Journal of Agricultural Science and Technology ›› 2023, Vol. 25 ›› Issue (4): 110-122.DOI: 10.13304/j.nykjdb.2022.0048
• INTELLIGENT AGRICULTURE & AGRICULTURAL MACHINERY • Previous Articles Next Articles
Fenfang XIAO1,2(), Conghe ZHANG3, Hui WANG3, Yafeng YE1, Daolin ZHANG3, Heting WANG3, Bo LI1, Yuejin WU1, Binmei LIU1(
)
Received:
2022-01-18
Accepted:
2022-05-06
Online:
2023-04-01
Published:
2023-06-26
Contact:
Binmei LIU
肖芬芳1,2(), 张从合3, 王慧3, 叶亚峰1, 张道林3, 汪和廷3, 李波1, 吴跃进1, 刘斌美1(
)
通讯作者:
刘斌美
作者简介:
肖芬芳 E-mail:xiaofenfang@mail.ustc.edu.cn;
基金资助:
CLC Number:
Fenfang XIAO, Conghe ZHANG, Hui WANG, Yafeng YE, Daolin ZHANG, Heting WANG, Bo LI, Yuejin WU, Binmei LIU. Simulation and Optimization of Pneumatic Conveying System for Hybrid Rice Pollen Collection Device[J]. Journal of Agricultural Science and Technology, 2023, 25(4): 110-122.
肖芬芳, 张从合, 王慧, 叶亚峰, 张道林, 汪和廷, 李波, 吴跃进, 刘斌美. 杂交水稻花粉收集装置气力输送系统仿真优化[J]. 中国农业科技导报, 2023, 25(4): 110-122.
Add to citation manager EndNote|Ris|BibTeX
URL: https://nkdb.magtechjournal.com/EN/10.13304/j.nykjdb.2022.0048
Fig. 1 Structure of air-suction pollen collection deviceNote:1—Pneumatic conveying system; 2—Complicated door; 3—Negative pressure fan assembly; 4—Filtration separation chamber; 5—Conveyor belt; 6—Feeding channel; 7—Condensing kiln; 8—Cab; 9—Diesel; 10—Steering starter; 11—Steering column jacket; 12—Stub axle; 13—Wheels; 14—Hydraulic lift system; 15—Storage battery; 16—Electrical machinery; 17—Cooling tank.
指标 Index | 具体参数 Specific psrameter | DPM边界条件 Boundary conditions of DPM |
---|---|---|
流体相Fluid phase | 空气密度Density of air /(kg· 空气粘度Viscosity of air/(kg· | |
离散相Dispersed phase | 花粉密度Density of pollen/(kg· 花粉平均直径Average diameter of pollen / 花粉流量Flow of pollen/(kg· 花粉入射速度Injection velocity of pollen/(m· | |
压力入口Pressure inlet | 表压Gauge pressure/(Pa):-1 000 | 逃离Escape |
压力出口Pressure outlet | 表压Gauge pressure/(Pa):0 | 捕捉Trap |
固体壁面边界Wall | 铝密度Density of aluminum/(kg· | 反射Reflect |
Table 1 Fluent simulation parameter settings
指标 Index | 具体参数 Specific psrameter | DPM边界条件 Boundary conditions of DPM |
---|---|---|
流体相Fluid phase | 空气密度Density of air /(kg· 空气粘度Viscosity of air/(kg· | |
离散相Dispersed phase | 花粉密度Density of pollen/(kg· 花粉平均直径Average diameter of pollen / 花粉流量Flow of pollen/(kg· 花粉入射速度Injection velocity of pollen/(m· | |
压力入口Pressure inlet | 表压Gauge pressure/(Pa):-1 000 | 逃离Escape |
压力出口Pressure outlet | 表压Gauge pressure/(Pa):0 | 捕捉Trap |
固体壁面边界Wall | 铝密度Density of aluminum/(kg· | 反射Reflect |
结构参数Structure parameter | 变化范围Range of variation |
---|---|
进粉管内径 D/mm | [100:25:200] |
吸粉口长度 L/mm | [400:100:800] |
吸粉口宽度 W/mm | [100:50:300] |
Table 2 Variation range and level of main factors
结构参数Structure parameter | 变化范围Range of variation |
---|---|
进粉管内径 D/mm | [100:25:200] |
吸粉口长度 L/mm | [400:100:800] |
吸粉口宽度 W/mm | [100:50:300] |
水平Level | 进粉管内径 D/mm | 吸粉口长度 L/mm | 吸粉口宽度 W/mm |
---|---|---|---|
-1 | 150 | 500 | 150 |
0 | 175 | 600 | 200 |
1 | 200 | 700 | 250 |
Table 3 Levels and codes of experimental factors
水平Level | 进粉管内径 D/mm | 吸粉口长度 L/mm | 吸粉口宽度 W/mm |
---|---|---|---|
-1 | 150 | 500 | 150 |
0 | 175 | 600 | 200 |
1 | 200 | 700 | 250 |
试验编号 Test number | 进粉管内径 Diameter of the tube D/mm | 吸粉口长度 Length of the inlet L/mm | 吸粉口宽度 Width of the inlet W/mm | 流速变异系数 Velocity variation coefficient CV/% | 全压差 Differential pressure |
---|---|---|---|---|---|
1 | 175 | 600 | 200 | 17.51 | 268.44 |
2 | 200 | 600 | 250 | 21.47 | 245.85 |
3 | 200 | 500 | 200 | 19.32 | 216.38 |
4 | 175 | 600 | 200 | 16.38 | 269.58 |
5 | 150 | 600 | 250 | 30.56 | 325.44 |
6 | 175 | 500 | 250 | 28.71 | 226.65 |
7 | 200 | 600 | 150 | 23.36 | 211.93 |
8 | 175 | 700 | 150 | 37.44 | 247.29 |
9 | 175 | 500 | 150 | 30.48 | 218.46 |
10 | 150 | 500 | 200 | 28.58 | 275.07 |
11 | 175 | 600 | 200 | 18.45 | 270.93 |
12 | 175 | 600 | 200 | 19.01 | 271.23 |
13 | 200 | 700 | 200 | 20.63 | 243.52 |
14 | 150 | 700 | 200 | 36.67 | 348.36 |
15 | 175 | 600 | 200 | 17.95 | 269.94 |
16 | 175 | 700 | 250 | 29.42 | 309.47 |
17 | 150 | 600 | 150 | 35.34 | 297.24 |
Table 4 Experiment plan and results
试验编号 Test number | 进粉管内径 Diameter of the tube D/mm | 吸粉口长度 Length of the inlet L/mm | 吸粉口宽度 Width of the inlet W/mm | 流速变异系数 Velocity variation coefficient CV/% | 全压差 Differential pressure |
---|---|---|---|---|---|
1 | 175 | 600 | 200 | 17.51 | 268.44 |
2 | 200 | 600 | 250 | 21.47 | 245.85 |
3 | 200 | 500 | 200 | 19.32 | 216.38 |
4 | 175 | 600 | 200 | 16.38 | 269.58 |
5 | 150 | 600 | 250 | 30.56 | 325.44 |
6 | 175 | 500 | 250 | 28.71 | 226.65 |
7 | 200 | 600 | 150 | 23.36 | 211.93 |
8 | 175 | 700 | 150 | 37.44 | 247.29 |
9 | 175 | 500 | 150 | 30.48 | 218.46 |
10 | 150 | 500 | 200 | 28.58 | 275.07 |
11 | 175 | 600 | 200 | 18.45 | 270.93 |
12 | 175 | 600 | 200 | 19.01 | 271.23 |
13 | 200 | 700 | 200 | 20.63 | 243.52 |
14 | 150 | 700 | 200 | 36.67 | 348.36 |
15 | 175 | 600 | 200 | 17.95 | 269.94 |
16 | 175 | 700 | 250 | 29.42 | 309.47 |
17 | 150 | 600 | 150 | 35.34 | 297.24 |
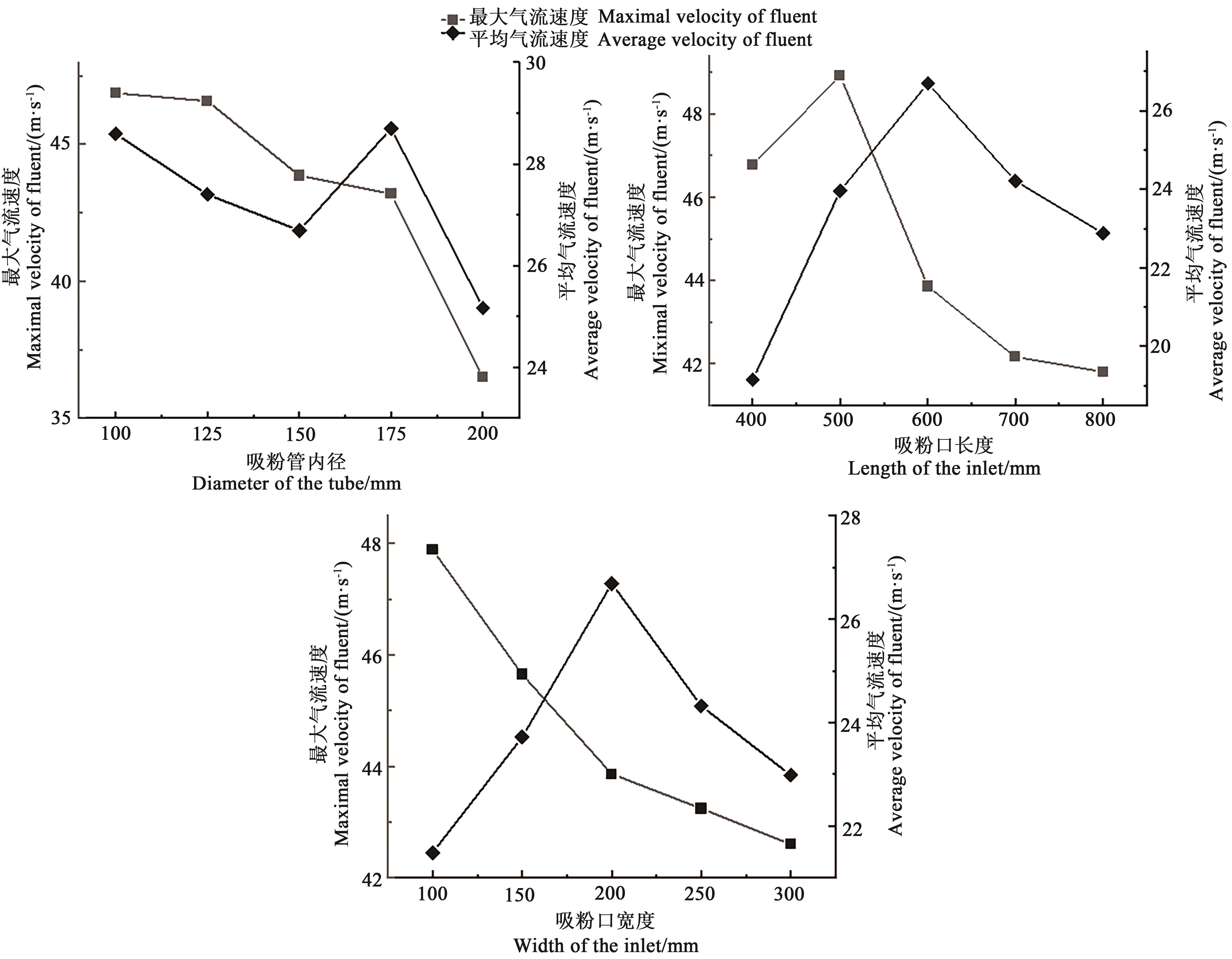
变量 Variate | 数值 Value | y:速度平均值 Average of velocity/(m·s-1) | 标准差 Standard deviation | 流速变异系数 Velocity variation coefficient CV/% | 全压差 Differential pressure |
---|---|---|---|---|---|
D:进粉管内径 Diameter of the tube/mm | 100 | 28.59 | 11.23 | 39.27 | 421.66 |
125 | 27.40 | 8.39 | 30.64 | 395.83 | |
150 | 26.69 | 6.03 | 22.59 | 357.24 | |
175 | 28.70 | 5.13 | 17.86 | 269.71 | |
200 | 25.17 | 3.85 | 15.31 | 244.59 | |
L:吸粉口长度 Length of the inlet/mm | 400 | 19.15 | 6.35 | 33.21 | 236.12 |
500 | 23.96 | 6.84 | 28.58 | 279.07 | |
600 | 26.69 | 7.55 | 28.32 | 314.58 | |
700 | 24.21 | 8.88 | 36.67 | 348.36 | |
800 | 22.88 | 9.33 | 40.79 | 367.54 | |
W:吸粉口宽度 Width of the inlet/mm | 100 | 21.48 | 8.92 | 41.53 | 265.89 |
150 | 23.72 | 8.38 | 35.34 | 327.24 | |
200 | 26.69 | 7.33 | 27.47 | 368.62 | |
250 | 24.32 | 7.43 | 30.56 | 394.44 | |
300 | 22.98 | 7.65 | 33.29 | 423.97 |
Table 5 Variation coefficient and total pressure difference under different variables
变量 Variate | 数值 Value | y:速度平均值 Average of velocity/(m·s-1) | 标准差 Standard deviation | 流速变异系数 Velocity variation coefficient CV/% | 全压差 Differential pressure |
---|---|---|---|---|---|
D:进粉管内径 Diameter of the tube/mm | 100 | 28.59 | 11.23 | 39.27 | 421.66 |
125 | 27.40 | 8.39 | 30.64 | 395.83 | |
150 | 26.69 | 6.03 | 22.59 | 357.24 | |
175 | 28.70 | 5.13 | 17.86 | 269.71 | |
200 | 25.17 | 3.85 | 15.31 | 244.59 | |
L:吸粉口长度 Length of the inlet/mm | 400 | 19.15 | 6.35 | 33.21 | 236.12 |
500 | 23.96 | 6.84 | 28.58 | 279.07 | |
600 | 26.69 | 7.55 | 28.32 | 314.58 | |
700 | 24.21 | 8.88 | 36.67 | 348.36 | |
800 | 22.88 | 9.33 | 40.79 | 367.54 | |
W:吸粉口宽度 Width of the inlet/mm | 100 | 21.48 | 8.92 | 41.53 | 265.89 |
150 | 23.72 | 8.38 | 35.34 | 327.24 | |
200 | 26.69 | 7.33 | 27.47 | 368.62 | |
250 | 24.32 | 7.43 | 30.56 | 394.44 | |
300 | 22.98 | 7.65 | 33.29 | 423.97 |
响应 Response | 来源 Source | 平方和 Sum of squares | 自由度 Degree of freedom | 均方 Mean square | F值 F value | P值 P value | 显著性Significance |
---|---|---|---|---|---|---|---|
流速变异系数 Velocity variation coefficient/% | 模型Model | 820.18 | 9 | 91.13 | 81.58 | <0.000 1 | ** |
D | 268.77 | 1 | 268.77 | 240.62 | <0.000 1 | ** | |
L | 36.42 | 1 | 36.42 | 32.61 | 0.000 7 | ** | |
W | 33.87 | 1 | 33.87 | 30.32 | 0.000 9 | ** | |
DL | 11.49 | 1 | 11.49 | 10.29 | 0.014 9 | * | |
DW | 2.09 | 1 | 2.09 | 1.87 | 0.213 8 | ||
LW | 9.77 | 1 | 9.77 | 8.74 | 0.021 2 | * | |
22.37 | 1 | 22.37 | 20.03 | 0.002 9 | ** | ||
158.48 | 1 | 158.48 | 141.87 | <0.000 1 | ** | ||
237.95 | 1 | 237.95 | 213.02 | <0.000 1 | ** | ||
残差Residual | 7.82 | 7 | 1.12 | ||||
失拟Lack of fit | 3.83 | 3 | 1.28 | 1.28 | 0.395 3 | ||
误差Error | 3.99 | 4 | 1.00 | ||||
总和Summation | 828.00 | 16 | |||||
全压差 Differential pressure | 模型Model | 23 773.96 | 9 | 2 641.55 | 627.51 | <0.000 1 | ** |
D | 13 483.28 | 1 | 13 483.28 | 3 203.01 | <0.000 1 | ** | |
L | 5 622.24 | 1 | 5 622.24 | 1 335.59 | <0.000 1 | ** | |
W | 2 194.20 | 1 | 2 194.20 | 521.24 | <0.000 1 | ** | |
DL | 532.46 | 1 | 532.46 | 126.49 | <0.000 1 | ** | |
DW | 8.18 | 1 | 8.18 | 1.94 | 0.206 0 | ||
LW | 728.73 | 1 | 728.73 | 173.11 | <0.000 1 | ** | |
440.47 | 1 | 440.47 | 104.64 | <0.000 1 | ** | ||
373.59 | 1 | 373.59 | 88.75 | <0.000 1 | ** | ||
432.67 | 1 | 432.67 | 102.78 | <0.000 1 | ** | ||
残差Residual | 29.47 | 1 | 4.21 | <0.000 1 | ** | ||
失拟Lack of fit | 24.48 | 1 | 8.16 | 6.54 | 0.050 6 | ||
误差Erro | 4.99 | 4 | 1.25 | ||||
总和Summation | 23 803.42 | 16 |
Table 6 Results of response surface analysis of variance
响应 Response | 来源 Source | 平方和 Sum of squares | 自由度 Degree of freedom | 均方 Mean square | F值 F value | P值 P value | 显著性Significance |
---|---|---|---|---|---|---|---|
流速变异系数 Velocity variation coefficient/% | 模型Model | 820.18 | 9 | 91.13 | 81.58 | <0.000 1 | ** |
D | 268.77 | 1 | 268.77 | 240.62 | <0.000 1 | ** | |
L | 36.42 | 1 | 36.42 | 32.61 | 0.000 7 | ** | |
W | 33.87 | 1 | 33.87 | 30.32 | 0.000 9 | ** | |
DL | 11.49 | 1 | 11.49 | 10.29 | 0.014 9 | * | |
DW | 2.09 | 1 | 2.09 | 1.87 | 0.213 8 | ||
LW | 9.77 | 1 | 9.77 | 8.74 | 0.021 2 | * | |
22.37 | 1 | 22.37 | 20.03 | 0.002 9 | ** | ||
158.48 | 1 | 158.48 | 141.87 | <0.000 1 | ** | ||
237.95 | 1 | 237.95 | 213.02 | <0.000 1 | ** | ||
残差Residual | 7.82 | 7 | 1.12 | ||||
失拟Lack of fit | 3.83 | 3 | 1.28 | 1.28 | 0.395 3 | ||
误差Error | 3.99 | 4 | 1.00 | ||||
总和Summation | 828.00 | 16 | |||||
全压差 Differential pressure | 模型Model | 23 773.96 | 9 | 2 641.55 | 627.51 | <0.000 1 | ** |
D | 13 483.28 | 1 | 13 483.28 | 3 203.01 | <0.000 1 | ** | |
L | 5 622.24 | 1 | 5 622.24 | 1 335.59 | <0.000 1 | ** | |
W | 2 194.20 | 1 | 2 194.20 | 521.24 | <0.000 1 | ** | |
DL | 532.46 | 1 | 532.46 | 126.49 | <0.000 1 | ** | |
DW | 8.18 | 1 | 8.18 | 1.94 | 0.206 0 | ||
LW | 728.73 | 1 | 728.73 | 173.11 | <0.000 1 | ** | |
440.47 | 1 | 440.47 | 104.64 | <0.000 1 | ** | ||
373.59 | 1 | 373.59 | 88.75 | <0.000 1 | ** | ||
432.67 | 1 | 432.67 | 102.78 | <0.000 1 | ** | ||
残差Residual | 29.47 | 1 | 4.21 | <0.000 1 | ** | ||
失拟Lack of fit | 24.48 | 1 | 8.16 | 6.54 | 0.050 6 | ||
误差Erro | 4.99 | 4 | 1.25 | ||||
总和Summation | 23 803.42 | 16 |
试验组别 Test group | 1 | 2 | 3 | 仿真平均值 Simulated average | 预测值 Predicted average | 相对误差 Relative error/% |
---|---|---|---|---|---|---|
流速变异系数 Velocity variation coefficient/% | 16.32 | 15.99 | 15.78 | 16.03 | 15.28 | 4.91 |
全压差 Differential pressure/Pa | 241.46 | 239.47 | 234.19 | 238.37 | 230.46 | 3.39 |
Table 7 Simulation verification results
试验组别 Test group | 1 | 2 | 3 | 仿真平均值 Simulated average | 预测值 Predicted average | 相对误差 Relative error/% |
---|---|---|---|---|---|---|
流速变异系数 Velocity variation coefficient/% | 16.32 | 15.99 | 15.78 | 16.03 | 15.28 | 4.91 |
全压差 Differential pressure/Pa | 241.46 | 239.47 | 234.19 | 238.37 | 230.46 | 3.39 |
1 | 吴辉,熊朝,刘爱民,等. 杂交水稻机械化制种辅助授粉技术研究现状与设想[J].作物研究,2014,28(3):321-323, 327. |
WU H, XIONG C, LIU A M, et al.. Research status and prospects of assisted pollination techniques for mechanized seed production of hybrid rice [J]. Crop Res., 2014, 28(3):321-323, 327. | |
2 | 彭少兵. 转型时期杂交水稻的困境与出路[J].作物学报,2016,42(3):313-319. |
PENG S B. Difficulties and solutions of hybrid rice in transition period [J]. Acta Agron. Sin., 2016, 42(3):313-319. | |
3 | 袁珅. 常规稻和杂交稻在节本栽培条件下的农学表现及能量与经济分析[D]. 武汉:华中农业大学,2020. |
YUAN S. Agronomic performance, energy and economic analysis of conventional rice and hybrid rice under cost-saving cultivation conditions [D]. Wuhan:Huazhong Agricultural University, 2020. | |
4 | 王跃星,葛露方,朱旭东. 杂交水稻机械化制种技术研究的现状与展望[J].杂交水稻,2011,26(4):5-7, 47. |
WANG Y X, GE L F, ZHU X D. Research status and prospect of mechanized hybrid rice seed production [J]. Hybrid Rice, 2011, 26 (4) : 5-7, 47. | |
5 | 徐庆国,黄丰. 杂交水稻机械化种子生产技术的研究进展[J].农业工程学报,2010,26():37-41. |
XU Q G, HUANG F. Research progress in mechanized seed production technology of hybrid rice [J]. Trans. Chin. Soc. Agric. Eng., 2010, 26(S1):37-41. | |
6 | 黄崇德,季申清,黄河清,等. 杂交水稻机械采授粉制种实用新技术(EB/OL). (2006-01-01)[2021-12-17].. |
7 | 舒焜. 一种适于机械化采授粉的籼型杂交水稻制种技术:CN1169237A[P]. 1998-01-07. |
8 | KATHERINE E S, FEDERICO V, JASON C,et al.. Pollen preservation method:EP3648595[P]. 2020-05-13. |
9 | 张从合,王慧,冯冲,等. 一种保持禾本科作物离体花粉高活力的装置及方法: CN111328703A[P]. 2020-06-26. |
10 | 蒋宗谨. 双流式喷雾参数优化与猕猴桃授粉装置研制[D]. 咸阳:西北农林科技大学, 2020. |
JIANG Z J. Optimization of double-flow spray parameters and development of Kiwifruit pollination device [D]. Xianyang:Northwest A&F University, 2020. | |
11 | 王建伟. 无人机风场下的水稻花粉运动规律的研究[D]. 广州:华南农业大学, 2016. |
WANG J W. Study on rice pollen movement rule under uav wind field [D]. Guangzhou:South China Agricultural University,2016. | |
12 | 肖芬芳,张从合,刘斌美,等. 一种气吸式高活力花粉收集冷却装置及其方法:CN113875576A[P]. 2022-01-04. |
13 | 刘正怀,郑一平,王志明,等. 微型稻麦联合收获机气流式清选装置研究[J].农业机械学报,2015,46(7):102-108. |
LIU Z H, ZHENG Y P, WANG Z M, et al.. Design on air-flowing cleaning unit of micro rice-wheat combine harvester [J].Trans. Chin. Soc. Agric. Mach., 2015,46(7):102-108. | |
14 | 马秋成,雷林韬,卢安舸,等. 基于CFD-DEM耦合法的莲子壳仁分离装置优化与试验分析[J].食品与机械,2016,32(12):87-91. |
MA Q C, LEI L T, LU A G, et al.. Optimization and experimental analysis of separation device of lotus seed kernel based on CFD-DEM coupling method [J]. Food Mach., 2016, 32 (12) : 87-91. | |
15 | 张凤奎,张宏,兰海鹏,等. 基于CFD-EDM耦合的气吸式红枣捡拾机气力输送装置仿真分析[J].中国农业科技导报,2021,23(7):107-116. |
ZHANG F K, ZHANG H, LAN H P, et al.. Simulation and analysis of pneumatic conveying device based on CFD-EDM coupling [J]. J. Agric. Sci. Technol., 2021,23(7):107-116. | |
16 | 杨红杰. 统收式采棉机气力输送系统的设计及其动力学研究[D]. 石河子: 石河子大学, 2014. |
YANG H J. Design and dynamics study of pneumatic conveying system of integrated cotton picker [D]. Shihezi: Shihezi University, 2014. | |
17 | 彭宇源. 电动清扫车的新型清扫装置设计与流场仿真[D]. 镇江: 江苏大学, 2017. |
PENG Y Y. New cleaning device design and flow field simulation of electric sweeper [D]. Zhenjiang: Jiangsu University, 2017. | |
18 | 彭丽,柳冠青,董方,等. 基于CFD-DPM的旋风分离器结构设计优化[J].中国粉体技术,2021,27(2):63-73. |
PENG L, LIU G Q, DONG F, et al.. Based on CFD-DPM cyclone separator structure design optimization [J]. J. Powder Technol. China, 2021, 27 (2) : 63-73. | |
19 | 敬志臣,韩正晟,高爱民,等. 基于Fluent软件的旋风分离清选系统仿真研究[J].机械研究与应用,2014,27(6):25-27, 30. |
JING Z C, HAN Z S, GAO A M, et al.. Simulation research on cyclone separation and cleaning system based on fluent software [J]. Mech. Res. Appl., 2014,27(6):25-27, 30. | |
20 | 姬长英,张纯,顾宝兴,等. 梳割气吸一体式贡菊采摘机设计与试验[J].农业机械学报,2017,48(11):137-145. |
JI C Y, ZHANG C, GU B X, et al.. Design and experiment of shear-sucting mountain chrysanthemum picking machine [J].Trans. Chin. Soc. Agric. Mach., 2017, 48(11):137-145. | |
21 | 李赛飞,尤佳,韩长杰,等. 自走气吸式红枣捡拾机研制[J].中国农机化学报,2020,41(6):126-130. |
LI S F, YOU J, HAN C J, et al.. Development of self-propelled jujube suction pick-up machine [J]. J. Chin. Agric. Mech., 2020,41(6):126-130. | |
22 | 方明超,周磊.风机的选型[J].建材世界,2020,41(5):45-50. |
FANG M C, ZHOU L. Selection of fan [J]. Build. Materials World, 2020,41(5):45-50. | |
23 | TARPAGKOU R, PANTOKRATORAS A. CFD methodology for sedimentation tanks: the effect of secondary phase on fluid phase using DPM coupled calculations [J]. Appl. Math. Model., 2013,37(5): 3478-3494. |
24 | GARY J B, DAVID F F, JEREMY W L, et al.. Investigation of turbulence model selection on the predicted flow behaviour in an industrial crystalliser-RANS and URANS approaches [J]. Chem. Eng. Res. Design, 2018,140: 205-220. |
25 | 薛博茹,李永锋,胡艺萱,等. 基于CFD的进水管布设位置对沉降式固体颗粒排污影响的数值模拟[J].大连海洋大学学报,2021,36(4):620-628. |
XUE B R, LI Y F, HU Y X, et al.. Numerical simulation of the effect of water inlet pipe layout position on settling solid particle discharge based on CFD [J]. J. Dalian Ocean Univ., 2021, 36 (4) : 620-628. | |
26 | ZHAO B, SU Y, ZHANG J. Simulation of gas flow pattern and separation efficiency in cyclone with conventional single and spiral double inlet configuration [J]. Chem. Eng. Res. Design, 2006,84(12): 1158-1165. |
27 | 李炽. 道路清扫车的气力输送系统的节能研究[D]. 武汉:武汉理工大学, 2019. |
LI C. Research on energy saving of pneumatic conveying system of road sweeper [D]. Wuhan: Wuhan University of Technology, 2019. | |
28 | 姚福强,王永维,郝一枫,等.气力式杂交水稻制种授粉机授粉管结构参数优化[J].农业工程学报,2020,36(18):18-25. |
YAO F Q, WANG Y W, HAO Y F, et al.. Optimization of pollination tube structure parameters of pneumatic hybrid rice seed pollinator [J]. Trans. Chin. Soc. Agric. Eng., 2020,36(18):18-25. | |
29 | 段建,陈树人,张体强.黄花苜蓿收获机设计与试验[J].中国农机化学报,2021,42(8):10-17. |
DUAN J, CHEN S R, ZHANG T Q. Design and experiment of Medicago Falcata L. harvester [J]. J. Chin. Agric. Mechan., 2021,42(8):10-17. | |
30 | 葛宜元. 试验设计方法与 Design-Expert 软件应用[M]. 哈尔滨:哈尔滨工业大学出版社,2015:1-214. |
31 | 黄震. 杂交水稻制种碰撞式授粉机理研究[D]. 长沙:湖南农业大学,2013. |
HUANG Z. Mechanism of collision pollination in hybrid rice seed production [D]. Changsha:Hunan Agricultural University, 2013. | |
32 | 陈军. 杂交水稻制种机械化授粉机研制[D]. 杭州:浙江大学,2017. |
CHEN J. Development of mechanized pollinator for hybrid rice seed production [D]. Hangzhou: Zhejiang University, 2017. | |
33 | 李中秋. 杂交水稻制种气力碰撞组合式授粉参数与特性研究[D]. 长沙:湖南农业大学,2015. |
LI Z Q. Parameters and characteristics of hybrid rice combined pollination by pneumatic impact in seed production [D]. Changsha: Hunan Agricultural University, 2015. | |
34 | 王永维,何焯亮,陈军,等. 碰撞气吹式杂交水稻授粉机结构与参数优化[J].浙江大学学报(农业与生命科学版),2018,44(1):98-106. |
WANG Y W, HE C L, CHEN J, et al.. Structure and parameter optimization of impact air-blown hybrid rice pollinator [J]. J. Zhejiang Univ. (Agric. life Sci.), 2018,44(1):98-106. | |
35 | 肖育军. PCF型湿式脱硫除尘器结构的CFD优化研究[D]. 长沙:湖南大学, 2014. |
XIAO Y J. CFD optimization of THE STRUCTURE of PCF wet desulfurization precipitator [D]. Changsha:Hunan University, 2014. | |
36 | 徐云,李欣峰,肖田元,等.计算流体力学在清扫车仿真分析中的应用研究[J].系统仿真学报, 2004,16(2):270-273. |
XU Y, LI X F, XIAO T Y, et al.. Application of computational fluid dynamics in simulation analysis of sweeper [J]. J. Syst. Simulation, 2004,16(2):270-273. | |
37 | 杨春朝,章易程,欧阳智江,等. 基于流场模拟的真空清扫车吸尘口的参数设计[J].中南大学学报(自然科学版),2012,43(9):3704-3709. |
YANG C C, ZHANG Y C, OUYANG Z J, et al.. Parametric design of dust collection port of vacuum sweeper based on flow simulation [J]. J. Central South Univ. (Sci. Technol.), 2012,43(9):3704-3709. |
[1] | Bei MA, Jie GONG, Yinke DU, Yuwei GAN, Rong CHENG, Bo ZHU, Lixia YI, Jinxiu MA, Shiqing GAO. Identification and Expression Analysis of TaINP1 Gene Related to Pollen Pore Development in Wheat [J]. Journal of Agricultural Science and Technology, 2025, 27(4): 22-35. |
[2] | Yunxing WAN, Ziyang YAN, Jun YAO, Liming GUO, Jinzhong ZHU, Jianning TANG, Caiyun QIAO, Haiou KUANG, Xueyang GONG, Dan YUE, Wenzheng ZHAO. Study on the Flowering Biology and Pollination Characteristics of Goji Berries [J]. Journal of Agricultural Science and Technology, 2024, 26(9): 34-43. |
[3] | Yudan ZHANG, Weimin WANG, Bo NI, Xiaohan MA, Junling LI, Zicheng XU, Wei JIA, Jiuchang SHI. Extraction Optimization of Chlorogenic Acid from Tobacco Stalk and Its Antifungal Effect [J]. Journal of Agricultural Science and Technology, 2023, 25(1): 119-127. |
[4] | JIANG Xuehai, LUO Deqiang, LI Min, JI Guangmei, JIANG Mingjin, LI Lijiang, Li Ganghua, ZHOU Weijia, ZHANG Jiafeng. Influences of Planting Density on Yield and Nitrogen Use Efficiency in New Indica Hybrid Rice Varieties by Bowl-Seedling-Mechanical-Transplanting [J]. Journal of Agricultural Science and Technology, 2021, 23(8): 173-184. |
[5] | WANG Jie1,2, ZHAO Yang1*, WANG Lei2*. Obtaining and Identification of a Novel Cytoplasmic Male Sterile Line From Maize [J]. Journal of Agricultural Science and Technology, 2019, 21(3): 28-33. |
[6] | DAI Zou, WANG Chunyu, LI Na, JIANG Mingjin, YAN Fengjun, XU Hui, SUN Yongjian, MA Jun*. Effects of Combined Application of Selenium and Silicon on Cadmium and Mineral Elements in Hybrid Rice (Oryza sativa L.) under Cadmium Stress#br# [J]. Journal of Agricultural Science and Technology, 2017, 19(1): 108-117. |
[7] | XIONG Xia-yu, ZENG Xin-an*| WANG Man-sheng, ZHANG Zhi-hong. Studies on Optimization of Extraction Technology Assisted by Pulsed Electric Field of Total Flavonolds from Rape Pollen Using Response Surface Methodology [J]. Journal of Agricultural Science and Technology, 2015, 17(5): 88-93. |
[8] | XU Fu-xian1, YAN Yun-de2, XIONG Hong1, ZHANG Lin1, GUO Xiao-yi1, ZHU Yong-chuan1. Studies on Sink-source Characteristics of Mid-season Hybrid Rice for High Yield in Winter Water Logged Field [J]. , 2013, 15(2): 144-152. |
[9] | XU Fuxian, GUO Xiaoyi, ZHANG Lin, XIONG Hong, ZHU Yongchuan, LIU Mao, ZHOU Xi. Effects of Sinksource Structures on Filling of Superior and Inferior Spikelets of Midseason Hybrid Rice [J]. , 2013, 15(1): 96-101. |
[10] | XU Fu-xian, XIONG Hong, ZHANG Lin, GUO Xiao-yi, ZHU Yong-chuan, ZHOU Xing-bing, . Effect of Nitrogen Application on Accumulation and Distribution of Nitrogen, Phosphorus, Potassium and Dry Matter of Mid-season Hybrid Rice in Winter Paddy Field [J]. , 2012, 14(2): 118-126. |
[11] | LI Yun-shuang1, JIN Fang1, YANG Xi-xia1, ZHANG Feng-shou2, ZHANG Tao2, SU Ying2,. Effect of Electron Beam Irradiation on Germination Rate of Abelmoschus manihots Pollen [J]. , 2011, 13(3): 97-101. |
[12] | LV Chuan-gen1, HU Ning2, YAO Ke-min2, ZOU Jiang-shi1. Ecotype Model Analysis on Crop Growth Rate of Two-Line Hybrid Rice, Liangyoupeijiu (Oryza Sativa) [J]. , 2010, 12(4): 62-67. |
[13] | HU Pei-song. Development and Technological Innovation of Hybrid Rice Industry [J]. , 2010, 12(2): 17-23. |
[14] | WANG Nai-yuan. Expiorations and Studies on CMS-FA Hybrid Rice Breeding Technology [J]. , 2009, 11(S2): 7-12. |
[15] | LV Ze-lin, DENG Xian-kang, YANG Hang. Breeding and Application of Quasic-aromatic Hybrid Rice Yixiang 101 with High Yield and Fine Quality [J]. , 2009, 11(S2): 82-84. |
Viewed | ||||||
Full text |
|
|||||
Abstract |
|
|||||