of bulbs of Fritillaria cirrhosa displays anti-inflammatory activity and attenuates acute lung injury [J]. J. Ethnopharmacol., 2016, 193: 150-158. |
28 | KIANI M, SEFIDKON F, BABAEI A, et al.. Phytochemical profiling of medicinal isosteroidal alkaloids of Iranian Fritillaria spp. (Liliaceae) [J]. Ind. Crops Products, 2015, 70: 451-458. |
[1] | Wen DONG, Zehui JU, Zhenzhong WANG, Kangtai SUN. Project Establishment Analysis and Prospects of China’s “Forestry Germplasm Resources Cultivation and Quality Improvement” in the “14th Five-Year” National Key R&D Program [J]. Journal of Agricultural Science and Technology, 2025, 27(9): 1-10. |
[2] | Zhenfei ZHANG, An YAN, Jing GUO, Yuhang ZHAO, Yilin YUAN, Peng LIU, Zuohao QU, Chuan YUAN. Research on Apple Yield Estimation Model Based on Unmanned Aerial Vehicle Remote Sensing [J]. Journal of Agricultural Science and Technology, 2025, 27(9): 110-119. |
[3] | Jianfeng ZHANG, Wenfeng HOU, Yongqing WU, Kaixu LI, Xiaokun LI. Effects of Nitrogen Fertilizer and Density Interactions on Occurrence of Diseases and Insect Pests and Grain Yield of Rice [J]. Journal of Agricultural Science and Technology, 2025, 27(9): 145-154. |
[4] | Caixia LYU, Yongfu LI, Huinan XIN, Na LI, Ning LAI, Qinglong GENG, Shuhuang CHEN. Effects of Slow Release Nitrogen Fertilizer on Yield of Winter Wheat and Soil Nitrate/Ammonium Nitrogen Under Drip Irrigation [J]. Journal of Agricultural Science and Technology, 2025, 27(8): 179-186. |
[5] | Xueqing LIU, Jing WANG, Yi YANG, Huiqin WU, Yanhong WANG, Luyao WANG, Jiawei LU, Kaixuan ZHANG, Yuan ZHAI, Yan CHENG. Effect of Exogenous Ethephon on Defoliation and Yield of Pigmented Pepper [J]. Journal of Agricultural Science and Technology, 2025, 27(8): 36-46. |
[6] | Tao LIU, Yuhui KONG. Research Advance on Coordinated Adaptation of New Quality Agricultural Productivity [J]. Journal of Agricultural Science and Technology, 2025, 27(7): 1-9. |
[7] | Xiaowei CHEN, Yuzhu SHA, Xiu LIU, Pengyang SHAO, Fanxiong WANG, Zhuanhui XIE, Wenxin YANG, Qianling CHEN, Min GAO, Wei HUANG. Analysis of Gene Expression Characteristics Associated with Quality, Nutrient Composition, and Meat Quality of Tibetan Sheep Meat During Different Phenological Stages [J]. Journal of Agricultural Science and Technology, 2025, 27(7): 161-171. |
[8] | Qi ZHOU, Qiang LIU, Jing ZHANG, Chaochao DENG, Zhenlong WANG, Yang LIU, Fang WU, Hao CHANG, Yanfang ZHOU, Cuicui SU, Zhiguo SHI, Zhengrui GAO, Fengjie MA. Effects of Organic Fertilizer Replacing Chemical Fertilizer on Yield and Soil Biological Characteristics of Pumpkin [J]. Journal of Agricultural Science and Technology, 2025, 27(7): 190-203. |
[9] | Guangyong SONG, Yawen GUO, Jing XUE, Keqing YANG, Xuede SU, Long ZHOU. Effects of Different Fertilizer and Water Treatments on Fruit Quality of 7 Table Grapes in Greenhouses [J]. Journal of Agricultural Science and Technology, 2025, 27(7): 229-240. |
[10] | Yanfang ZHU, Qiang CHANG, Yan HAO, Hailong CHEN. Effects of Reflective Film on Fruit Quality and Volatile Components of ‘Shine Muscat’ Grape [J]. Journal of Agricultural Science and Technology, 2025, 27(7): 72-82. |
[11] | Shijian BAI, Jinge HU. Effects of Gibberellic Acid on Berry and Raisin of Perlette Grape [J]. Journal of Agricultural Science and Technology, 2025, 27(6): 158-169. |
[12] | Juanjuan HUANG, Zhiqiang ZHANG, Juan MAO, Zonghuan MA, Baihong CHEN. Effects of Different Foliar Fertilizers on Growth, Development and Fruit Quality of ‘Pinot Noir’ Grape [J]. Journal of Agricultural Science and Technology, 2025, 27(6): 205-217. |
[13] | Shichao CHEN, Ju WANG, Fuqiang GUO, Rui HAO, Jianping SHI. Effects of Different Water and Nitrogen Coupling on Physiological Indexes and Yield of Protein Mulberry [J]. Journal of Agricultural Science and Technology, 2025, 27(6): 240-249. |
[14] | Jialiang YUAN, Runnan LIAN, Wuping ZHANG. Accurate Identification and Grading Method for Daylily Flower Buds [J]. Journal of Agricultural Science and Technology, 2025, 27(5): 103-112. |
[15] | Lijun DUAN, Xianhua DING, Weiqin LI, Shuangdui YAN. Investigation of Co-pyrolysis Behavior and Pyrolysis Product Analysis of Oak Bark and Corn Stalks [J]. Journal of Agricultural Science and Technology, 2025, 27(5): 164-172. |
Viewed | ||||||
Full text |
|
|||||
Abstract |
|
|||||