Journal of Agricultural Science and Technology ›› 2022, Vol. 24 ›› Issue (7): 205-217.DOI: 10.13304/j.nykjdb.2021.1020
• MARINE AGRICULTURE & FRESHWATER FISHERIES • Previous Articles
Boqiong WU(), Dongyao CUI, Renhe JIAO, Jian SONG, Yaoyao ZHAN, Yaqing CHANG(
)
Received:
2021-11-30
Accepted:
2022-04-12
Online:
2022-07-15
Published:
2022-08-15
Contact:
Yaqing CHANG
武博琼(), 崔东遥, 焦仁和, 宋坚, 湛垚垚, 常亚青(
)
通讯作者:
常亚青
作者简介:
武博琼 E-mail: 18634710693@163.com;
基金资助:
CLC Number:
Boqiong WU, Dongyao CUI, Renhe JIAO, Jian SONG, Yaoyao ZHAN, Yaqing CHANG. Cloning of Hexokinase Gene from Strongylocentrotus intermedius and Its Expression Response to High Temperature-acidification Stress[J]. Journal of Agricultural Science and Technology, 2022, 24(7): 205-217.
武博琼, 崔东遥, 焦仁和, 宋坚, 湛垚垚, 常亚青. 中间球海胆己糖激酶基因克隆及高温-酸化胁迫对其表达影响的初步研究[J]. 中国农业科技导报, 2022, 24(7): 205-217.
Add to citation manager EndNote|Ris|BibTeX
URL: https://nkdb.magtechjournal.com/EN/10.13304/j.nykjdb.2021.1020
处理 Treatment | 温度 Temperature/℃ | pHNBS | 盐度 Salinaty/PPT | 总碱度 TA/(µmol·kg-1) | 二氧化碳分压 pCO2/kPa |
---|---|---|---|---|---|
CK | 20.10±0.30 | 8.10±0.03 | 31.21±0.20 | 2 360.45±24.18 | 53.44±2.55 |
HC | 23.20±0.30 | 8.10±0.03 | 31.33±0.21 | 2 363.32±25.34 | 54.35±3.26 |
LO | 20.30±0.30 | 7.62±0.04 | 31.25±0.12 | 2 360.88±20.33 | 179.87±5.44 |
HO | 23.00±0.30 | 7.61±0.03 | 31.18±0.13 | 2 349.54±26.42 | 189.17±7.00 |
Table1 Seawater parameters of each treatment
处理 Treatment | 温度 Temperature/℃ | pHNBS | 盐度 Salinaty/PPT | 总碱度 TA/(µmol·kg-1) | 二氧化碳分压 pCO2/kPa |
---|---|---|---|---|---|
CK | 20.10±0.30 | 8.10±0.03 | 31.21±0.20 | 2 360.45±24.18 | 53.44±2.55 |
HC | 23.20±0.30 | 8.10±0.03 | 31.33±0.21 | 2 363.32±25.34 | 54.35±3.26 |
LO | 20.30±0.30 | 7.62±0.04 | 31.25±0.12 | 2 360.88±20.33 | 179.87±5.44 |
HO | 23.00±0.30 | 7.61±0.03 | 31.18±0.13 | 2 349.54±26.42 | 189.17±7.00 |
引物名称 Primer name | 引物序列 Primer sequences(5’-3’) | 用途 Application | 退火温度Temperature/℃ |
---|---|---|---|
SiHK-F1 | AATGCCTGGCGAACAAAATACAG | SiHK-1 | 54 |
SiHK-R1 | ATCACTGCTACTATGTCAACTCG | ||
SiHK-F2 | ATTCCCCTCGGTTTCACCTTTTC | SiHK-2 | 60 |
SiHK-R2 | ATACCCGAGGCAATCAGTCTGGC | ||
SiHK-F3 | GCCAGACTGATTGCCTCGGGTAT | SiHK-3 | 57 |
SiHK-R3 | GTACGTCCTTACAGTCCAGCAGA | ||
SiHK-5-out | TCACCCACATCACACGGAAGTTG | 5’RACE | 60 |
SiHK-5-in | GCATTGAGAGCAGCCTTCAGACC | 5’RACE | 61 |
SiHK-3-out | CAATACAACCATCTGCTGGACTG | 3’RACE | 56 |
SiHK-3-in | TTCAATAAGCAAGAACATCAGGC | 3’RACE | 53 |
UPM | CTAATACGACTCACTATAGGGCAAGCAGTGGTAACAACGCAGAGT | RACE | 67 |
NUP | CTAATACGACTCACTATAGGGC | RACE | 52 |
SiHK-F | ACTCCATCGTCTCCGAATGC | qPCR | 60 |
SiHK-R | CAACGCCTGCTACATGGAAG | qPCR | 60 |
β-actin-F | ACAGGGAAAAGATGGCACAGA | qPCR | 60 |
β-actin-R | AGAGGCGTAGAGGGAAAGCAC | qPCR | 60 |
Table 2 Primers used in this study
引物名称 Primer name | 引物序列 Primer sequences(5’-3’) | 用途 Application | 退火温度Temperature/℃ |
---|---|---|---|
SiHK-F1 | AATGCCTGGCGAACAAAATACAG | SiHK-1 | 54 |
SiHK-R1 | ATCACTGCTACTATGTCAACTCG | ||
SiHK-F2 | ATTCCCCTCGGTTTCACCTTTTC | SiHK-2 | 60 |
SiHK-R2 | ATACCCGAGGCAATCAGTCTGGC | ||
SiHK-F3 | GCCAGACTGATTGCCTCGGGTAT | SiHK-3 | 57 |
SiHK-R3 | GTACGTCCTTACAGTCCAGCAGA | ||
SiHK-5-out | TCACCCACATCACACGGAAGTTG | 5’RACE | 60 |
SiHK-5-in | GCATTGAGAGCAGCCTTCAGACC | 5’RACE | 61 |
SiHK-3-out | CAATACAACCATCTGCTGGACTG | 3’RACE | 56 |
SiHK-3-in | TTCAATAAGCAAGAACATCAGGC | 3’RACE | 53 |
UPM | CTAATACGACTCACTATAGGGCAAGCAGTGGTAACAACGCAGAGT | RACE | 67 |
NUP | CTAATACGACTCACTATAGGGC | RACE | 52 |
SiHK-F | ACTCCATCGTCTCCGAATGC | qPCR | 60 |
SiHK-R | CAACGCCTGCTACATGGAAG | qPCR | 60 |
β-actin-F | ACAGGGAAAAGATGGCACAGA | qPCR | 60 |
β-actin-R | AGAGGCGTAGAGGGAAAGCAC | qPCR | 60 |
Fig. 1 Nucleotide and deduced amino acid sequence of SiHK in Strongylocentrotus intermediusNote:Letter in the frame is the starting codon (ATG); * indicates the terminating codon (TGA); underline represents the amino acid sequence encoded by the SiHK protein; grey region represents the COG5026 domain; double underlined area ( AATAA) is the unstable factor in 3’-UTR.
Fig. 2 Secondary structure prediction and comparison of hexokinase betweenA:Predicted secondary structure of SiHK in Strongylocentrotus intermedius; B:Comparison of HK secondary structure among S. intermedius (SiHK), Strongylocentrotus purpuratus (SpHK) and Apostichopus japonicus (AjHK)
Fig. 3 3D structure prediction of SiHKA:SiHK protein from Strongylocentrotus intermedius;B:HK protein from Homo spains;in the yellow framed area, the club structure represents the phosphate group recognition site, the surrounding protein structure is the enzyme active center, and the yellow dotted line represents the salt bridge.
Fig. 4 Phylogenetic analysis of deduced amino acid sequences of SiHKNote:SiHK is marked with black arrow, the numbers at the tree nodes indicate the percentage of bootstrapping after 1 000 replicates.
Fig. 5 Relative expression of SiHK and total SiHK activities in different tissues of Strongylocentrotus intermediusNote:Different lowercase letters indicate significant differences between different tissues at P<0.05 level.
指标 Index | 组织 Organ | 因子Factor | ||
---|---|---|---|---|
高温 High temperature | 酸化Acidification | 高温×酸化 High temperature×acidification | ||
SiHK表达量 Relative expression level of SiHK | 肠 Intestine | 77.918** | 85.696** | 117.932** |
性腺 Gonad | 0.320 | 4.173* | 29.133** | |
总SiHK酶活力 Total SiHK activity | 肠 Intestine | 9.217* | 2.553 | 3.690 |
性腺 Gonad | 13.046* | 0.486 | 101.034** |
Table 3 Two-way ANOVA of effects of high temperature-acidification stress on relative expression and total enzyme activities of SiHK
指标 Index | 组织 Organ | 因子Factor | ||
---|---|---|---|---|
高温 High temperature | 酸化Acidification | 高温×酸化 High temperature×acidification | ||
SiHK表达量 Relative expression level of SiHK | 肠 Intestine | 77.918** | 85.696** | 117.932** |
性腺 Gonad | 0.320 | 4.173* | 29.133** | |
总SiHK酶活力 Total SiHK activity | 肠 Intestine | 9.217* | 2.553 | 3.690 |
性腺 Gonad | 13.046* | 0.486 | 101.034** |
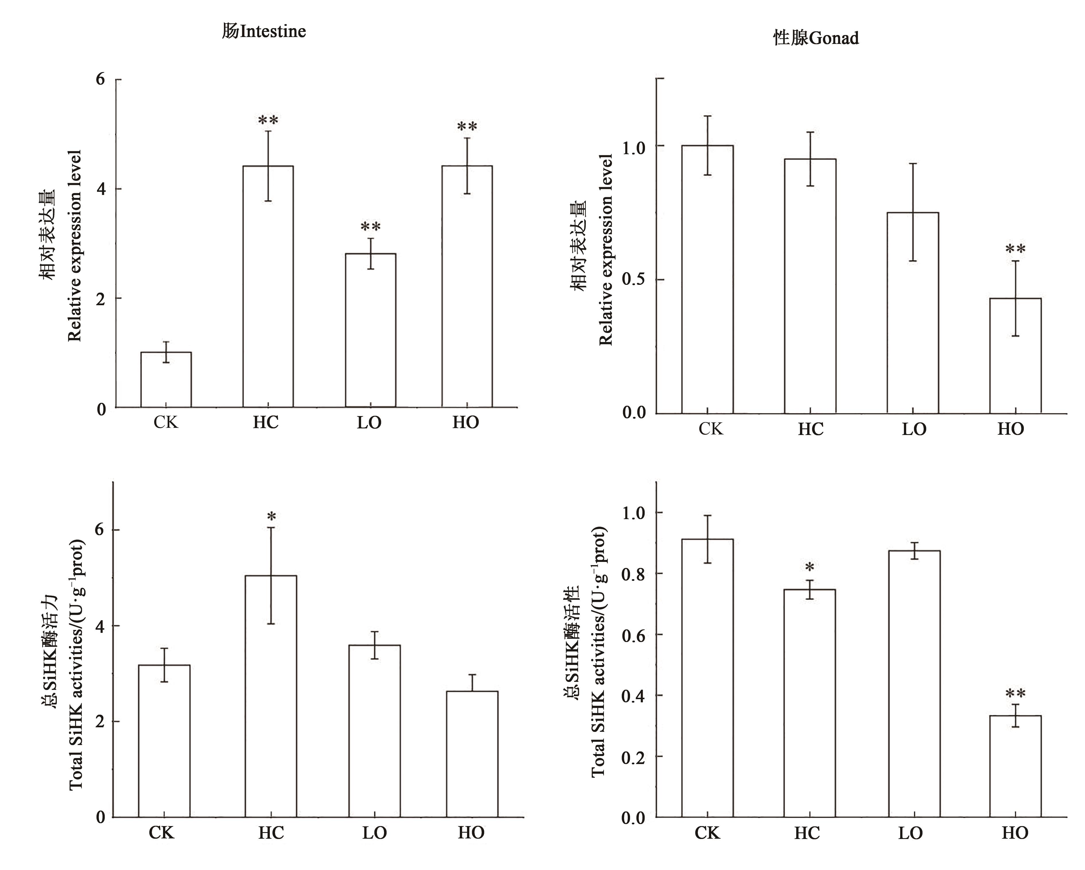
Fig. 6 Relative expression level of SiHK and the total SiHK activities under different treatmentsNote:* and ** indicate significant differences between treatment CK at P<0.05 and P<0.01 levels, respectively.
1 | CALDEIRA K, WICKETT M E. Oceanography: anthropogenic carbon and ocean pH [J]. Nature, 2003, 425(6956):365-365. |
2 | 石莉,桂静,吴克勤.海洋酸化及国际研究动态[J].海洋科学进展,2011,29(1):122-128. |
SHI L, GUI J, WU K Q. Developments in international studies on ocean acidification [J]. Adv. Mar. Sci., 2011, 29(1):122-128. | |
3 | HESTER K C, PELTZER E T, KIRKWOOD W J, et al.. Unanticipated consequences of ocean acidification: a noisier ocean at lower pH [J]. Geophys. Res. Lett., 2008, 35(19):402-411. |
4 | RIEBESELL U. Climate change: acid test for marine biodiversity [J]. Nature, 2008, 454(7200):46-47. |
5 | 秦艳杰,宋晓楠,李霞,等.海洋酸化和升温对中间球海胆幼虫发育和生长的影响[J].大连海洋大学学报,2013,28(5):450-455. |
QIN Y J, SONG X N, LI X, et al.. Effects of ocean acidification and warming on growth and development in larval sea urchin Strongylocentrotus intermedius [J]. J. Dalian Ocean Univ., 2013, 28(5):450-455. | |
6 | 卢羽洁.海洋酸化及变暖对刺参主要生理生态过程和免疫的影响[D].大连:大连海洋大学, 2017. |
LU Y J. Effects of ocean acidification and warming on physio-ecological process and immune responses of sea cucumber Apostichopus japonicus (Selenka) [D]. Dalian: Dalian Ocean University, 2017. | |
7 | 尹文露,崔东遥,李莹莹,等.中间球海胆丙酮酸激酶(PK)基因克隆及其对海水酸化的响应[J].大连海洋大学学报,2020,35(3):360-367. |
YIN W L, CUI D Y, LI Y Y, et al.. Cloning and response of pyruvate kinase (PK) gene to seawater acidification in sea urchin Strongylocentrotus intermedius [J]. J. Dalian Ocean Univ., 2020, 35(3):360-367. | |
8 | 李笑.海水酸化和升温对日本鼓虾和马粪海胆氧化应激和能量代谢的影响[D].烟台:中国科学院大学,2020. |
LI X. Effects of seawater acidification and thermal sterss on the antioxidant responses and energy metabolism of Alpheus japonicus miers [D]. Yantai: Chinese Academy of Sciences, 2020. | |
9 | GREENBERG D M, MATSUO Y, ROTHSTEIN M. Metabolic pathways of homoserine in the mammal [J]. J. Biol. Chem.. 1956, 221(2):679-687. |
10 | 汝玉涛.柞蚕EcR、USP和HK基因的克隆及表达研究[D].沈阳:沈阳农业大学,2018. |
RU Y T. The clone and expression research of ecdysone receptor and the ultraspiracle and hexokinase gene of Antheraea pernyi [D]. Shenyang: Shenyang Agricultural University, 2018. | |
11 | 王倩.己糖激酶1(HK1)在鹅肥肝形成中的作用及调控研究[D].扬州:扬州大学,2019. |
WANG Q. Study on the expression of hexokinase-1 in the development of goose fatty liver and the regulation of its function [D]. Yanghzou: Yangzhou University, 2018 | |
12 | 刘雅,王庆恒,郑哲,等.马氏珠母贝(Pinctada fucata martensii)Pm-HK基因的克隆及其对温度胁迫的响应[J].基因组学与应用生物学,2019,38(2):503-510. |
LI Y, WANG Q H, ZHENG Z, et al.. Cloning of Pm-HK gene of Pinctada fucata martensii and its response to temperature stress [J]. Gen. App. Biol., 2019, 38(2):503-510. | |
13 | 郭彪,王芳,侯纯强,等.温度突变对凡纳滨对虾己糖激酶和丙酮酸激酶活力以及热休克蛋白表达的影响[J].中国水产科学,2008,15(5):885-889. |
GUO B, WANG F, HOU C Q, et al.. Effects of acute temperature fluctuation on HK and PK activity, HSP70 relative content in Litopenaeus vannamei [J]. J. Fish. Sci. China, 2008, 15(5):885-889. | |
14 | 常亚青,丁君,宋坚,等.海参海胆生物学研究与养殖[M].北京:海洋出版社,2004:211-216. |
CHANG Y Q, DING J, SONG J, et al.. Biological Study and Breeding of Sea Cucumber and Sea Urchin [M].Beijing: Maritime Press, 2004:211-216. | |
15 | WANG H, ZHAO W F, DING B C, et al.. Comparative lipidomics profiling of the sea urchin, Strongylocentrotus intermedius [J/OL]. Comp. Biochem. Physiol. Part D, 2021, 40:100900 [2021-10-05]. . |
16 | 湛垚垚,黄显雅,段立柱,等.实验室模拟海水酸化系统[P].中华人民共和国国家知识产权局,ZL201320267332.7 |
17 | STOCKER T F, QIN D, PLATTNER G K, et al.. Contribution of working group to the fifth assessment report of the intergovernmental panel on climate change [C]// IPCC. Climate change 2013: the physical science basis. Cambridge: Cambridge University Press, 2007. |
18 | 余舜武,刘鸿艳,罗利军.利用不同实时定量PCR方法分析相对基因表达差异[J].作物学报,2007,33(7):1214-1218. |
YU S W, LIU H Y, LUO L J. Analysis of relative gene expression using different real-time quantitative PCR [J]. Acta Agron. Sin., 2007, 33(7):1214-1218. | |
19 | 崔东遥,任丽媛,邢冬飞,等.中间球海胆乳酸脱氢酶基因克隆及其对海水酸化的响应[J].水产学报,2019,43(6):1423-1437. |
CUI D Y, REN L Y, XING D F, et al.. Identification and characterization of LDH gene and its response to seawater acidification in the sea urchin (Strongylocentrotus intermedius) [J]. J. Fish. China, 2019, 43(6):1423-1437. | |
20 | HU M Y, KATHARINA M, KREISS C M, et al.. Temperature modulates the effects of ocean acidification on intestinal ion transport in Atlantic Cod, Gadus morhua [J/OL]. Front. Physiol., 2016, 7:198 [2021-10-05]. . |
21 | KURIHARA H, YIN R, NISHIHARA G N, et al.. Effect of ocean acidification on growth, gonad development and physiology of the sea urchin Hemicentrotus pulcherrimus [J]. Aquat. Biol., 2013, 18(3):281-292. |
22 | STUMPP M, WREN J, MELZNER F, et al.. CO2 induced seawater acidification impacts sea urchin larval development I: Elevated metabolic rates decrease scope for growth and induce developmental delay [J]. Comp. Biochem. Physiol. A Mol. Integr. Physiol., 2011, 160(3):331-340. |
23 | YUAN X, SHAO S, DUPONT S, et al.. Impact of CO2-driven acidification on the development of the sea cucumber Apostichopus japonicas (Selenka) (Echinodermata: Holothuroidea) [J]. Mar. Pollut. Bull., 2015, 95(1):195-199. |
24 | WOOD H, SPICER J, WIDDICOMBE S. Ocean acidification may increase calcification rates, but at a cost [J]. Proc. Biol. Sci., 2008, 275(1644):1767-1773. |
25 | 郭蔼光.基础生物化学[M].第2版.北京:高等教育出版社,2009:151-158. |
GUO A G. Fundamentals of Biochemistry [M]. 2nd Ed n. Beijing: Higher Education Press, 2009:151-158. | |
26 | KATZEN H M, SCHIMKE R T. Multiple forms of hexokinase in the rat: tissue distribution, age dependency, and properties [J]. Proc. Natl. Acad. Sci. USA, 1965, 54:1218-1225. |
27 | DOBRETSOV S, COUTINHO R, RITTSCHOF D, et al.. The oceans are changing: impact of ocean warming and acidification on biofouling communities [J]. Biofouling, 2019, 35(5):1-11. |
28 | 许冰,贾爱芳,赵文献.温度对酶活性的影响[J].临床合理用药杂志,2010,3(7):28-28. |
29 | 常亚青,王子臣,王国江.温度和藻类饵料对虾夷马粪海胆摄食及生长的影响[J].水产学报,1999,23(1):69-76. |
CHANG Y Q, WANG Z C, WANG G J. Effect of temperature and algae on feeding and growth in sea urchin Strongylocentrotus intermedius [J]. J. Fish. China, 1999, 23(1):69-76. | |
30 | 马红悦,李玲,李艳艳,等.沙葱萤叶甲己糖激酶基因的克隆、相对表达量及RNA干扰效应[J].植物保护学报,2020,47(6):1211-1218. |
MA H Y, LI L, LI Y Y, et al.. Cloning, relative expression, and RNAi effects of the hexokinase gene in Galeruca daurica (Coleoptera: Chrysomelidae) [J]. J. Plant Prot., 2020, 47(6):1211-1218. | |
31 | 童欢, AKIBER C W,袁海荣,等.酸化温度对玉米秸秆厌氧水解酸化性能的影响[J].可再生能源,2020,38(8):995-1000. |
TONG H, AKIBER C W, YUAN H R, et al.. Effect of acidification temperature on anaerobic hydrolysis and acidogenesis of corn straw [J]. Renew. Energy Resour., 2020, 38(8):995-1000. | |
32 | ZHAN Y, CUI D, XING D, et al.. CO2-driven ocean acidification repressed the growth of adult sea urchin Strongylocentrotus intermedius by impairing intestine function [J/OL]. Mar. Pollut. Bull., 2020, 153:110944 [2021-10-05]. . |
33 | UTHICKE S, LIDDY M, NGUYEN H D, et al.. Interactive effects of near-future temperature increase and ocean acidification on physiology and gonad development in adult Pacific sea urchin, Echinometra sp. A [J]. Coral Reefs., 2014, 33(3):831-845. |
[1] | Hang CAO, Xinbing YANG, Yanlin LIU, Na HUO, Xiaokuan LIU, Xinyue LI. Physicochemical Properties and Enzyme Activities of Reconstituted Soils from Limestone Mines [J]. Journal of Agricultural Science and Technology, 2025, 27(8): 168-178. |
[2] | Zhining YANG, Xuke LU, Yapeng FAN, Yuping SUN, Xin YU, Liang WANG, Yongjian GAO, Gulijiayinashen Habuli, Gulishaxi Nasiyi, Wumuer Abudu, Hui HUANG, Menghao ZHANG, Lidong WANG, Xiao CHEN, Lei XIAO, Xinrui ZHANG, Shuai WANG, Xiugui CHEN, Junjuan WANG, Lixue GUO, Wenwei GAO, Wuwei YE. Response Mechanism of Cotton GhDMT7 Gene to 5-azacytidine [J]. Journal of Agricultural Science and Technology, 2025, 27(8): 28-35. |
[3] | Xueqing LIU, Jing WANG, Yi YANG, Huiqin WU, Yanhong WANG, Luyao WANG, Jiawei LU, Kaixuan ZHANG, Yuan ZHAI, Yan CHENG. Effect of Exogenous Ethephon on Defoliation and Yield of Pigmented Pepper [J]. Journal of Agricultural Science and Technology, 2025, 27(8): 36-46. |
[4] | Qi ZHOU, Qiang LIU, Jing ZHANG, Chaochao DENG, Zhenlong WANG, Yang LIU, Fang WU, Hao CHANG, Yanfang ZHOU, Cuicui SU, Zhiguo SHI, Zhengrui GAO, Fengjie MA. Effects of Organic Fertilizer Replacing Chemical Fertilizer on Yield and Soil Biological Characteristics of Pumpkin [J]. Journal of Agricultural Science and Technology, 2025, 27(7): 190-203. |
[5] | Jilin SUN, Jiaqi ZHANG, Fansen MENG, Silong SUN. Genome-wide Identification and Tissue Expression Pattern Analysis of HSP70 Gene Family in Thinopyrum elongatum [J]. Journal of Agricultural Science and Technology, 2025, 27(6): 28-38. |
[6] | Bei MA, Jie GONG, Yinke DU, Yuwei GAN, Rong CHENG, Bo ZHU, Lixia YI, Jinxiu MA, Shiqing GAO. Identification and Expression Analysis of TaINP1 Gene Related to Pollen Pore Development in Wheat [J]. Journal of Agricultural Science and Technology, 2025, 27(4): 22-35. |
[7] | Darong LI, Xiaoling LI, Wuxian ZHOU, Meide ZHANG, Xiaogang JIANG, Jinwen YOU, Hua WANG. Effects of Partial Substitution of Chemical Fertilizer with Organic Fertilizer on Growth and Soil Properties of Fritillaria hupehensis [J]. Journal of Agricultural Science and Technology, 2025, 27(3): 216-226. |
[8] | Xiaorong GUO, Ying LIU, Jiazhen FAN, Tao HUANG, Rong ZHOU. Bioinformatics Analysis of Porcine CREBRF Gene and Its Expression Pattern [J]. Journal of Agricultural Science and Technology, 2024, 26(9): 44-53. |
[9] | Xinyue BAO, Hongmin CHEN, Weiwei WANG, Yimiao TANG, Zhaofeng FANG, Jinxiu MA, Dezhou WANG, Jinghong ZUO, Zhanjun YAO. Cloning and Expression Analysis of Wheat TaCOBL-5 Genes [J]. Journal of Agricultural Science and Technology, 2024, 26(6): 11-21. |
[10] | Yangyang DU, Yuanyuan BAO, Xiangyu LIU, Xinyong ZHANG. Effects of Tartary Buckwheat Rotation on Enzyme Activities and Microorganisms in Rhizosphere Soil of Cultivated Potato in Yunnan Province [J]. Journal of Agricultural Science and Technology, 2024, 26(5): 192-200. |
[11] | Mingdi CHEN, Guihua HU, Haiwen ZHANG, Wangtian WANG. Bioinformatics and Expression Pattern Analysis of Rice RR Gene Family [J]. Journal of Agricultural Science and Technology, 2024, 26(5): 20-29. |
[12] | Tongyu ZHANG, Ying GOU, Qi LI, Li YANG. Effects of Ginseng Rust Rot on Ginseng Quality and Soil Related Factors [J]. Journal of Agricultural Science and Technology, 2024, 26(3): 124-133. |
[13] | Xudong ZHOU, Tianhua HAN, Yunxin SHEN, Zhufeng SHI, Biao HE, Mingying YANG, Weihua PEI, Yonghong HE, Peiwen YANG. Response Characteristics of Soil Microecology in Long-term Continuous Cropping Tobacco Field Under 4 Rotation Patterns [J]. Journal of Agricultural Science and Technology, 2024, 26(3): 174-187. |
[14] | Nigela Abuduwaili, Xiuzhen WEI, Jingjie MEN, Lingna CHEN, Yongkun CHEN, Gengqing HUANG. Bioinformatics and Expression Pattern Analysis of JAZ and MYC2-like Gene Family in Lavandula angustifolia [J]. Journal of Agricultural Science and Technology, 2024, 26(11): 79-90. |
[15] | Xingsheng YIN, Lingfeng BAO, Yongyu PU, Jiali SUN, Qing ZHANG, Haiping LI, Mingying YANG, Yueping LIN, Huaixin WANG, Yonghong HE, Peiwen YANG. Effects of Chemical Fertilizer Reduction Combined with Bio-organic Fertilization on Tobacco Soil Characteristics and Tobacco Bacterial Wilt Control [J]. Journal of Agricultural Science and Technology, 2023, 25(7): 122-131. |
Viewed | ||||||
Full text |
|
|||||
Abstract |
|
|||||