Journal of Agricultural Science and Technology ›› 2023, Vol. 25 ›› Issue (5): 168-175.DOI: 10.13304/j.nykjdb.2021.0850
• BIO-MANUFACTURING & RESOURCE AND ECOLOGY • Previous Articles Next Articles
Hongyuan LIU1(), Zhihua ZHOU2, Guangxin ZHAO3, Yanjun WANG1, Nana WANG1(
)
Received:
2021-09-30
Accepted:
2021-11-22
Online:
2023-05-20
Published:
2023-07-13
Contact:
Nana WANG
刘宏元1(), 周志花2, 赵光昕3, 王艳君1, 王娜娜1(
)
通讯作者:
王娜娜
作者简介:
刘宏元 E-mail:saasliuhongyuan@163.com;
基金资助:
CLC Number:
Hongyuan LIU, Zhihua ZHOU, Guangxin ZHAO, Yanjun WANG, Nana WANG. Effects of Modified Cellulose on Germination and Dryland Soil Physicochemical Properties of Upland Rice[J]. Journal of Agricultural Science and Technology, 2023, 25(5): 168-175.
刘宏元, 周志花, 赵光昕, 王艳君, 王娜娜. 改性纤维素对旱稻萌发和旱地土壤性质的影响[J]. 中国农业科技导报, 2023, 25(5): 168-175.
Add to citation manager EndNote|Ris|BibTeX
URL: https://nkdb.magtechjournal.com/EN/10.13304/j.nykjdb.2021.0850
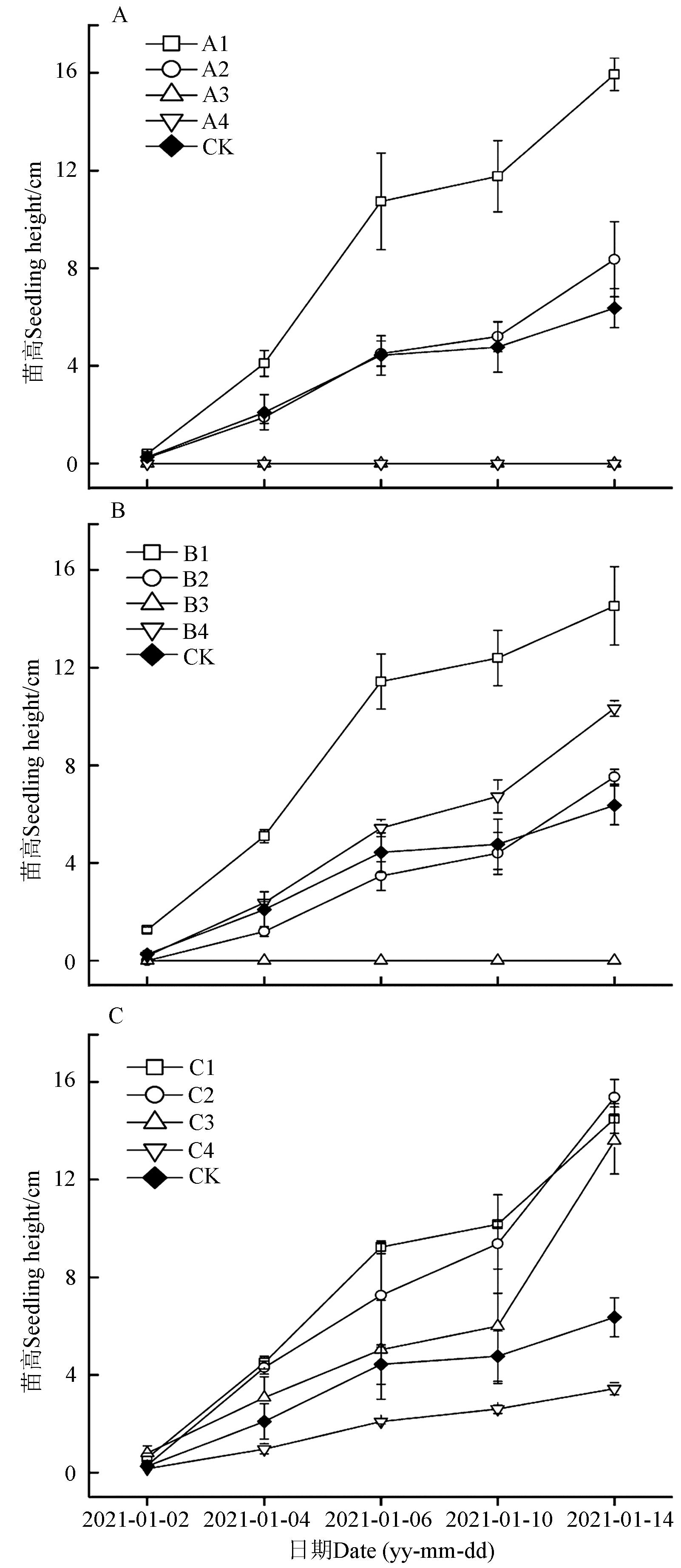
处理 Treatment | 纤维素类型 Cellulose type | 施加比例 Proportion/% | 处理 Treatment | 纤维素类型 Cellulose type | 施加比例 Proportion/% |
---|---|---|---|---|---|
CK | — | 0.00 | B3 | CMC-Na | 0.30 |
A1 | CMC-NH4 | 0.05 | B4 | CMC-Na | 0.50 |
A2 | CMC-NH4 | 0.10 | C1 | CMC-K | 0.05 |
A3 | CMC-NH4 | 0.30 | C2 | CMC-K | 0.10 |
A4 | CMC-NH4 | 0.50 | C3 | CMC-K | 0.30 |
B1 | CMC-Na | 0.05 | C4 | CMC-K | 0.50 |
B2 | CMC-Na | 0.10 |
Table 1 Treatment of pot experiment
处理 Treatment | 纤维素类型 Cellulose type | 施加比例 Proportion/% | 处理 Treatment | 纤维素类型 Cellulose type | 施加比例 Proportion/% |
---|---|---|---|---|---|
CK | — | 0.00 | B3 | CMC-Na | 0.30 |
A1 | CMC-NH4 | 0.05 | B4 | CMC-Na | 0.50 |
A2 | CMC-NH4 | 0.10 | C1 | CMC-K | 0.05 |
A3 | CMC-NH4 | 0.30 | C2 | CMC-K | 0.10 |
A4 | CMC-NH4 | 0.50 | C3 | CMC-K | 0.30 |
B1 | CMC-Na | 0.05 | C4 | CMC-K | 0.50 |
B2 | CMC-Na | 0.10 |
处理 Treatment | 失水量 Water loss/kg | 处理 Treatment | 失水量 Water loss/kg |
---|---|---|---|
CK | 0.67±0.02 | B3 | 0.65±0.02 |
A1 | 0.70±0.02 | B4 | 0.65±0.09 |
A2 | 0.67±0.02 | C1 | 0.72±0.04 |
A3 | 0.66±0.03 | C2 | 0.72±0.01 |
A4 | 0.69±0.03 | C3 | 0.70±0.01 |
B1 | 0.70±0.03 | C4 | 0.68±0.01 |
B2 | 0.67±0.03 |
Table 2 Cumulative water loss in each treatment
处理 Treatment | 失水量 Water loss/kg | 处理 Treatment | 失水量 Water loss/kg |
---|---|---|---|
CK | 0.67±0.02 | B3 | 0.65±0.02 |
A1 | 0.70±0.02 | B4 | 0.65±0.09 |
A2 | 0.67±0.02 | C1 | 0.72±0.04 |
A3 | 0.66±0.03 | C2 | 0.72±0.01 |
A4 | 0.69±0.03 | C3 | 0.70±0.01 |
B1 | 0.70±0.03 | C4 | 0.68±0.01 |
B2 | 0.67±0.03 |
处理 Treatment | pH | 土壤紧实度 Soil compaction/kPa | 硬度与土壤成块性 Hardness and fragmentation | 表面结皮厚度 Surface crust thickness/mm |
---|---|---|---|---|
CK | 8.06±0.14 de | 905.96±12.69 fg | 土壤松软,未结块 Soil is loose, no agglomeration | 0.00±0.00 d |
A1 | 7.95±0.15 ef | 1 035.82±12.36 ef | 土壤较硬,未结块 Soil is hard, no agglomeration | 1.77±0.42 bc |
A2 | 7.94±0.08 ef | 1 053.53±50.74 e | 土壤较硬,少许板结、结块 Soil is hard, there is a small amount of soil caking | 2.73±0.64 bc |
A3 | 7.90±0.13 ef | 1 146.94±21.43 e | 土壤较硬,较多板结、结块 Soil is hard, there is a large amount of soil caking | 2.90±0.17 bc |
A4 | 7.77±0.17 f | 1 286.14±59.10 d | 土壤硬,较多板结、结块 Soil is hard, there is a large amount of soil caking | 3.07±0.23 b |
B1 | 8.33±0.12 bc | 1 781.54±107.12 c | 土壤坚硬,形成小结块 Soil agglomerate hardness is slightly harder | 1.53±0.21 c |
B2 | 8.42±0.14 b | 1 905.46±111.02 c | 土壤坚硬,形成小结块 Soil agglomerate hardness is slightly harder | 2.50±0.26 c |
B3 | 8.50±0.16 b | 2 119.97±96.21 b | 土壤非常坚硬,形成大结块 Soil is very hard and forms thick caking | 3.83±0.06 bc |
B4 | 8.84±0.10 a | 2 313.36±202.74 a | 土壤非常坚硬,形成大结块 Soil is very hard and forms thick caking | 3.93±0.15 bc |
C1 | 8.09±0.12 de | 874.30±15.37 g | 表层较硬,下层松软 Surface is hard and the bottom soil is loose | 1.57±0.06 c |
C2 | 8.19±0.18 cd | 900.87±23.26 g | 表层较硬,下层松软 Surface is hard and the bottom soil is loose | 1.83±0.21 bc |
C3 | 8.45±0.17 b | 930.75±31.05 fg | 表层较硬,下层较为松软 Surface is hard and the bottom soil is a little loose | 2.03±0.15 b |
C4 | 8.47±0.09 b | 927.75±7.88 fg | 表层较硬,下层较为松软 Surface is hard and the bottom soil is a little loose | 2.57±0.12 a |
Table 3 Physical and chemical properties in each treatment
处理 Treatment | pH | 土壤紧实度 Soil compaction/kPa | 硬度与土壤成块性 Hardness and fragmentation | 表面结皮厚度 Surface crust thickness/mm |
---|---|---|---|---|
CK | 8.06±0.14 de | 905.96±12.69 fg | 土壤松软,未结块 Soil is loose, no agglomeration | 0.00±0.00 d |
A1 | 7.95±0.15 ef | 1 035.82±12.36 ef | 土壤较硬,未结块 Soil is hard, no agglomeration | 1.77±0.42 bc |
A2 | 7.94±0.08 ef | 1 053.53±50.74 e | 土壤较硬,少许板结、结块 Soil is hard, there is a small amount of soil caking | 2.73±0.64 bc |
A3 | 7.90±0.13 ef | 1 146.94±21.43 e | 土壤较硬,较多板结、结块 Soil is hard, there is a large amount of soil caking | 2.90±0.17 bc |
A4 | 7.77±0.17 f | 1 286.14±59.10 d | 土壤硬,较多板结、结块 Soil is hard, there is a large amount of soil caking | 3.07±0.23 b |
B1 | 8.33±0.12 bc | 1 781.54±107.12 c | 土壤坚硬,形成小结块 Soil agglomerate hardness is slightly harder | 1.53±0.21 c |
B2 | 8.42±0.14 b | 1 905.46±111.02 c | 土壤坚硬,形成小结块 Soil agglomerate hardness is slightly harder | 2.50±0.26 c |
B3 | 8.50±0.16 b | 2 119.97±96.21 b | 土壤非常坚硬,形成大结块 Soil is very hard and forms thick caking | 3.83±0.06 bc |
B4 | 8.84±0.10 a | 2 313.36±202.74 a | 土壤非常坚硬,形成大结块 Soil is very hard and forms thick caking | 3.93±0.15 bc |
C1 | 8.09±0.12 de | 874.30±15.37 g | 表层较硬,下层松软 Surface is hard and the bottom soil is loose | 1.57±0.06 c |
C2 | 8.19±0.18 cd | 900.87±23.26 g | 表层较硬,下层松软 Surface is hard and the bottom soil is loose | 1.83±0.21 bc |
C3 | 8.45±0.17 b | 930.75±31.05 fg | 表层较硬,下层较为松软 Surface is hard and the bottom soil is a little loose | 2.03±0.15 b |
C4 | 8.47±0.09 b | 927.75±7.88 fg | 表层较硬,下层较为松软 Surface is hard and the bottom soil is a little loose | 2.57±0.12 a |
处理 Treatment | 铵态氮 NH | 硝态氮 NO | 速效磷 Available phosphorus | 速效钾 Available potassium |
---|---|---|---|---|
CK | 1.63±0.23 de | 29.23±5.40 fg | 12.30±1.42 e | 161.67±7.02 e |
A1 | 1.92±0.35 de | 31.51±0.60 efg | 15.47±2.89 cde | 197.00±56.35 e |
A2 | 4.93±1.18 c | 43.32±1.55 cd | 14.17±0.49 de | 171.33±14.74 e |
A3 | 15.40±0.59 b | 64.09±0.98 b | 19.26±2.21 b | 173.33±3.21 e |
A4 | 18.22±1.09 a | 79.68±10.18 a | 19.06±1.63 b | 170.67±8.08 e |
B1 | 1.16±0.34 ef | 43.51±3.43 cd | 18.60±3.16 bc | 157.33±5.13 e |
B2 | 1.01±0.13 f | 37.01±3.28 de | 16.70±3.18 bcd | 162.33±6.03 e |
B3 | 1.73±0.20 de | 27.20±1.66 g | 14.31±3.60 de | 156.33±5.77 e |
B4 | 2.09±0.56 d | 12.82±1.14 h | 13.07±1.11 e | 158.33±4.51 e |
C1 | 0.74±0.19 f | 48.37±5.03 c | 20.13±0.95 b | 719.33±24.01 d |
C2 | 0.68±0.14 f | 34.54±5.68 efg | 19.43±0.40 b | 783.67±10.07 c |
C3 | 0.86±0.19 f | 35.10±6.48 ef | 19.77±1.88 b | 1 073.33±85.20 b |
C4 | 2.28±0.16 d | 36.63±2.46 def | 24.87±1.88 a | 2 520.00±233.88 a |
Table 4 Soil nutrients in each treatment
处理 Treatment | 铵态氮 NH | 硝态氮 NO | 速效磷 Available phosphorus | 速效钾 Available potassium |
---|---|---|---|---|
CK | 1.63±0.23 de | 29.23±5.40 fg | 12.30±1.42 e | 161.67±7.02 e |
A1 | 1.92±0.35 de | 31.51±0.60 efg | 15.47±2.89 cde | 197.00±56.35 e |
A2 | 4.93±1.18 c | 43.32±1.55 cd | 14.17±0.49 de | 171.33±14.74 e |
A3 | 15.40±0.59 b | 64.09±0.98 b | 19.26±2.21 b | 173.33±3.21 e |
A4 | 18.22±1.09 a | 79.68±10.18 a | 19.06±1.63 b | 170.67±8.08 e |
B1 | 1.16±0.34 ef | 43.51±3.43 cd | 18.60±3.16 bc | 157.33±5.13 e |
B2 | 1.01±0.13 f | 37.01±3.28 de | 16.70±3.18 bcd | 162.33±6.03 e |
B3 | 1.73±0.20 de | 27.20±1.66 g | 14.31±3.60 de | 156.33±5.77 e |
B4 | 2.09±0.56 d | 12.82±1.14 h | 13.07±1.11 e | 158.33±4.51 e |
C1 | 0.74±0.19 f | 48.37±5.03 c | 20.13±0.95 b | 719.33±24.01 d |
C2 | 0.68±0.14 f | 34.54±5.68 efg | 19.43±0.40 b | 783.67±10.07 c |
C3 | 0.86±0.19 f | 35.10±6.48 ef | 19.77±1.88 b | 1 073.33±85.20 b |
C4 | 2.28±0.16 d | 36.63±2.46 def | 24.87±1.88 a | 2 520.00±233.88 a |
1 | CHIANG F, MAZDIYASNI O, AGHAKOUCHAK A. Evidence of anthropogenic impacts on global drought frequency, duration, and intensity [J]. Nat. Commun., 2021, 12(1): 1-10. |
2 | CAO Y, ZHANG W, REN J. Efficiency analysis of the input for water-saving agriculture in China [J]. Water, 2020, 12(1): 207. |
3 | WANG W S, YANG S Q, ZHANG A P, et al.. Synthesis of a slow-release fertilizer composite derived from waste straw that improves water retention and agricultural yield [J]. Sci. Total Environ., 2021, 768(1):144978 . |
4 | 杨世琦,邢磊,刘宏元,等.羧甲基纤维素铵对黄土高原新造耕地土壤性质的影响[J].西北农林科技大学学报(自然科学版), 2021, 49(5):74-80. |
YANG S Q, XING L, LIU H Y, et al.. Effects of applying ammonium carboxymethyl cellulose on soil properties of new cultivated farmland in Loess Plateau [J]. J. Northwest A & F Univ. (Nat. Sci.), 2021, 49(5):74-80. | |
5 | 廖人宽,杨培岭,任树梅.高吸水树脂保水剂提高肥效及减少农业面源污染[J].农业工程学报, 2012, 28(17):1-10. |
LIAO R K, YANG P L, REN S M. High water absorbing resin water retention agent improves fertilizer efficiency and reduces agricultural non-point source pollution [J]. Trans. Chin. Soc. Agric. Eng., 2012, 28(17):1-10. | |
6 | 苟春林,王新爱,李永胜,等.保水剂与氮肥的相互影响及节水保肥效果[J].中国农业科学, 2011, 44(19):4015-4021. |
GOU C L, WANG X A, LI Y S, et al.. Interaction between water retaining agent and nitrogen fertilizers and the effect of water and fertilizer conservation [J]. Sci. Agric. Sin., 2011, 44(19):4015-4021. | |
7 | 侯贤清,李荣,何文寿,等.保水剂施用量对旱作土壤理化性质及马铃薯生长的影响[J].水土保持学报, 2015, 29(5):325-330. |
HOU X Q, LI R, HE W S, et al.. Effect of water-retaining agent application rate on soil physical and chemical properties and potato growth in dry farming [J]. J. Soil Water Conserv., 2015, 29(5):325-330. | |
8 | SHI Z, ZHANG Y, PHILLIPS G, et al.. Utilization of bacterial cellulose in food [J]. Food Hydrocolloid., 2014, 35(1):539-545. |
9 | PRADO H J, MATULEWICZ M C. Cationization of polysaccharides: a path to greener derivatives with many industrial applications [J]. Eur. Polym. J., 2014, 52:53-75. |
10 | HOKKANEN S, BHATNAGAR A, SILLANPAA M. A review on modification methods to cellulose-based adsorbents to improve adsorption capacity [J]. Water Res., 2016, 91:156-173. |
11 | WANG W S, YANG S Q, ZHANG A P, et al.. Preparation and properties of novel corn straw cellulose-based superabsorbent with water-retaining and slow-release functions [J]. J. Appl. Polym. Sci., 2020, 137(32): 48951. |
12 | 王惟帅,杨世琦.羧甲基纤维素钠制备及改性研究[J].合成纤维, 2018, 47(10):24-30. |
WANG W S, YANG S Q. Study on the preparation and modification of carboxymethyl cellulose [J]. Synthetic Fiber, 2018, 47(10):24-30. | |
13 | LIU H Y, LI H B, ZHANG A P, et al.. Inhibited effect of biochar application on N2O emissions is amount and time-dependent by regulating denitrification in a wheat-maize rotation system in North China [J]. Sci. Total Environ., 2020, 721: 137636. |
14 | 王化琪.旱稻二十一世纪新粮源[J].中国农村小康科技, 1998(7):26-27. |
15 | 邢磊.改性纤维素对黄土高原农田土壤及作物的影响研究[D].北京:中国农业科学院, 2019. |
XING L. Effects of modified cellulose on farmland soil and crops in Loess Plateau [D].Beijing :Chinese Academy of Agricultural Sciences, 2019. | |
16 | 杨永辉,吴普特,武继承,等.保水剂对冬小麦不同生育阶段土壤水分及利用的影响[J].农业工程学报, 2010, 26(12):19-26. |
YANG Y H, WU P T, WU J C, et al.. Impacts of water-retaining agent on soil moisture and water use in different growth stages of winter wheat [J]. Trans. Chin. Soc. Agric. Eng., 2010, 26(12):19-26. | |
17 | 王琰,井大炜,付修勇,等.保水剂施用量对杨树苗土壤物理性状与微生物活性的影响[J].水土保持通报, 2017, 37(3):53-58. |
WANG Y, JING D W, FU X Y, et al.. Effects of application amount of super-absorbent polymer on soil physical characteristics and microbial activity under poplar seedlings [J]. Bull. Soil Water Conserv., 2017, 37(3):53-58. | |
18 | 许紫峻,韩舒,师庆东.不同保水剂对土壤物理性质影响的探究[J].节水灌溉, 2016(10):10-14. |
XU Z J, HAN S, SHI Q D. Effect of different super absorbent polymer on soil physical properties [J]. Water Sav. Irrig., 2016(10):10-14. | |
19 | 纪冰祎,李娜,王云跃.保水剂对土壤物理性质影响的研究进展[J].水土保持应用技术, 2018(5):29-31. |
JI B Y, LI N, WANG Y Y. Research progress on effects of water retaining agents on soil physical properties [J]. Technol. Soil Water Conserv., 2018(5):29-31. | |
20 | 邢磊,杨世琦.改性纤维素的吸附性能及应用研究进展[J].中国农学通报, 2020, 36(3):59-65. |
XING L, YANG S Q. Adsorption properties and application of modified cellulose: a review [J]. Chin. Agric. Sci. Bull., 2020, 36(3):59-65. | |
21 | 倪芳,蔡卫兵,蒲双双,等.保水剂对土壤含水量及黑麦草种子萌发的影响[J].安徽农业科学, 2016, 44(27):52-54. |
NI F, CAI W B, PU S S, et al.. Effects of water retaining agent on total soil moisture content and seed germination of perennial rye-grass [J]. J. Anhui Agric. Sci., 2016, 44(27):52-54. | |
22 | 黄志勇,赵春燕,倪佳东,等.吡啶酮改性纤维素吸附剂对金属离子的吸附性能[J].离子交换与吸附, 2016, 32(5):440-448. |
HUANG Z Y, ZHAO C Y, NI J D, et al.. Metal cation adsorption properties of pyridone functionalized cellulosic adsorbent [J]. Ion. Exch. Adsorpt., 2016, 32(5):440-448. | |
23 | 杨世琦,邢磊,刘宏元,等.羧甲基纤维素钠对黄土高原新造耕地土壤改良效果[J].中国农业大学学报, 2021, 26(4):185-191. |
YANG S Q, XING L, LIU H Y, et al.. Effects of sodium carboxymethyl cellulose application on soil properties of new cultivating farmland in Loess Plateau [J]. J. China Agric. Univ., 2021, 26(4):185-191. | |
24 | 白文波,李茂松,赵虹瑞,等.保水剂对土壤积水入渗特征的影响[J].中国农业科学, 2010, 43(24):5055-5062. |
BAI W B, LI M S, ZHAO H R, et al.. Effect of water retaining agent on infiltration characteristics of soil water accumulation [J]. Sci. Agric. Sin., 2010, 43(24):5055-5062. | |
25 | 王惟帅,杨正礼,张爱平,等.玉米秸秆基纤维素保水缓释肥制备及应用[J].农业工程学报, 2020, 36(2):236-244. |
WANG W S, YANG Z L, ZHANG A P, et al.. Preparation and application of corn straw cellulose-based fertilizer with integration of water-retaining and slow-release [J]. Trans. Chin. Soc. Agric. Eng., 2020, 36(2):236-244. | |
26 | KANMANI P, ARAVIND J, KAMARAJ M, et al.. Environmental applications of chitosan and cellulosic biopolymers: a comprehensive outlook [J]. Bioresource Technol., 2017(242):295-303. |
27 | OMER A M, ELGARHY G S, EL-SUB R UITI G M, et al.. Fabrication of novel iminodiacetic acid-functionalized carboxymethyl cellulose microbeads for efficient removal of cationic crystal violet dye from aqueous solutions [J]. Int. J. Biol. Macromol., 2020, 148:1072-1083. |
28 | 邢磊,杨世琦.改性纤维素对盆栽小麦生长及土壤水分和养分的影响[J].西北农业学报, 2019, 28(4):536-545. |
XING L, YANG S Q. Effects of modified cellulose on growth of potted wheat and soil moisture and nutrients [J]. Acta. Agric. Bor-Occid. Sin., 2019, 28(4):536-545. | |
29 | 杨静静,王秀峰,魏珉,等.保水剂吸水、释水及吸肥特性研究[J].山东农业大学学报(自然科学版), 2016, 47(5):696-700. |
YANG J J, WANG X F, WEI M, et al.. Study on characteristics of absorption,release and fertilizer absorption of water retaining agent [J]. J. Shandong Agric. Univ. (Nat. Sci.), 2016, 47(5):696-700. | |
30 | LU S, LIU W, WANG Y, et al.. An adsorbent based on humic acid and carboxymethyl cellulose for efficient dye removal from aqueous solution [J]. Int. J. Biol. Macromol., 2019, 134:790-797. |
31 | UGAWA S, INAGAKI Y, KARIBU F, et al.. Effects of soil compaction by a forestry machine and slash dispersal on soil N mineralization in Cryptomeria japonica plantations under high precipitation [J]. New For., 2020, 51(5):1-21. |
[1] | Xiyu ZHANG, Xing SHEN, Wei LI, Wenge XIE, Jie LI, Changhao YANG, Zhongping CHAI. Influence of Reduced Nitrogen Fertilizer Combined with Organic Fertilizer on Soil Bacterial Community Structure in Korla Pear Orchards [J]. Journal of Agricultural Science and Technology, 2025, 27(7): 217-228. |
[2] | Yangchen MI, Zheng ZHAO, Chengyu WANG, Lina YAN, Qiuping FENG, Shuxia LIU, Shijie LIU. Influence of Straw Returning Method on Soil Moisture Curve [J]. Journal of Agricultural Science and Technology, 2025, 27(3): 172-182. |
[3] | Chunjiao MI, Hongren SUN, Jiping ZHANG, Yucai LYU, Yandi ZHANG. Abundance-deficiency Index of Soil Available Phosphorus and Recommended Phosphorus Fertilizer Application Rates for Tomato in China [J]. Journal of Agricultural Science and Technology, 2025, 27(1): 222-232. |
[4] | Shifang WANG, Haiyan SONG. Study on Characteristics of Visible and Near Infrared Reflectance Spectra of Soil Organic Matter [J]. Journal of Agricultural Science and Technology, 2024, 26(7): 183-188. |
[5] | Wei LIU, Yuanyuan ZHAO, Xiaolong CHEN, Hongzhi SHI. Effects of Soil Moisture Content on Microbial Community Diversity and Abundance of Nitrogen Cycling Genes in Central Henan Tobacco-growing Soil [J]. Journal of Agricultural Science and Technology, 2024, 26(1): 214-225. |
[6] | Chenyang ZHANG, Minggang XU, Fei WANG, Ran LI, Nan SUN. Effects of Manure Application on Soybean Yield and Soil Nutrients in China [J]. Journal of Agricultural Science and Technology, 2023, 25(8): 148-156. |
[7] | Caiyan DU, Haiyan LU, Yanzhu XIONG, Xi SUN, Xiumei SUN, Jixiong PU, Naiming ZHANG. Effects of Combined Application of Biogas Slurry and Chemical Fertilizer on Peach Growth and Soil Physical and Chemical Properties for Two Consecutive Years [J]. Journal of Agricultural Science and Technology, 2023, 25(8): 165-175. |
[8] | Rui XIAO, Lu TAN, Liang WU, Hao ZHANG, Jiayuan GUO, Haijun YANG. Microbial Community Structure and Diversity in Rhizosphere and Non-rhizosphere Soil of Kochia scoparia Under Cd Stress [J]. Journal of Agricultural Science and Technology, 2023, 25(8): 203-215. |
[9] | Xuting HAO, Yaru HUANG, Yingbin MA, Shuai ZHANG, Chunxia HAN, Jiacheng PANG, Guangfu XU, Huizhong HAO, Yajing LIU. Study on Soil Moisture Dynamics in Growing Season of Sand-fixing Haloxylonammodendron Forest in Ulan Buhe Desert [J]. Journal of Agricultural Science and Technology, 2023, 25(7): 187-196. |
[10] | Shijiang ZHU, Hu LI, Wen XU, Yating FENG. Effects of Soil Moisture Content on Fruit Quality in Citrus Orchards Within Three Gorges Reservoir Area [J]. Journal of Agricultural Science and Technology, 2023, 25(6): 201-207. |
[11] | Jia YAO, Jiaxin LIU, Yan SU, Xiaojuan SU. Effects of Combined Application of Tobacco Stem Biochar and Nitrogen Fertilizers on Corn Growth and Soil Properties in Seeding Stage [J]. Journal of Agricultural Science and Technology, 2023, 25(3): 140-151. |
[12] | Tingting NIE, Yiqiang DONG, Helong YANG, Asitaiken Julihaiti, Shijie ZHOU, Shazhou AN. Effects of Enclosure on Plant and Soil Stoichiometric Characteristics in an Artemisia Desert [J]. Journal of Agricultural Science and Technology, 2023, 25(3): 178-187. |
[13] | Yunzhu ZHENG, Shuchen SUN. Effects of Straw Biochar and Straw on Soil Nutrients and Crop Yield in Wheat-Maize Rotation System [J]. Journal of Agricultural Science and Technology, 2023, 25(2): 152-162. |
[14] | Shiya WANG, Xinyi WANG, Ying LIU, Huiying HU, Haiyan SUN, Wei GUO. Effect of Graphene on Soil Nutrient Transformation and Root Growth of Maize Seedlings [J]. Journal of Agricultural Science and Technology, 2023, 25(11): 192-206. |
[15] | Chuang LU, Haitang HU, Yuan QIN, Heju HUAI, Cunjun LI. Delineating Management Zones in Spring Maize Field Based on UAV Multispectral Image [J]. Journal of Agricultural Science and Technology, 2022, 24(9): 106-115. |
Viewed | ||||||
Full text |
|
|||||
Abstract |
|
|||||