Journal of Agricultural Science and Technology ›› 2022, Vol. 24 ›› Issue (11): 190-198.DOI: 10.13304/j.nykjdb.2021.0541
• BIO-MANUFACTURING & RESOURCE AND ECOLOGY • Previous Articles Next Articles
Zhuwen LIU(), Longfei YANG, Maolin LIU, Guotao JIA, Qian YAO, Yiqiong MA, Ting CUI, Xinling YANG, Yang CHEN, Liangkun CHENG(
)
Received:
2021-07-05
Accepted:
2022-01-18
Online:
2022-11-15
Published:
2022-11-29
Contact:
Liangkun CHENG
刘著文(), 杨龙飞, 刘茂林, 贾国涛, 姚倩, 马一琼, 崔廷, 杨欣玲, 陈洋, 程良琨(
)
通讯作者:
程良琨
作者简介:
刘著文 E-mail: lzw116102@163.com;
基金资助:
CLC Number:
Zhuwen LIU, Longfei YANG, Maolin LIU, Guotao JIA, Qian YAO, Yiqiong MA, Ting CUI, Xinling YANG, Yang CHEN, Liangkun CHENG. Effects of Different Soil Amendments on Soil Nutrients and Inherent Quality of Flue-cured Tobacco[J]. Journal of Agricultural Science and Technology, 2022, 24(11): 190-198.
刘著文, 杨龙飞, 刘茂林, 贾国涛, 姚倩, 马一琼, 崔廷, 杨欣玲, 陈洋, 程良琨. 不同土壤改良剂对土壤养分及烤烟内在品质的影响[J]. 中国农业科技导报, 2022, 24(11): 190-198.
Add to citation manager EndNote|Ris|BibTeX
URL: https://nkdb.magtechjournal.com/EN/10.13304/j.nykjdb.2021.0541
项目Item | 土壤Soil | 生物炭Biochar |
---|---|---|
pH | 5.58 | 9.71 |
电导率Electric conductivity/(μs·cm-1) | 151.21 | 177.84 |
有机碳含量Organic carbon content/(g·kg-1) | 1.27 | 561.69 |
速效氮含量Available nitrogen content/(mg·kg-1) | 0.21 | 9.62 |
速效磷含量Available phosphorus content/(mg·kg-1) | 3.27 | 19.14 |
速效钾含量Available potassium content/(mg·kg-1) | 65.76 | 39.11 |
Table 1 Basic physical and chemical properties of soil and biochar used in the experiment
项目Item | 土壤Soil | 生物炭Biochar |
---|---|---|
pH | 5.58 | 9.71 |
电导率Electric conductivity/(μs·cm-1) | 151.21 | 177.84 |
有机碳含量Organic carbon content/(g·kg-1) | 1.27 | 561.69 |
速效氮含量Available nitrogen content/(mg·kg-1) | 0.21 | 9.62 |
速效磷含量Available phosphorus content/(mg·kg-1) | 3.27 | 19.14 |
速效钾含量Available potassium content/(mg·kg-1) | 65.76 | 39.11 |
处理 Treatment | 株高 Plant height/cm | 茎围 Stem girt/cm | 节距 Pitch/cm | 有效叶数 Productive leaf number | 最大叶面积 Maximum leaf area/cm2 |
---|---|---|---|---|---|
CK | 100.84±2.71 b | 7.61±0.26 b | 4.24±0.16 b | 21.09±0.83 a | 1 085.65±37.78 c |
T1 | 102.75±3.70 ab | 8.12±0.36 ab | 4.79±0.15 a | 21.38±0.78 a | 1 128.81±49.05 bc |
T2 | 106.75±3.94 ab | 8.46±0.26 a | 4.57±0.18 ab | 21.38±0.61 a | 1 154.23±29.84 b |
T3 | 109.31±5.33 a | 8.57±0.37 a | 4.81±0.13 a | 21.68±1.06 a | 1 321.39±33.76 a |
Table 2 Agronomic characteristics of tobacco plants under different treatments
处理 Treatment | 株高 Plant height/cm | 茎围 Stem girt/cm | 节距 Pitch/cm | 有效叶数 Productive leaf number | 最大叶面积 Maximum leaf area/cm2 |
---|---|---|---|---|---|
CK | 100.84±2.71 b | 7.61±0.26 b | 4.24±0.16 b | 21.09±0.83 a | 1 085.65±37.78 c |
T1 | 102.75±3.70 ab | 8.12±0.36 ab | 4.79±0.15 a | 21.38±0.78 a | 1 128.81±49.05 bc |
T2 | 106.75±3.94 ab | 8.46±0.26 a | 4.57±0.18 ab | 21.38±0.61 a | 1 154.23±29.84 b |
T3 | 109.31±5.33 a | 8.57±0.37 a | 4.81±0.13 a | 21.68±1.06 a | 1 321.39±33.76 a |
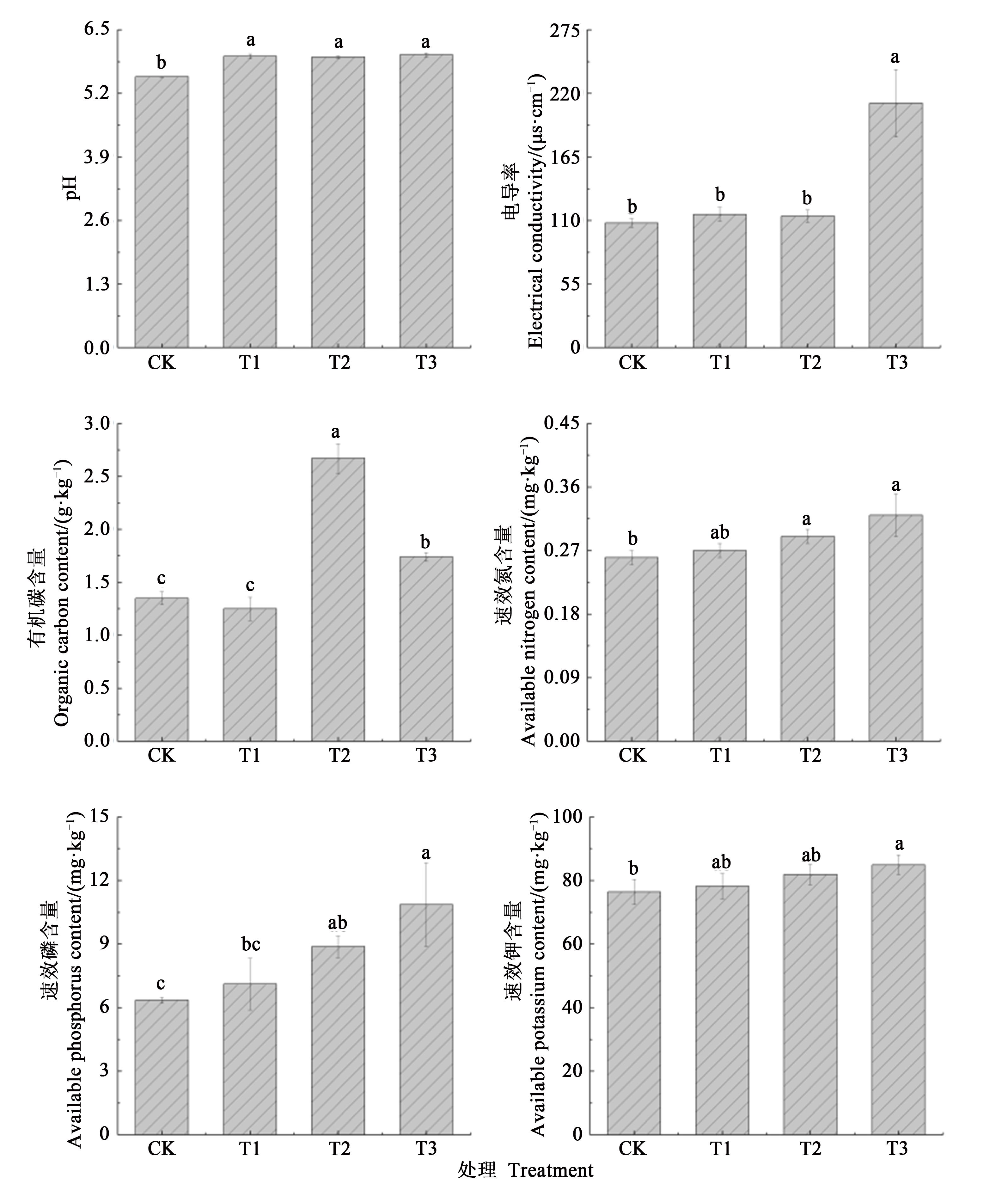
Fig. 1 Soil nutrients under different treatmentsNote:Different lowercase letters in figure indicate significant differences between different treatments at P<0.05 level.
Fig. 2 Number of soil microorganisms under different treatmentsNote:Different lowercase letters in figure indicate significant differences between different treatments at P<0.05 level.
指标Index | CK | T1 | T2 | T3 |
---|---|---|---|---|
总氮Total nitrogen/% | 2.18±0.10 ab | 2.25±0.09 a | 2.15±0.06 ab | 2.03±0.09 b |
烟碱 Nicotine/% | 2.82±0.13 a | 2.76±0.13 a | 2.73±0.08 a | 2.70±0.09 a |
总糖 Total sugar/% | 23.38±0.89 c | 24.04±0.78 bc | 25.40±0.94 ab | 26.01±0.90 a |
还原糖 Reducing sugar/% | 20.85±0.84 b | 20.99±0.58 b | 22.84±0.87 a | 23.64±0.73 a |
钾 Potassium/% | 2.14±0.05 b | 2.15±0.05 b | 2.24±0.04 a | 2.26±0.03 a |
氯 Chlorine/% | 0.43±0.01 a | 0.41±0.01 b | 0.38±0.01 c | 0.37±0.02 c |
氮碱比 Nitrogen to alkali ratio | 0.77±0.02 b | 0.81±0.02 a | 0.79±0.03 ab | 0.75±0.03 b |
糖碱比 Sugar to base ratio | 7.39±0.28 b | 7.59±0.25 b | 8.37±0.36 a | 8.75±0.33 a |
钾氯比 Potassium chloride ratio | 4.99±0.23 b | 5.24±0.19 b | 5.89±0.27 a | 6.04±0.20 a |
Table 3 Chemical composition of tobacco leaves under different treatments
指标Index | CK | T1 | T2 | T3 |
---|---|---|---|---|
总氮Total nitrogen/% | 2.18±0.10 ab | 2.25±0.09 a | 2.15±0.06 ab | 2.03±0.09 b |
烟碱 Nicotine/% | 2.82±0.13 a | 2.76±0.13 a | 2.73±0.08 a | 2.70±0.09 a |
总糖 Total sugar/% | 23.38±0.89 c | 24.04±0.78 bc | 25.40±0.94 ab | 26.01±0.90 a |
还原糖 Reducing sugar/% | 20.85±0.84 b | 20.99±0.58 b | 22.84±0.87 a | 23.64±0.73 a |
钾 Potassium/% | 2.14±0.05 b | 2.15±0.05 b | 2.24±0.04 a | 2.26±0.03 a |
氯 Chlorine/% | 0.43±0.01 a | 0.41±0.01 b | 0.38±0.01 c | 0.37±0.02 c |
氮碱比 Nitrogen to alkali ratio | 0.77±0.02 b | 0.81±0.02 a | 0.79±0.03 ab | 0.75±0.03 b |
糖碱比 Sugar to base ratio | 7.39±0.28 b | 7.59±0.25 b | 8.37±0.36 a | 8.75±0.33 a |
钾氯比 Potassium chloride ratio | 4.99±0.23 b | 5.24±0.19 b | 5.89±0.27 a | 6.04±0.20 a |
处理 Treatment | 产量 Yield/(kg·hm-2) | 产值/(元·hm-2) Output/(yuan·hm-2) | 比例 Ratio/% | 均价/(元·kg-1) Average price/(yuan·kg-1) | |
---|---|---|---|---|---|
上等烟 High quality tobacco | 中上等烟 High and medium quality tobacco | ||||
CK | 1 864.43±72.99 d | 32 285.18±853.94 c | 31.77±1.50 b | 83.95±2.68 b | 17.30±0.45 b |
T1 | 2 062.67±54.56 c | 36 130.58±1 300.70 b | 32.52±1.31 b | 87.11±3.28 ab | 17.50±0.52 ab |
T2 | 2 203.24±55.30 b | 38 757.95±1 548.38 b | 35.13±0.93 a | 86.48±2.45 ab | 17.57±0.46 ab |
T3 | 2 357.44±93.24 a | 43 648.16±1 721.92 a | 35.39±1.16 a | 89.35±2.59 a | 18.50±0.54 a |
Table 4 Economic characteristics of flue-cured tobacco under different treatments
处理 Treatment | 产量 Yield/(kg·hm-2) | 产值/(元·hm-2) Output/(yuan·hm-2) | 比例 Ratio/% | 均价/(元·kg-1) Average price/(yuan·kg-1) | |
---|---|---|---|---|---|
上等烟 High quality tobacco | 中上等烟 High and medium quality tobacco | ||||
CK | 1 864.43±72.99 d | 32 285.18±853.94 c | 31.77±1.50 b | 83.95±2.68 b | 17.30±0.45 b |
T1 | 2 062.67±54.56 c | 36 130.58±1 300.70 b | 32.52±1.31 b | 87.11±3.28 ab | 17.50±0.52 ab |
T2 | 2 203.24±55.30 b | 38 757.95±1 548.38 b | 35.13±0.93 a | 86.48±2.45 ab | 17.57±0.46 ab |
T3 | 2 357.44±93.24 a | 43 648.16±1 721.92 a | 35.39±1.16 a | 89.35±2.59 a | 18.50±0.54 a |
1 | 程亚东,白羽祥,史普酉,等.连作植烟土壤具有显著积累特征的两种酚酸的化感效应评价[J].核农学报,2020,34(10):2307-2315. |
CHENG Y D, BAI Y X, SHI P Y, et al.. Evaluation of two phenolic acidifying effects in continuous cropping of tobacco soil with significant accumulation characteristics [J]. Acta Agric. Nucl. Sin., 2020, 34(10): 2307-2315. | |
2 | WANG S N, CHENG J K, LI T, et al.. Response of soil fungal communities to continuous cropping of flue-cured tobacco [J/OL]. Sci. Rep., 2020, 10(1):19911 [2021-07-04]. . |
3 | 王棋,徐传涛,王昌全,等.烤烟连作对土壤生态化学计量特征的影响[J].农业资源与环境学报,2020,37(5):702-708. |
WANG Q, XU C T, WANG C Q, et al.. Effects of continuous cultivated flue-cured tobacco on soil eco-stoichiometric characteristics [J]. J. Agric. Resour. Environ., 2020, 37(5): 702-708. | |
4 | 付仲毅,张晓远,张晓帆,等.烤烟连作对植烟土壤碳库及烤后烟叶品质的影响[J].西北农林科技大学学报(自然科学版),2018,46(8):16-22. |
FU Z Y, ZHANG X Y, ZHANG X F, et al.. Effect of continuous cropping on quality of flue-cured tobacco leaves and carbon pool in tobacco growing soil [J]. J. Northwest Sci-Tech Univ. Agric. For. (Nat. Sci.), 2018, 46(8): 16-22. | |
5 | 聂庆凯,王静,孙兴广,等.有机肥部分替代化肥对植烟土壤生化特性和烤烟品质的影响[J].中国烟草科学,2020,41(4):26-32. |
NIE Q K, WANG J, SUN X G, et al.. The effects of organic fertilizers partly replacing chemical fertilizers on biochemical characteristics of soil and quality of flue-cured tobacco [J]. Chin. Tob. Sci., 2020, 41(4): 26-32. | |
6 | XU M, HAO X L, XIONG Z Q, et al.. Soil amendments change bacterial functional genes more than taxonomic structure in a cadmium-contaminated soil [J]. Soil Biol. Biochem., 2021,154(1): 108-126. |
7 | 张文学,王少先,刘增兵,等.基于土壤肥力质量综合指数评价化肥与有机肥配施对红壤稻田肥力的提升作用[J].植物营养与肥料学报,2021,27(5):777-790. |
ZHANG W X, WANG S X, LIU Z B, et al.. Evaluating soil fertility improvement effects of chemical fertilizer combined with organic fertilizers in a red paddy soil using the soil fertility index [J]. Plant Nutr. Fert. Sci., 2021, 27(5): 777-790. | |
8 | 郑亚楠,赵铭钦,贺凡,等.聚丙烯酸盐类改良剂对土壤理化性状及烤烟根系生长的影响[J].中国烟草科学,2017,38(2):39-44. |
ZHENG Y N, ZHAO M Q, HE F, et al.. Effects of polyacrylic acid salt soil amendment on soil properties and root growth of flue-cured tobacco [J]. Chin. Tob. Sci., 2017, 38(2): 39-44. | |
9 | 陈世军,潘文杰,孟玉山,等.石灰和聚丙烯酰胺处理的酸性土壤对烤烟生长及生理特性的影响[J].植物营养与肥料学报,2012,18(5):1243-1251. |
CHEN S J, PAN W J, MENG Y S, et al.. Effects of acid soils treated with lime and polyacrylamide on the growth and physiological characteristics of flue-cured tobacco [J]. Plant Nutr. Fert. Sci., 2012, 18(5): 1243-1251. | |
10 | HAN J Q, DONG Y Y, ZHANG M. Chemical fertilizer reduction with organic fertilizer effectively improve soil fertility and microbial community from newly cultivated land in the Loess Plateau of China [J/OL]. Appl. Soil Ecol., 2021, 165(2):103966 [2021-07-04]. . |
11 | HAN G M, CHEN Q Q, ZHANG S X, et al.. Biochar effects on bacterial community and metabolic pathways in continuously cotton-cropped soil [J]. J. Soil Sci. Plant Nutr., 2019, 19(2): 14-19. |
12 | 赵亚鹏,贾辉,符云鹏,等.施用等碳量生物炭和腐熟秸秆对土壤养分及有机碳库的影响[J].烟草科技,2020,53(1):12-20. |
ZHAO Y P, JIA H, FU Y P, et al.. Effects of biochar and decomposed straw at equal carbon content on soil fertility and organic carbon pool [J]. Tob. Sci. Tech., 2020, 53(1): 12-20. | |
13 | LI X N, WANG T, CHANG S X,et al.. Biochar increases soil microbial biomass but has variable effects on microbial diversity: a meta-analysis [J/OL]. Sci. Total Environ., 2020, 749(1): 141593[2021-07-04]. . |
14 | 施河丽,向必坤,彭五星,等.有机无机肥料配施对植烟土壤养分及细菌群落结构的影响[J].中国土壤与肥料,2019(4):58-66. |
SHI H L, XIANG B K, PENG W X, et al.. Effects of combined application of organic and inorganic fertilizers on flue-cured tobacco soil nutrients and bacterial community structure [J]. China Soils Fert., 2019(4): 58-66. | |
15 | 张团.土壤有机改良措施对烤烟生长发育和品质的影响[D].郑州:河南农业大学,2016. |
ZHANG T. Effects of soil organic improvement measures on growth, development and quality of flue-cured tobacco [D]. Zhengzhou: Henan Agricultural University, 2016. | |
16 | YAN S, ZHAO J Y, REN T B, et al.. Correlation between soil microbial communities and tobacco aroma in the presence of different fertilizers [J/OL]. Ind. Crops Prod., 2020, 151(1):112454[2021-07-04]. . |
17 | 国家烟草专卖局. 烟草农艺性状调查方法: [S].北京:中国标准出版社,2010. |
18 | 鲍士旦.土壤农化分析[M].北京:中国农业出版社,2000:14-109. |
19 | 吴金水,林启美,黄巧云,等.土壤微生物生物量测定方法及其应用[M].北京:气象出版社,2006:3-13. |
20 | 王瑞新.烟草化学[M].北京:中国农业出版社,2003:221-257. |
21 | 邹凯,汪坤,隆准,等.基于高碳基肥不同采收方式对邵阳烤烟上六片烟叶质量的影响[J].河南农业大学学报,2021,55(1):23-28. |
ZOU K, WANG K, LONG Z, et al.. Effects of different harvesting methods of high carbon based fertilizer on the quality of upper leaf in Shaoyang flue-cured tobacco [J]. J. Henan Agric. Univ., 2021, 55(1): 23-28. | |
22 | YE R, DOANE T A, MORRIS J, et al.. The effect of rice straw on the priming of soil organic matter and methane production in peat soils [J]. Soil Biol. Biochem., 2015, 81(1): 98-107. |
23 | 白岗栓,何登峰,耿伟,等.不同保水剂对土壤特性及烤烟生长的影响[J].中国农业大学学报,2020,25(10):31-43. |
BAI G S, HE D F, GENG W, et al.. Effects of different super absorbent polymer on soil characteristics and flue-cured tobacco growth [J]. J. China Agric. Univ., 2020, 25(10): 31-43. | |
24 | SEIJI S, NOBUHISA K. Rapid change in soil C storage associated with vegetation recovery after cessation of cultivation [J]. Soil Sci. Plant Nutr., 2013, 59(1): 27-34. |
25 | MAHMOUD E, EL-KADER N A, ROBIN P, et al.. Effects of different organic and inorganic fertilizers on cucumber yield and some soil properties [J]. World J. Agric. Sci., 2009, 5(1): 408-414. |
26 | 李迪秦,龚湛武,李玉辉,等.复合生物有机肥对烤烟光合生理特性及土壤微生物的影响[J].中国农业科技导报,2017,19(9):109-116. |
LI D Q, GONG Z W, LI Y H, et al.. Effects of compound bio-organic fertilizer on flue-cured tobacco photosynthetic physiological characters & soil microbes [J]. J. Agric. Sci. Technol., 2017, 19(9): 109-116. | |
27 | ROUSK J, BROOKES P C, BAATH E. Contrasting soil pH effects on fungal and bacterial growth suggest functional redundancy in carbon mineralization [J]. Appl. Environ. Microbiol., 2009, 75(1): 1589-1596. |
28 | 张国栋,展星,李园园,等.有机物料发酵流体和堆肥对苹果连作土壤环境及平邑甜茶幼苗生物量的影响[J].生态学报,2015,35(11):3663-3673. |
ZHANG G D, ZHAN X, LI Y Y, et al.. Effects of anaerobic and aerobic fermentation of organic materials on continuous cropping soil environment and Malus hupehensis seedling biomass [J]. Acta Ecol. Sin., 2015, 35(11): 3663-3673. | |
29 | 许跃奇,阎海涛,王晓强,等.生物炭与有机肥配施对褐土烟田微生物功能多样性的影响[J].中国烟草科学,2020,41(5):55-59. |
XU Y Q, YAN H T, WANG X Q, et al.. Effects of mixed application of biochar and organic fertilizers on microbial functional diversity in tobacco growing cinnamon soil [J]. Chin. Tob. Sci., 2020, 41(5): 55-59. | |
30 | XU G, SUN J N, SHAO H B, et al.. Biochar had effects on phosphorus sorption and desorption in three soils with differing acidity [J]. Ecol. Eng., 2014, 62(1): 54-60. |
31 | CHERISTOPH S, WENCESLAU G T, JOHANNES L, et al.. Long term effects of manure, charcoal and mineral fertilization on crop production and fertility on a highly weathered central amazonian upland soil [J]. Plant Soil, 2007, 291(1): 275-290. |
32 | 杨明坤,李建华,刘扣珠,等.豫中上六片烤烟不同采收期对烤后烟叶品质的影响[J].中国农业科技导报,2020,22(12):163-171. |
YANG M K, LI J H, LIU K Z, et al.. Effects of different harvesting periods on the quality of upper six tobacco leaves of flue-cured tobacco in central Henan [J]. J. Agric. Sci. Technol., 2020, 22(12): 163-171. |
[1] | Xiyu ZHANG, Xing SHEN, Wei LI, Wenge XIE, Jie LI, Changhao YANG, Zhongping CHAI. Influence of Reduced Nitrogen Fertilizer Combined with Organic Fertilizer on Soil Bacterial Community Structure in Korla Pear Orchards [J]. Journal of Agricultural Science and Technology, 2025, 27(7): 217-228. |
[2] | Fu QING, Hongyue LIANG, Jing SUN, Xinrui LU, Yunjiang LIANG. Effects of Combined Application of Biochar and Nitrogen Fertilizer on Aggregate and Organic Carbon Content of Black Soil in Northeast China [J]. Journal of Agricultural Science and Technology, 2025, 27(6): 195-204. |
[3] | Saisai HOU, Shanshan TONG, Pengqi WANG, Bingxue XIE, Ruifang ZHANG, Xinxin WANG. Effects of Biochar and Straw on Growth Characteristics and Nutrient Uptake of Different Crops [J]. Journal of Agricultural Science and Technology, 2025, 27(4): 179-191. |
[4] | Ruyan ZHANG, Shenhao LI, Qipeng ZHU, Taigang FENG, Hongbo LI, Zebing XING, Yu XIAN. Effect of Biochar Content on Physical and Mechanical Properties of Garden Greening Waste/polylactic Acid Composites [J]. Journal of Agricultural Science and Technology, 2025, 27(2): 192-200. |
[5] | Zhenhua MA, Qianru SHI, Xinjie NING, Hongyang WEI, Can WANG, Jingjing ZHANG, Biao ZHANG, Suqin YANG. Effects of Modified Biochar on Soil Nematode Community in Cadmium and Lead Contaminated Soil [J]. Journal of Agricultural Science and Technology, 2025, 27(2): 201-210. |
[6] | Zhiwei LYU, Dongmei LI, Meijuan JIN, Yanhui ZHANG, Yueyue TAO, Xinwei ZHOU, Haihou WANG. Effects of Pyrolysis Temperature and Time on Physicochemical Properties and Adsorption Properties of Biochar [J]. Journal of Agricultural Science and Technology, 2025, 27(2): 211-217. |
[7] | Zhikang SUN, Liqun LI, Jie HAO, Han WU, Na WU, Chao ZHENG, Qiang JI, Xuanwen LI, Chen CHEN. Recent Advances of CRISPR-Cas System in Genome Editing of Bacillus subtilis [J]. Journal of Agricultural Science and Technology, 2025, 27(2): 24-32. |
[8] | Danyi SHI, Yu QIU, Chengzhen HUANG, Juan WANG. Effect of Acid Modified Biochar on Infiltration Characteristics of Coastal Saline Soil [J]. Journal of Agricultural Science and Technology, 2024, 26(9): 183-192. |
[9] | Jidong ZHANG, Yaxiong ZHANG, Wei CHENG, Li PU, Luhang LIU, Yaming WANG. Effects of Combined Application of Biochar and Organic Fertilizer on Soil Physicochemical Properties and Microbial Community Characteristics in Apple Recropping Field [J]. Journal of Agricultural Science and Technology, 2024, 26(8): 213-222. |
[10] | Hao WANG, Pengjie JIN, Shan GAO, Mingxuan ZHAO, Changai ZHANG, Shengdao SHAN. Effect of Additives on Stability Immersed in Water of Biochar Based Long-acting Fertilizer [J]. Journal of Agricultural Science and Technology, 2024, 26(7): 174-182. |
[11] | Zitian PU, Hong WANG, Bin ZHAO, Xinxin WANG. Effects of Different Soil Amendments on Growth of Scutellaria baicalensis and Soil Enzyme Activities in Continuous Cropping [J]. Journal of Agricultural Science and Technology, 2024, 26(7): 189-198. |
[12] | Yanbo FU, Bingbing LENG, Qingyong BIAN, Zhiduo DONG, Guohong LIU, Haifeng LI, Yunmeng WEN, Wenbo GUO, Wanxu ZHANG. Passivation Effect of Biochar on Soil Cadmium Pollution and Rape Growth [J]. Journal of Agricultural Science and Technology, 2024, 26(6): 183-190. |
[13] | Yuxin CHEN, Hongmei ZHAO, Weijun YANG, Mei YANG, Song GUO, Shilong SONG, Chao HUI. Effects of Biochar on Soil Microbial Carbon Source Utilization and Spring Wheat Yield [J]. Journal of Agricultural Science and Technology, 2024, 26(5): 174-183. |
[14] | Ling LIN, Yujie ZHU, Lei FENG, Guangmu TANG, Yunshu ZHANG, Wanli XU. Effects of Aged Cotton Straw Biochars on Soil Properties and Nitrogen Utilization of Wheat [J]. Journal of Agricultural Science and Technology, 2024, 26(5): 184-191. |
[15] | Yahong ZHAO, Qianyu HU, Rong XIA, Zhijiang WANG, Yonghui XIE, Xianwen YE, Lei YU, Ying QI, Shaowu YANG, Zhiqin XUE, Zhixing WU, Feiyan HUANG, Tianhua HAN. Effects of Biochar Fertilizer on Rhizosphere Flora and Physicochemical Properties of Flue-cured Tobacco Susceptible to Root Knot Nematode [J]. Journal of Agricultural Science and Technology, 2024, 26(4): 206-214. |
Viewed | ||||||
Full text |
|
|||||
Abstract |
|
|||||