Journal of Agricultural Science and Technology ›› 2023, Vol. 25 ›› Issue (5): 204-214.DOI: 10.13304/j.nykjdb.2021.0816
• BIO-MANUFACTURING & RESOURCE AND ECOLOGY • Previous Articles Next Articles
Lifang ZHANG(), Zhiyuan LI, Yuxiang LIU, Hongli ZHANG, Yong QIN(
)
Received:
2021-09-17
Accepted:
2022-01-18
Online:
2023-05-20
Published:
2023-07-13
Contact:
Yong QIN
通讯作者:
秦勇
作者简介:
张力方 E-mail:1418252988@qq.com;
基金资助:
CLC Number:
Lifang ZHANG, Zhiyuan LI, Yuxiang LIU, Hongli ZHANG, Yong QIN. Comprehensive Evaluation of Different Composite Substrates on Growth Condition of Coriandrum sativum L.[J]. Journal of Agricultural Science and Technology, 2023, 25(5): 204-214.
张力方, 李志元, 刘宇翔, 张红丽, 秦勇. 不同复合基质对盆栽芫荽生长状况的综合评价[J]. 中国农业科技导报, 2023, 25(5): 204-214.
Add to citation manager EndNote|Ris|BibTeX
URL: https://nkdb.magtechjournal.com/EN/10.13304/j.nykjdb.2021.0816
处理 Treatment | 草炭 Peat | 椰糠 Coconut bran | 珍珠岩 Perlite | 蛭石 Vermiculite |
---|---|---|---|---|
CK | 4 | — | 2 | 2 |
T1 | 3 | 1 | — | 2 |
T2 | 2 | 1 | — | — |
T3 | 1 | 1 | 2 | 2 |
T4 | — | 1 | — | 1 |
T5 | — | 2 | 1 | 1 |
T6 | — | 3 | — | 1 |
T7 | — | 4 | 1 | 1 |
T8 | — | 7 | 2 | 1 |
Table 1 Matrix ratio of different treatments
处理 Treatment | 草炭 Peat | 椰糠 Coconut bran | 珍珠岩 Perlite | 蛭石 Vermiculite |
---|---|---|---|---|
CK | 4 | — | 2 | 2 |
T1 | 3 | 1 | — | 2 |
T2 | 2 | 1 | — | — |
T3 | 1 | 1 | 2 | 2 |
T4 | — | 1 | — | 1 |
T5 | — | 2 | 1 | 1 |
T6 | — | 3 | — | 1 |
T7 | — | 4 | 1 | 1 |
T8 | — | 7 | 2 | 1 |
处理 Treatment | 容重 Volume weight/(g·cm-3) | 总孔隙度 Total porosity/% | 通气孔隙度 Aeration porosity/% | 持水孔隙度 Water-holding Porosity/% | 气水比 Gas water ratio | pH | 电导率 Electrical conductivity/ (mS·cm-1) |
---|---|---|---|---|---|---|---|
CK | 0.21±0.01 f | 50.13±1.07 a | 12.19±0.96 b | 37.94±2.03 a | 0.32±0.04 c | 7.10±0.10 bc | 1.00±0.13 a |
T1 | 0.29±0.04 de | 48.55±2.91 a | 15.45±0.75 a | 33.10±3.65 b | 0.47±0.08 abc | 7.47±0.03 a | 0.59±0.04 bc |
T2 | 0.26±0.03 e | 48.66±2.82 a | 16.67±0.97 a | 31.99±3.79 b | 0.53±0.10 a | 7.07±0.08 bc | 0.49±0.09 bc |
T3 | 0.27±0.02 e | 47.48±1.59 a | 15.80±1.30 a | 31.68±2.61 b | 0.50±0.08 ab | 7.28±0.04 ab | 0.64±0.06 b |
T4 | 0.44±0.02 b | 37.68±0.25 b | 11.43±0.35 bc | 26.25±0.50 c | 0.44±0.02 abc | 7.04±0.09 cd | 0.95±0.05 a |
T5 | 0.31±0.01 d | 36.48±0.72 b | 10.48±0.95 bcd | 26.01±0.77 c | 0.40±0.05 abc | 7.11±0.12 bc | 0.66±0.05 b |
T6 | 0.52±0.00 a | 22.06±1.71 e | 5.85±0.62 e | 16.20±1.14 e | 0.36±0.02 bc | 6.97±0.05 cd | 0.40±0.03 c |
T7 | 0.39±0.01 c | 31.73±1.66 c | 9.72±2.49 cd | 22.01±3.56 cd | 0.46±0.19 abc | 6.96±0.01 cd | 0.40±0.03 c |
T8 | 0.41±0.01 bc | 28.29±1.04 d | 8.49±0.61 d | 19.81±0.50 de | 0.43±0.02 abc | 6.82±0.03 d | 0.60±0.02 bc |
Table 2 Physical and chemical properties of different compound substrates
处理 Treatment | 容重 Volume weight/(g·cm-3) | 总孔隙度 Total porosity/% | 通气孔隙度 Aeration porosity/% | 持水孔隙度 Water-holding Porosity/% | 气水比 Gas water ratio | pH | 电导率 Electrical conductivity/ (mS·cm-1) |
---|---|---|---|---|---|---|---|
CK | 0.21±0.01 f | 50.13±1.07 a | 12.19±0.96 b | 37.94±2.03 a | 0.32±0.04 c | 7.10±0.10 bc | 1.00±0.13 a |
T1 | 0.29±0.04 de | 48.55±2.91 a | 15.45±0.75 a | 33.10±3.65 b | 0.47±0.08 abc | 7.47±0.03 a | 0.59±0.04 bc |
T2 | 0.26±0.03 e | 48.66±2.82 a | 16.67±0.97 a | 31.99±3.79 b | 0.53±0.10 a | 7.07±0.08 bc | 0.49±0.09 bc |
T3 | 0.27±0.02 e | 47.48±1.59 a | 15.80±1.30 a | 31.68±2.61 b | 0.50±0.08 ab | 7.28±0.04 ab | 0.64±0.06 b |
T4 | 0.44±0.02 b | 37.68±0.25 b | 11.43±0.35 bc | 26.25±0.50 c | 0.44±0.02 abc | 7.04±0.09 cd | 0.95±0.05 a |
T5 | 0.31±0.01 d | 36.48±0.72 b | 10.48±0.95 bcd | 26.01±0.77 c | 0.40±0.05 abc | 7.11±0.12 bc | 0.66±0.05 b |
T6 | 0.52±0.00 a | 22.06±1.71 e | 5.85±0.62 e | 16.20±1.14 e | 0.36±0.02 bc | 6.97±0.05 cd | 0.40±0.03 c |
T7 | 0.39±0.01 c | 31.73±1.66 c | 9.72±2.49 cd | 22.01±3.56 cd | 0.46±0.19 abc | 6.96±0.01 cd | 0.40±0.03 c |
T8 | 0.41±0.01 bc | 28.29±1.04 d | 8.49±0.61 d | 19.81±0.50 de | 0.43±0.02 abc | 6.82±0.03 d | 0.60±0.02 bc |
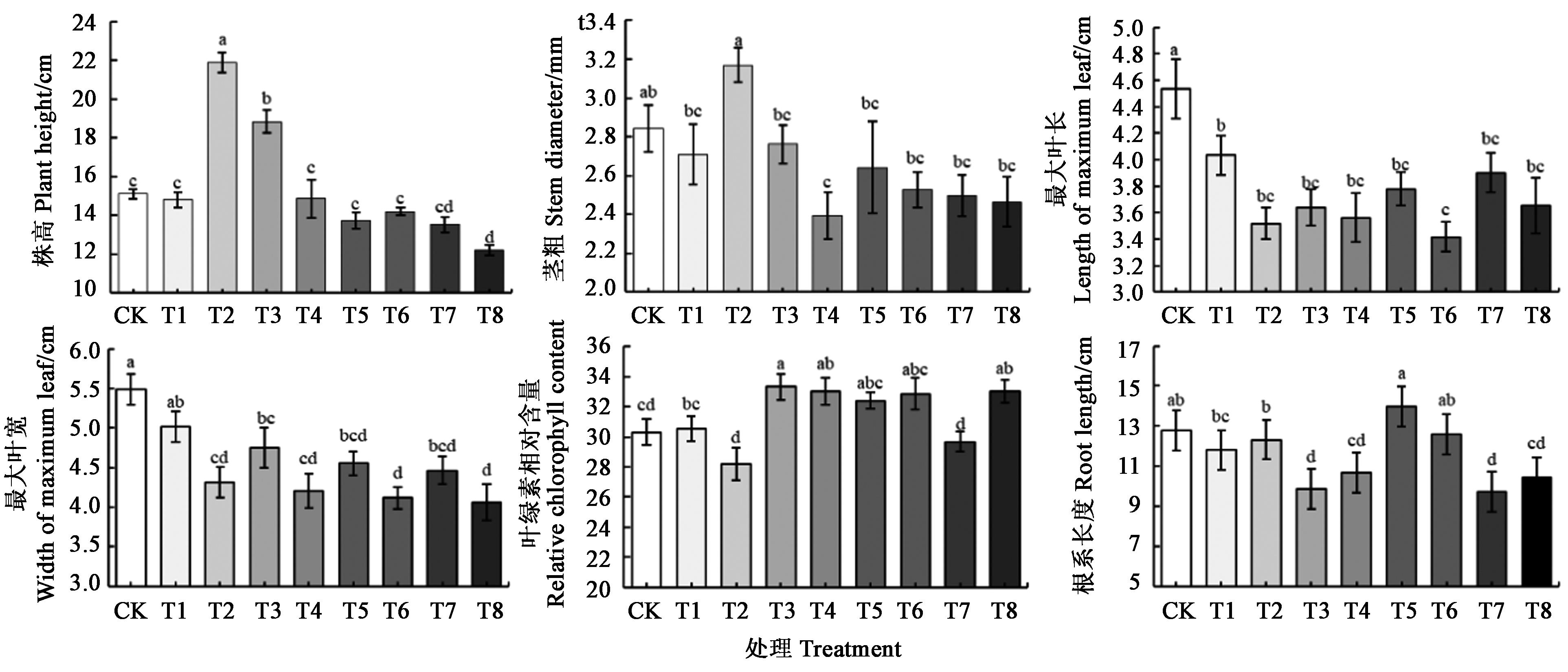
Fig. 1 Coriander growth indexes in different compound substratesNote: Different lowercase letters indicate significant differences between treatments at P<0.05 level.
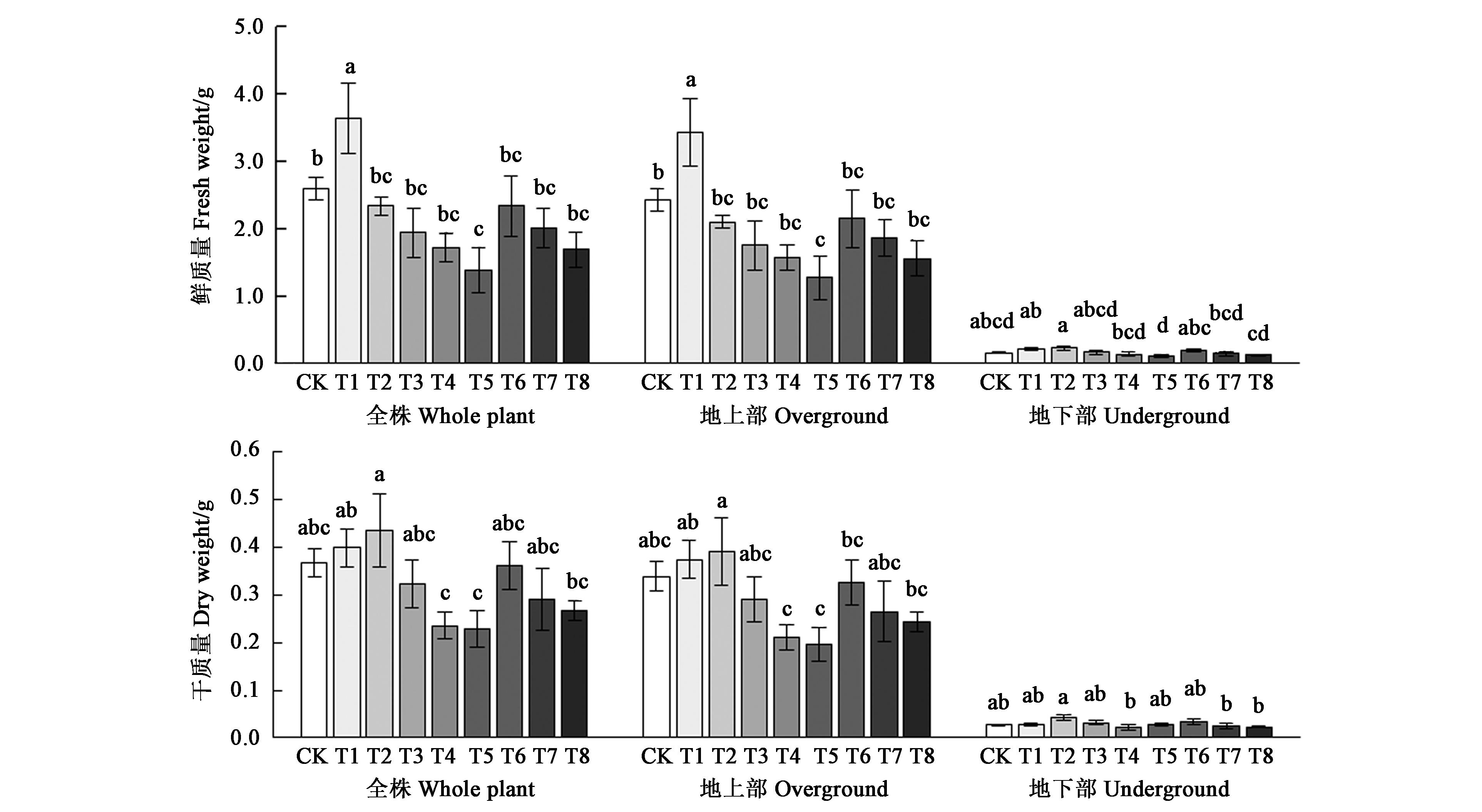
Fig. 2 Coriander assimilate in different compound substratesNote: Different lowercase letters indicate significant differences between treatments at P<0.05 level.
处理 Treatment | 干鲜比 Dry to fresh ratio | 根冠比 Root shoot ratio | 壮苗指数 Strong seedling index |
---|---|---|---|
CK | 14.17±0.34 cd | 6.60±0.38 f | 8.05±0.21 c |
T1 | 11.00±0.57 e | 6.11±0.27 g | 9.57±0.89 a |
T2 | 18.61±0.76 a | 10.85±0.41 a | 9.48±0.62 ab |
T3 | 16.61±0.22 b | 9.49±0.35 b | 7.25±0.68 de |
T4 | 13.72±0.62 d | 8.64±0.30 cd | 5.76±0.16 f |
T5 | 16.45±0.56 b | 8.90±0.27 c | 6.49±0.50 ef |
T6 | 14.59±0.16 cd | 8.68±0.29 cd | 9.35±0.74 ab |
T7 | 15.21±0.49 c | 8.29±0.61 de | 7.76±0.40 cd |
T8 | 15.77±0.73 c | 7.96±0.33 e | 7.88±0.32 cd |
Table 3 Dry to fresh ratio, root to shoot ratio and strong surface index of coriander under different compound substrates
处理 Treatment | 干鲜比 Dry to fresh ratio | 根冠比 Root shoot ratio | 壮苗指数 Strong seedling index |
---|---|---|---|
CK | 14.17±0.34 cd | 6.60±0.38 f | 8.05±0.21 c |
T1 | 11.00±0.57 e | 6.11±0.27 g | 9.57±0.89 a |
T2 | 18.61±0.76 a | 10.85±0.41 a | 9.48±0.62 ab |
T3 | 16.61±0.22 b | 9.49±0.35 b | 7.25±0.68 de |
T4 | 13.72±0.62 d | 8.64±0.30 cd | 5.76±0.16 f |
T5 | 16.45±0.56 b | 8.90±0.27 c | 6.49±0.50 ef |
T6 | 14.59±0.16 cd | 8.68±0.29 cd | 9.35±0.74 ab |
T7 | 15.21±0.49 c | 8.29±0.61 de | 7.76±0.40 cd |
T8 | 15.77±0.73 c | 7.96±0.33 e | 7.88±0.32 cd |
处理 Treatment | 可溶性蛋白 Protein content/ (mg·g-1) | 维生素C Vitamin C content/ (mg·g-1) | 可溶性糖Soluble sugar content/% | 叶绿素a Content of chlorophyll a/(mg·g-1) | 叶绿素b Content of chlorophyll b/(mg·g-1) | 类胡萝卜素Content of carotenoid/ (mg·g-1) | 叶绿素(a+b) Content of chlorophyll (a+b)/(mg·g-1) |
---|---|---|---|---|---|---|---|
CK | 5.42±0.12 d | 0.33±0.02 bc | 6.19±0.12 d | 1.20±0.06 b | 0.41±0.08 ab | 0.28±0.03 c | 1.71±0.05 d |
T1 | 6.14±0.26 cd | 0.31±0.01 cd | 4.57±0.08 e | 1.50±0.21 ab | 0.41±0.09 ab | 0.39±0.04 ab | 2.19±0.04 abc |
T2 | 7.20±0.08 b | 0.52±0.01 a | 4.01±0.06 f | 1.54±0.09 ab | 0.52±0.05 a | 0.35±0.02 bc | 1.92±0.02 bcd |
T3 | 7.17±0.02 b | 0.13±0.03 f | 8.74±0.07 c | 1.70±0.13 a | 0.54±0.12 a | 0.41±0.01 ab | 2.43±0.25 a |
T4 | 6.62±0.05 bc | 0.23±0.01 e | 3.43±0.13 g | 1.68±0.12 a | 0.47±0.07 a | 0.43±0.02 ab | 2.30±0.19 ab |
T5 | 5.53±0.21 d | 0.36±0.01 b | 13.17±0.11 b | 1.58±0.04 ab | 0.21±0.02 b | 0.44±0.00 ab | 1.79±0.06 cd |
T6 | 6.48±0.36 bc | 0.13±0.03 f | 0.37±0.04 i | 1.42±0.20 ab | 0.31±0.03 ab | 0.42±0.05 ab | 1.57±0.27 d |
T7 | 8.88±0.06 a | 0.34±0.02 bc | 16.13±0.36 a | 1.63±0.09 a | 0.32±0.04 ab | 0.47±0.05 a | 1.90±0.00 bcd |
T8 | 6.00±0.67 cd | 0.26±0.01 de | 1.16±0.04 h | 1.37±0.12 ab | 0.43±0.10 ab | 0.37±0.01 abc | 2.00±0.00 abcd |
Table 4 Coriander quality in different compound substrates
处理 Treatment | 可溶性蛋白 Protein content/ (mg·g-1) | 维生素C Vitamin C content/ (mg·g-1) | 可溶性糖Soluble sugar content/% | 叶绿素a Content of chlorophyll a/(mg·g-1) | 叶绿素b Content of chlorophyll b/(mg·g-1) | 类胡萝卜素Content of carotenoid/ (mg·g-1) | 叶绿素(a+b) Content of chlorophyll (a+b)/(mg·g-1) |
---|---|---|---|---|---|---|---|
CK | 5.42±0.12 d | 0.33±0.02 bc | 6.19±0.12 d | 1.20±0.06 b | 0.41±0.08 ab | 0.28±0.03 c | 1.71±0.05 d |
T1 | 6.14±0.26 cd | 0.31±0.01 cd | 4.57±0.08 e | 1.50±0.21 ab | 0.41±0.09 ab | 0.39±0.04 ab | 2.19±0.04 abc |
T2 | 7.20±0.08 b | 0.52±0.01 a | 4.01±0.06 f | 1.54±0.09 ab | 0.52±0.05 a | 0.35±0.02 bc | 1.92±0.02 bcd |
T3 | 7.17±0.02 b | 0.13±0.03 f | 8.74±0.07 c | 1.70±0.13 a | 0.54±0.12 a | 0.41±0.01 ab | 2.43±0.25 a |
T4 | 6.62±0.05 bc | 0.23±0.01 e | 3.43±0.13 g | 1.68±0.12 a | 0.47±0.07 a | 0.43±0.02 ab | 2.30±0.19 ab |
T5 | 5.53±0.21 d | 0.36±0.01 b | 13.17±0.11 b | 1.58±0.04 ab | 0.21±0.02 b | 0.44±0.00 ab | 1.79±0.06 cd |
T6 | 6.48±0.36 bc | 0.13±0.03 f | 0.37±0.04 i | 1.42±0.20 ab | 0.31±0.03 ab | 0.42±0.05 ab | 1.57±0.27 d |
T7 | 8.88±0.06 a | 0.34±0.02 bc | 16.13±0.36 a | 1.63±0.09 a | 0.32±0.04 ab | 0.47±0.05 a | 1.90±0.00 bcd |
T8 | 6.00±0.67 cd | 0.26±0.01 de | 1.16±0.04 h | 1.37±0.12 ab | 0.43±0.10 ab | 0.37±0.01 abc | 2.00±0.00 abcd |
主成分 Principal component | 初始平方载荷值 Initial square load value | 提取平方载荷值 Extract square load value | 权重 Weight | ||||
---|---|---|---|---|---|---|---|
特征值 Eigenvalue | 方差贡献率 Variance contribution rate/% | 累积贡献率 Accumulating contribution rate/% | 特征值 Eigenvalue | 方差贡献率 Variance contribution rate/% | 累积贡献率 Accumulating contribution rate/% | ||
1 | 8.107 | 36.850 | 36.850 | 8.107 | 36.850 | 36.850 | 0.380 |
2 | 4.667 | 21.212 | 58.063 | 4.667 | 21.212 | 58.063 | 0.220 |
3 | 3.037 | 13.803 | 71.866 | 3.037 | 13.803 | 71.866 | 0.140 |
4 | 2.296 | 10.438 | 82.304 | 2.296 | 10.438 | 82.304 | 0.110 |
5 | 1.927 | 8.757 | 91.061 | 1.927 | 8.757 | 91.061 | 0.090 |
6 | 1.113 | 5.060 | 96.122 | 1.113 | 5.060 | 96.122 | 0.050 |
Table 5 Eigenvalues and contribution rates of each principal component
主成分 Principal component | 初始平方载荷值 Initial square load value | 提取平方载荷值 Extract square load value | 权重 Weight | ||||
---|---|---|---|---|---|---|---|
特征值 Eigenvalue | 方差贡献率 Variance contribution rate/% | 累积贡献率 Accumulating contribution rate/% | 特征值 Eigenvalue | 方差贡献率 Variance contribution rate/% | 累积贡献率 Accumulating contribution rate/% | ||
1 | 8.107 | 36.850 | 36.850 | 8.107 | 36.850 | 36.850 | 0.380 |
2 | 4.667 | 21.212 | 58.063 | 4.667 | 21.212 | 58.063 | 0.220 |
3 | 3.037 | 13.803 | 71.866 | 3.037 | 13.803 | 71.866 | 0.140 |
4 | 2.296 | 10.438 | 82.304 | 2.296 | 10.438 | 82.304 | 0.110 |
5 | 1.927 | 8.757 | 91.061 | 1.927 | 8.757 | 91.061 | 0.090 |
6 | 1.113 | 5.060 | 96.122 | 1.113 | 5.060 | 96.122 | 0.050 |
项目 Project | 主成分 Principal component | |||||
---|---|---|---|---|---|---|
1 | 2 | 3 | 4 | 5 | 6 | |
株高Plant height | 0.067 | 0.163 | 0.011 | 0.012 | 0.152 | 0.144 |
茎粗Stem thickness | 0.099 | 0.093 | -0.094 | 0.050 | 0.131 | 0.074 |
最大叶长Maximum leaf length | 0.045 | -0.144 | -0.052 | 0.220 | 0.170 | -0.089 |
最大叶宽Maximum leaf width | 0.063 | -0.105 | -0.014 | 0.195 | 0.224 | 0.204 |
SPAD值SPAD value | -0.086 | -0.045 | 0.060 | -0.227 | 0.098 | 0.251 |
地上部鲜质量Overground fresh weight | 0.097 | -0.082 | 0.139 | 0.041 | -0.087 | 0.116 |
地下部鲜质量Underground fresh weight | 0.102 | 0.069 | 0.104 | -0.055 | -0.135 | 0.104 |
地上部干质量Overground dry weight | 0.118 | 0.017 | 0.063 | -0.014 | -0.073 | -0.025 |
地下部干质量Underground dry weight | 0.093 | 0.083 | -0.108 | -0.055 | 0.022 | 0.343 |
全株鲜质量Whole plant fresh weight | 0.099 | -0.073 | 0.140 | 0.035 | -0.086 | 0.118 |
全株干质量Whole plant dry weight | 0.119 | 0.034 | 0.044 | -0.032 | -0.056 | -0.037 |
根系长度Root length | 0.044 | -0.050 | -0.243 | -0.097 | -0.064 | 0.383 |
干鲜比Dry to fresh ratio | -0.011 | 0.166 | -0.171 | -0.020 | 0.073 | -0.173 |
根冠比Root to crown ratio | -0.018 | 0.202 | -0.079 | -0.064 | -0.011 | 0.030 |
壮苗指数Strong seedling index | 0.101 | 0.004 | 0.039 | -0.082 | -0.232 | -0.124 |
蛋白质含量Protein content | -0.016 | 0.118 | 0.127 | 0.219 | -0.198 | -0.256 |
维生素C含量Vitamin C content | 0.054 | 0.053 | -0.163 | 0.187 | -0.013 | -0.185 |
可溶性糖含量Soluble sugar content | -0.036 | 0.016 | -0.081 | 0.380 | -0.040 | 0.156 |
叶绿素a含量Chlorophyll a content | -0.057 | 0.130 | 0.116 | 0.137 | -0.036 | 0.367 |
叶绿素b含量Chlorophyll b content | 0.038 | 0.095 | 0.174 | -0.062 | 0.308 | -0.198 |
类胡萝卜素含量Carotenoid content | -0.083 | 0.051 | 0.074 | 0.098 | -0.280 | 0.275 |
叶绿素(a+b)含量Chlorophyll(a+b) content | -0.026 | 0.057 | 0.229 | 0.070 | 0.263 | 0.187 |
Table 6 Principal component feature vector
项目 Project | 主成分 Principal component | |||||
---|---|---|---|---|---|---|
1 | 2 | 3 | 4 | 5 | 6 | |
株高Plant height | 0.067 | 0.163 | 0.011 | 0.012 | 0.152 | 0.144 |
茎粗Stem thickness | 0.099 | 0.093 | -0.094 | 0.050 | 0.131 | 0.074 |
最大叶长Maximum leaf length | 0.045 | -0.144 | -0.052 | 0.220 | 0.170 | -0.089 |
最大叶宽Maximum leaf width | 0.063 | -0.105 | -0.014 | 0.195 | 0.224 | 0.204 |
SPAD值SPAD value | -0.086 | -0.045 | 0.060 | -0.227 | 0.098 | 0.251 |
地上部鲜质量Overground fresh weight | 0.097 | -0.082 | 0.139 | 0.041 | -0.087 | 0.116 |
地下部鲜质量Underground fresh weight | 0.102 | 0.069 | 0.104 | -0.055 | -0.135 | 0.104 |
地上部干质量Overground dry weight | 0.118 | 0.017 | 0.063 | -0.014 | -0.073 | -0.025 |
地下部干质量Underground dry weight | 0.093 | 0.083 | -0.108 | -0.055 | 0.022 | 0.343 |
全株鲜质量Whole plant fresh weight | 0.099 | -0.073 | 0.140 | 0.035 | -0.086 | 0.118 |
全株干质量Whole plant dry weight | 0.119 | 0.034 | 0.044 | -0.032 | -0.056 | -0.037 |
根系长度Root length | 0.044 | -0.050 | -0.243 | -0.097 | -0.064 | 0.383 |
干鲜比Dry to fresh ratio | -0.011 | 0.166 | -0.171 | -0.020 | 0.073 | -0.173 |
根冠比Root to crown ratio | -0.018 | 0.202 | -0.079 | -0.064 | -0.011 | 0.030 |
壮苗指数Strong seedling index | 0.101 | 0.004 | 0.039 | -0.082 | -0.232 | -0.124 |
蛋白质含量Protein content | -0.016 | 0.118 | 0.127 | 0.219 | -0.198 | -0.256 |
维生素C含量Vitamin C content | 0.054 | 0.053 | -0.163 | 0.187 | -0.013 | -0.185 |
可溶性糖含量Soluble sugar content | -0.036 | 0.016 | -0.081 | 0.380 | -0.040 | 0.156 |
叶绿素a含量Chlorophyll a content | -0.057 | 0.130 | 0.116 | 0.137 | -0.036 | 0.367 |
叶绿素b含量Chlorophyll b content | 0.038 | 0.095 | 0.174 | -0.062 | 0.308 | -0.198 |
类胡萝卜素含量Carotenoid content | -0.083 | 0.051 | 0.074 | 0.098 | -0.280 | 0.275 |
叶绿素(a+b)含量Chlorophyll(a+b) content | -0.026 | 0.057 | 0.229 | 0.070 | 0.263 | 0.187 |
处理 Treatment | F1 | F2 | F3 | F4 | F5 | F6 | 隶属函数值 Subordinative function value | D值 D value | 排名 Rank | |||||
---|---|---|---|---|---|---|---|---|---|---|---|---|---|---|
U1 | U2 | U3 | U4 | U5 | U6 | |||||||||
CK | 1.15 | -0.66 | -0.21 | 0.05 | 0.15 | -0.03 | 0.67 | 0.10 | 0.16 | 0.37 | 0.61 | 0.72 | 0.43 | 4 |
T1 | 1.29 | -0.50 | 0.32 | 0.06 | -0.06 | 0.05 | 0.81 | 0.00 | 0.72 | 0.27 | 0.61 | 0.49 | 0.52 | 3 |
T2 | 1.59 | 0.92 | -0.16 | -0.02 | 0.00 | -0.02 | 1.00 | 1.00 | 0.41 | 0.23 | 0.94 | 0.61 | 0.81 | 1 |
T3 | -0.34 | 0.47 | 0.25 | 0.01 | 0.16 | 0.05 | 0.43 | 0.71 | 1.00 | 0.53 | 1.00 | 0.03 | 0.62 | 2 |
T4 | -1.28 | 0.05 | 0.20 | -0.05 | 0.08 | 0.01 | 0.05 | 0.53 | 0.85 | 0.19 | 0.79 | 0.22 | 0.36 | 7 |
T5 | -1.02 | -0.08 | -0.47 | 0.06 | -0.02 | 0.08 | 0.00 | 0.59 | 0.26 | 0.81 | 0.00 | 1.00 | 0.31 | 8 |
T6 | 0.14 | -0.09 | 0.00 | -0.27 | -0.21 | 0.02 | 0.62 | 0.54 | 0.00 | 0.00 | 0.30 | 0.67 | 0.42 | 5 |
T7 | -0.70 | 0.08 | 0.07 | 0.32 | -0.16 | -0.06 | 0.29 | 0.46 | 0.38 | 1.00 | 0.33 | 0.00 | 0.40 | 6 |
T8 | -0.83 | -0.19 | 0.00 | -0.17 | 0.05 | -0.09 | 0.19 | 0.39 | 0.50 | 0.05 | 0.67 | 0.17 | 0.31 | 9 |
Table 7 Principal component scores and comprehensive evaluation
处理 Treatment | F1 | F2 | F3 | F4 | F5 | F6 | 隶属函数值 Subordinative function value | D值 D value | 排名 Rank | |||||
---|---|---|---|---|---|---|---|---|---|---|---|---|---|---|
U1 | U2 | U3 | U4 | U5 | U6 | |||||||||
CK | 1.15 | -0.66 | -0.21 | 0.05 | 0.15 | -0.03 | 0.67 | 0.10 | 0.16 | 0.37 | 0.61 | 0.72 | 0.43 | 4 |
T1 | 1.29 | -0.50 | 0.32 | 0.06 | -0.06 | 0.05 | 0.81 | 0.00 | 0.72 | 0.27 | 0.61 | 0.49 | 0.52 | 3 |
T2 | 1.59 | 0.92 | -0.16 | -0.02 | 0.00 | -0.02 | 1.00 | 1.00 | 0.41 | 0.23 | 0.94 | 0.61 | 0.81 | 1 |
T3 | -0.34 | 0.47 | 0.25 | 0.01 | 0.16 | 0.05 | 0.43 | 0.71 | 1.00 | 0.53 | 1.00 | 0.03 | 0.62 | 2 |
T4 | -1.28 | 0.05 | 0.20 | -0.05 | 0.08 | 0.01 | 0.05 | 0.53 | 0.85 | 0.19 | 0.79 | 0.22 | 0.36 | 7 |
T5 | -1.02 | -0.08 | -0.47 | 0.06 | -0.02 | 0.08 | 0.00 | 0.59 | 0.26 | 0.81 | 0.00 | 1.00 | 0.31 | 8 |
T6 | 0.14 | -0.09 | 0.00 | -0.27 | -0.21 | 0.02 | 0.62 | 0.54 | 0.00 | 0.00 | 0.30 | 0.67 | 0.42 | 5 |
T7 | -0.70 | 0.08 | 0.07 | 0.32 | -0.16 | -0.06 | 0.29 | 0.46 | 0.38 | 1.00 | 0.33 | 0.00 | 0.40 | 6 |
T8 | -0.83 | -0.19 | 0.00 | -0.17 | 0.05 | -0.09 | 0.19 | 0.39 | 0.50 | 0.05 | 0.67 | 0.17 | 0.31 | 9 |
1 | CHAHAL K K, SINGH R, KUMAR A, et al.. Chemical composition and biological activity of Coriandrum sativum L. [J]. Indian J. Nat. Prod. Resour., 2018, 8:193-203. |
2 | 江苏新医学院.中药大辞典(下册) [M]. 上海:上海人民出版社,1996. |
3 | VEENA S, MANU S.Validation of therapeutic claims of Allium sativum and Coriandrum sativum with potential pharmacological value: a review [J]. Int. Pharmaceut Sci., 2014, 4(1):1-13. |
4 | BHAT S, KAUSHA P, KAUR M, et al.. Coriander (Coriandrum sativum L.):processing, nutritional and functional aspects [J]. African J. Plant Sci., 2014(8): 25-33. |
5 | LARIBI B, KOUKI K, HAMDI M M, et al.. Coriander (Coriandrum sativum L.) and its bioactive constituents [J]. Fitoterapia, 2015(3):12. |
6 | NEFFATI M, MARZOUK B.Changes in essential oil and fatty acid composition in coriander (Coriandrum sativum L.) leaves under saline conditions [J]. Ind. Crop Prod., 2008,28:137-142. |
7 | 王闯,曹娜,徐宁,等.不同配比基质对番茄幼苗质量的影响[J]. 安徽农业科学,2019, 47(12):54-56. |
WANG C, CAO N, XU N,et al.. Effects of different substrates on the quality of tomato seedlings [J]. J.Anhui Agric. Sci., 2019, 47(12):54-56. | |
8 | 高婷,沙毓沧,陆琳,等.不同基质配比对白菜幼苗生长的影响[J]. 北方园艺,2021(7):33-37. |
GAO T, SHA Y C, LU L,et al.. Effects of different substrate ratios on the growth of cabbage seedlings [J]. Northern Hortic., 2021(7):33-37. | |
9 | 王跃华,张明科,惠麦侠,等.不同椰糠配比基质对白菜幼苗生长的影响 [J]. 南方农业学报,2019,50(12):2749-2754. |
WANG Y H, ZHANG M K, HUI M X,et al.. Effects of different coco peat substrates on the growth of cabbage seedlings [J]. Southern J. Agric. Sci., 2019, 50(12):2749-2754. | |
10 | 仇淑芳,杨乐琦,黄丹枫,等.草炭椰糠复合基质对‘紫油菜’生长和品质的影响[J].上海交通大学学报(农业科学版),2016,34(2):40-46. |
QIU S F, YANG L Q, HUANG D F,et al.. Effects of turf coco peat composite substrate on the growth and quality of ‘purple rape’ [J]. J. Shanghai Jiaotong Univ. (Agric. Sci.), 2016, 34(2):40-46. | |
11 | 秦立金,马燕妮,胡海奇,等.不同微生物菌肥对芫荽的促生效果研究[J]. 赤峰学院学报(自然科学版),2019,35(8):30-33. |
QIN L J, MA Y N, HU H Q,et al.. Study on the growth-promoting effect of different microbial fertilizers on coriander [J]. J. Chifeng Univ. (Nat. Sci.), 2019, 35(8):30-33. | |
12 | 李彩霞,林碧英,杨玉凯,等.椰糠、蚯蚓粪复合基质对茄幼苗生长的影响[J]. 江苏农业科学,2019,47(2):145-148. |
LI C X, LIN B Y, YANG Y K,et al.. The effect of the compound substrate of coconut bran and vermicompost on the growth of eggplant seedlings [J]. Jiangsu Agric. Sci., 2019, 47(2):145-148. | |
13 | 温建军.温室香菜-油菜-番茄高效栽培技术[J]. 现代农业科技,2017(9):96-97. |
WEN J J. High-efficiency cultivation technology of greenhouse coriander-oilseed rape-tomato [J]. Mod. Agric. Sci. Technol., 2017(9):96-97. | |
14 | 孙曙红,宋丽,俞晓红,等.香菜栽培技术[J]. 上海蔬菜,2019(6):32-33. |
SUN S H, SONG L, YU X H,et al.. Cultivation technology of coriander [J]. Shanghai Veget., 2019(6):32-33. | |
15 | 董高春,崔广波.香菜秋季大田高产栽培技术[J]. 现代农业科技,2020(8):56-57. |
DONG G C, CUI G B.High-yield cultivation techniques of coriander field in autumn [J]. Mod. Agric. Sci. Technol.,2020(8):56-57. | |
16 | 江胜德.现代园艺栽培介质[M]. 北京:中国林业出版社,2006:1-210. |
17 | 胡婷婷.栽培基质对几种蔬菜有机生态型无土栽培的影响[D].延吉:延边大学, 2015. |
HU T T.The influence of the cultivation substrate on the organic and ecological soilless culture of several vegetables [D]. Yanji: Yanbian University, 2015. | |
18 | 宋秀华,王秀峰,魏珉.基质添加沸石对番茄幼苗营养状况及生长的影响[J]. 山东农业科学,2004(2):27-29. |
SONG X H, WANG X F, WEI M.The effect of adding zeolite to the substrate on the nutritional status and growth of tomato seedlings [J]. Shandong Agric. Sci., 2004(2):27-29. | |
19 | 崔秀敏,王秀峰.黄瓜穴盘育苗基质特性及育苗效果的研究[J]. 山东农业大学学报(自然科学版),2001(2):124-128. |
CUI X M, WANG X F.Study on the characteristics of cucumber plug seedling substrate and its effect [J]. J. Shandong Agric. Univ. (Nat. Sci.), 2001(2):124-128. | |
20 | 李合生,陈翠莲,洪玉枝,等.植物生理生化实验原理和技术[M]. 北京:高等教育出版社,2000:1-278. |
21 | 高俊凤.植物生理学实验指导[M]. 西安:世界图书出版公司,2000:1-287. |
22 | 林海明,张文霖.主成分分析与因子分析的异同和SPSS软件——兼与刘玉玫、卢纹岱等同志商榷[J]. 统计研究,2005(3):65-69. |
LIN H M, ZHANG W L.The similarities and differences between principal component analysis and factor analysis and SPSS software—and discussion with Liu Yumei and Lu Wendai [J]. Statistical Res., 2005(3):65-69. | |
23 | 崔秀敏,王秀峰,孙春华,等.番茄育苗基质特性及其育苗效果[J]. 上海农业学报,2001(3):68-71. |
CUI X M, WANG X F, SUN C H,et al.. Characteristics of tomato seedling substrate and its seedling effect [J]. Shanghai J. Agric.,2001(3):68-71. | |
24 | 刘升学,于贤昌,刘伟,等.有机基质配方对袋培番茄生长及产量的影响[J]. 西北农业学报,2009,18(3):184-188. |
LIU S X, YU X C, LIU W,et al.. Effect of organic substrate formulation on the growth and yield of bagged tomatoes [J]. Northwest J. Agric.,2009,18(3):184-188. | |
25 | 陈素娟,孙娜娜.不同基质配比对番茄秧苗生长的影响[J]. 江苏农业科学,2013, 41(6):128-130. |
CHEN S J, SUN N N.Effect of different substrate ratios on the growth of tomato seedlings [J]. Jiangsu Agric. Sci.,2013,41(6):128-130. | |
26 | 张明伟.新型椰糠基质与泥炭基质栽培小白菜效果研究[J]. 现代农业科技,2019(1):73,75. |
ZHANG M W. Research on the effect of new coconut bran substrate and peat substrate for cultivating Chinese cabbage [J]. Mod. Agric. Sci. Technol., 2019 (1): 73,75. | |
27 | 陈月红,童晓利,曹荣祥,等.不同草炭配制基质对草莓高架育苗的影响[J]. 江苏农业科学,2016,44(11):186-188. |
CHEN Y H, TONG X L, CAO R X,et al.. Effect of different grass charcoal formulation substrates on strawberry raised seedlings [J]. Jiangsu Agric. Sci.,2016,44(11):186-188. | |
28 | 宋晓晓,邹志荣,曹凯,等.不同有机基质对生菜产量和品质的影响[J]. 西北农林科技大学学报(自然科学版),2013,41(6):153-160. |
SONG X X, ZOU Z R, CAO K,et al.. Effects of different organic substrates on yield and quality of lettuce [J]. J. Northwest Agric. For. Univ. Sci. Technol. (Nat. Sci.),2013,41(6):153-160. | |
29 | 时振宇,陈健,贾凯,等.不同配比基质对黄瓜、番茄幼苗生长及品质的影响[J]. 天津农业科学,2020,26(1):76-81, 90. |
SHI Z Y, CHEN J, JIA K,et al.. Effects of different ratios of substrates on the growth and quality of cucumber and tomato seedlings [J]. Tianjin Agric. Sci.,2020,26(1):76-81, 90. | |
30 | KRAUSE G H, WEIS E. Chlorophyll fluorescence and photosynthesis:the basics [J]. Annu. Rev. Plant Biol.,2003,42(1):313-349. |
31 | 周畅,洪家胜.不同配比的基质对生产产量和品质的影响[J]. 农业科技通讯,2010(7):103-107. |
ZHOU C, HONG J S. Effect of different ratios of substrates on production yield and quality [J]. Bull. Agric. Sci. Tech., 2010(7):103-107. | |
32 | 王树鹏,王博,于宏祥,等.不同配方基质对日光温室辣椒果实品质及产量的影响[J]. 中国农学通报,2015,31(10):63-68. |
WANG S P, WANG B, YU H X,et al.. Effect of different formulated substrates on fruit quality and yield of sunshine greenhouse peppers [J]. Chin. Agric. Sci. Bull.,2015, 31(10):63-68. |
[1] | Haiyan LI, Ting ZHANG, Xinchang LI, Ling ZHANG, Pei WANG, Minhu BAO. Screening and Identification of a Strain of Bacillus velezensis Against Botrytis cinerea [J]. Journal of Agricultural Science and Technology, 2025, 27(8): 110-118. |
[2] | Zhien LIU, Yong HE, Zhicheng WANG, Xiaokang ZHAN, Tingbao WANG, Yaowei LIU, Zhihong TIAN. Identification and Bioinformatics Analysis of Growth Regulating Factor GRF Gene Family in Rice [J]. Journal of Agricultural Science and Technology, 2025, 27(8): 18-27. |
[3] | Huanbin ZHENG, Ming LI, Suxin YANG, Weilin WU. Alkaline Tolerance Screening and Evaluation Analysis of Soybean Germplasm Resources at Seedling Stage [J]. Journal of Agricultural Science and Technology, 2025, 27(7): 54-71. |
[4] | Juanjuan HUANG, Zhiqiang ZHANG, Juan MAO, Zonghuan MA, Baihong CHEN. Effects of Different Foliar Fertilizers on Growth, Development and Fruit Quality of ‘Pinot Noir’ Grape [J]. Journal of Agricultural Science and Technology, 2025, 27(6): 205-217. |
[5] | Xiaodan WU, Li GAO, Tiangeng GONG, Xiangfeng KONG, Yuzhou JIANG, Guixia JIA. Effects of Microbial Fertilizer and Humic Acid Compound Fertilizer on Growth and Photosynthetic Characteristics of Lilium [J]. Journal of Agricultural Science and Technology, 2025, 27(4): 221-229. |
[6] | Gang LEI, Rong FANG, Kunhua ZHOU, Xuejun CHEN, Xinjie YUAN, Yueqin HUANG, Gege LI, Yuanyuan XIE, Xiaomin SONG. Establishment of Comprehensive Evaluation System of Pepper Germplasm Resources on Heat Tolerance at Seedling Stage [J]. Journal of Agricultural Science and Technology, 2025, 27(3): 60-70. |
[7] | Xueqing MA, Aoran JI, Jiaoli ZHENG, Chunxia CAO, Yan GONG, Daye HUANG, Beibei WANG. Research Progress on Growth-promoting Mechanism and Application of Plant Growth-promoting Rhizobacteria [J]. Journal of Agricultural Science and Technology, 2025, 27(2): 13-23. |
[8] | Qiang WU, Conglian WU, Xiaoyun WU, Jian WU, Xuanmei XU, Junsheng LAI, Weiyun HU, Bangchu GONG, Xibing JIANG. Effect of Different Fertilization Treatments on Yield and Fruit Quality of Castanea henryi [J]. Journal of Agricultural Science and Technology, 2025, 27(2): 228-237. |
[9] | Tingting MA, Yanrong ZHAO, Yuqing WEI, Yuejuan WANG, Xuefei WANG, Erdong ZHANG. Dynamic Characteristics of Stem Growth and Sugar Accumulation of Sweet Sorghum at Late Growth Stage Under Soil Salt Stress [J]. Journal of Agricultural Science and Technology, 2025, 27(2): 42-50. |
[10] | Ting WANG, Jinghan DU, Guangdi ZHANG, Jianglong WANG, Yinan JIA, Yu WANG, Wenyi BAO. Study on Quality and Volatile Substances of New Excellent Cabbage Varieties in Mountainous Area of Southern Ningxia [J]. Journal of Agricultural Science and Technology, 2025, 27(1): 165-180. |
[11] | Xuewen XU, Xingpeng WANG, Hongbo WANG, Zhenxi CAO. Physiological Regulation of Growth of Cotton Seedlings Under Salt Stress by Rhamnolipids [J]. Journal of Agricultural Science and Technology, 2025, 27(1): 72-79. |
[12] | Fei YANG, Zhongke FENG, Yangyang ZHOU, Wensheng CHENG, Zhichao WANG. Construction of A Standardized Height-diameter Equation for the Main Tree Species in China Suitable for the GlobalAllomeTree International Data Platform [J]. Journal of Agricultural Science and Technology, 2024, 26(9): 62-71. |
[13] | Mei WU, Jinzhu ZHANG, Zhenhua WANG, Jian LIU, Yue WEN, Xuanzhi LI. Effects of Water and Air Interaction on Physiological Growth and Yield of Maize Under Mulched Drip Irrigation [J]. Journal of Agricultural Science and Technology, 2024, 26(8): 189-200. |
[14] | Li MA, Tingting CAO, Youwei FAN, Zhiyu REN, Chun LIU, Suxia YUAN. Effects of Different Rooting Reagents on Rooting of Miniature Potted Rose Cuttings [J]. Journal of Agricultural Science and Technology, 2024, 26(7): 50-60. |
[15] | Yanbo FU, Bingbing LENG, Qingyong BIAN, Zhiduo DONG, Guohong LIU, Haifeng LI, Yunmeng WEN, Wenbo GUO, Wanxu ZHANG. Passivation Effect of Biochar on Soil Cadmium Pollution and Rape Growth [J]. Journal of Agricultural Science and Technology, 2024, 26(6): 183-190. |
Viewed | ||||||
Full text |
|
|||||
Abstract |
|
|||||