Journal of Agricultural Science and Technology ›› 2022, Vol. 24 ›› Issue (9): 166-176.DOI: 10.13304/j.nykjdb.2021.0385
• BIO-MANUFACTURING & RESOURCE AND ECOLOGY • Previous Articles Next Articles
Qian YANG1(), Na WU1, Cong ZHAO1, Yu HAN1, Zhonghua MA1, Yongsen YANG1, Jili LIU2(
)
Received:
2021-05-08
Accepted:
2021-12-09
Online:
2022-09-15
Published:
2022-10-11
Contact:
Jili LIU
杨茜1(), 吴娜1, 赵匆1, 韩羽1, 麻仲花1, 杨永森1, 刘吉利2(
)
通讯作者:
刘吉利
作者简介:
杨茜 E-mail:13619575969@163.com;
基金资助:
CLC Number:
Qian YANG, Na WU, Cong ZHAO, Yu HAN, Zhonghua MA, Yongsen YANG, Jili LIU. Effects of Zinc Fertilizer Application on Physiological Characteristics and Grain Zn Content of Maize in Saline-alkali Soil[J]. Journal of Agricultural Science and Technology, 2022, 24(9): 166-176.
杨茜, 吴娜, 赵匆, 韩羽, 麻仲花, 杨永森, 刘吉利. 施锌对盐碱地玉米生理特性及籽粒锌含量的影响[J]. 中国农业科技导报, 2022, 24(9): 166-176.
Add to citation manager EndNote|Ris|BibTeX
URL: https://nkdb.magtechjournal.com/EN/10.13304/j.nykjdb.2021.0385
Fig.1 Pro content in maize leaves under different treatmentNote: Different small letters indicate significant difference among different treatments at the same growth stage at P<0.05 level.
Fig. 2 Relative conductivity in maize leaves under different treatmentsNote: Different small letters indicate significant difference among different treatments at the same growth stage at P<0.05 level.
Fig.3 MDA content in maize leaves under different treatmentsNote: Different small letters indicate significant difference among different treatments at the same growth stage at P<0.05 level.
Fig. 4 SOD activity in maize leaves under different treatmentsNote: Different small letters indicate significant difference among different treatments at the same growth stage at P<0.05 level.
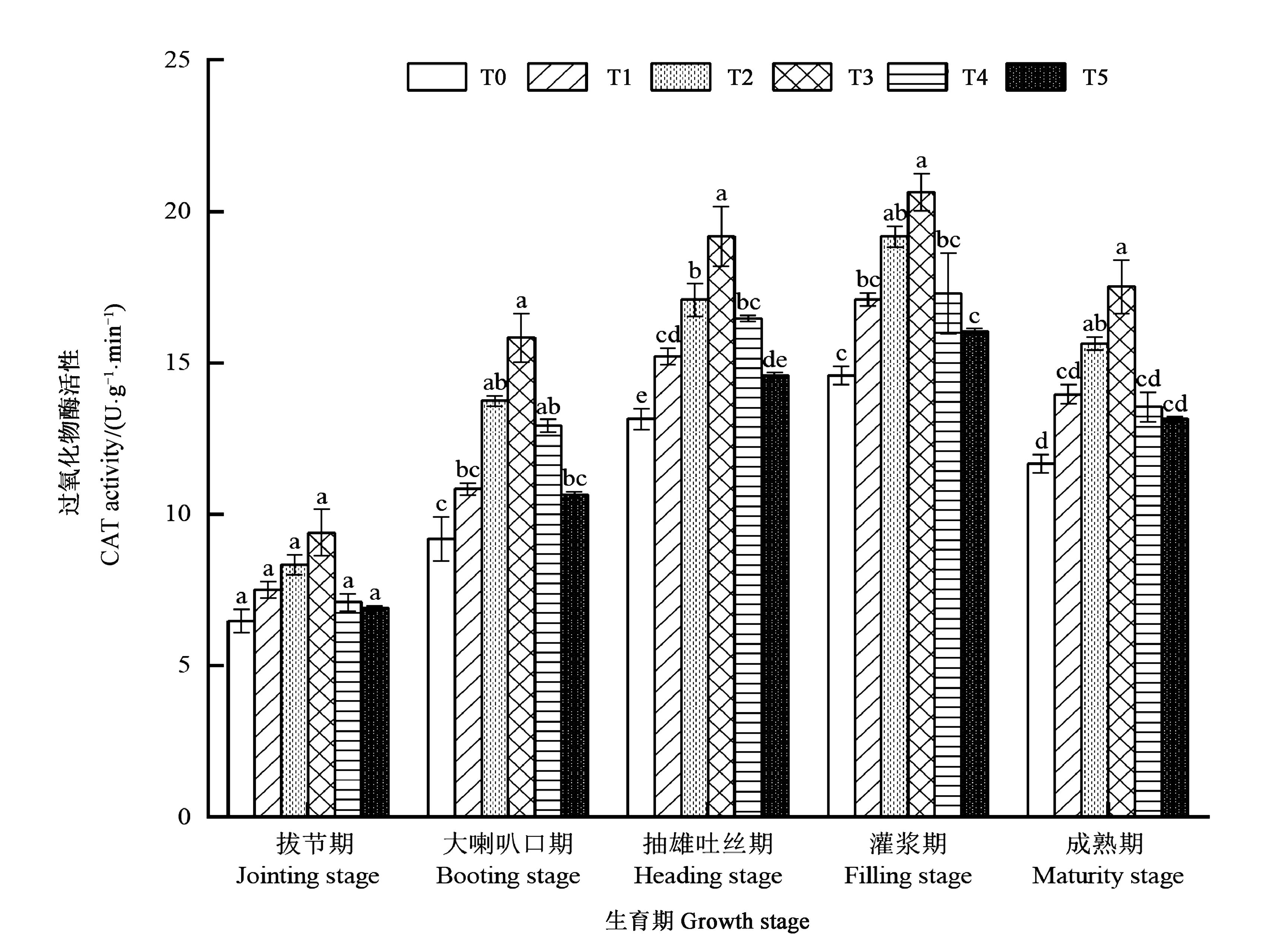
Fig.5 CAT activity in maize leaves under different treatmentsNote: Different small letters indicate significant difference among different treatments at the same growth stage at P<0.05 level.
Fig. 6 POD activity in maize leaves under different treatmentsNote: Different small letters indicate significant difference among different treatments at the same growth stage at P<0.05 level.
Fig. 7 Grain Zn content of maize under different treatmentsNote: Different small letters indicate significant difference among different treatments at P<0.05 level.
处理 Treatment | 茎中锌素/ (mg·株-1) Zn in leaf/ (mg·plant-1) | 叶中锌素/ (mg·株-1) Zn in stem/ (mg·plant-1) | 锌素转移量/(mg·株-1) Zn transfer quantity/ (mg·plant-1) | 转移率 Transport rate/% | 贡献率 Contribution rate/% | |||||
---|---|---|---|---|---|---|---|---|---|---|
抽雄期Tasseling period | 成熟期Maturation period | 抽雄期Tasseling period | 成熟期Maturation period | 茎 Stem | 叶 Leaf | 茎 Stem | 叶 Leaf | 茎 Stem | 叶 Leaf | |
T0 | 1.16 f | 0.8 e | 2.24 f | 1.38 e | 0.36 e | 0.86 e | 30.73 b | 38.22 b | 44.38 b | 61.86 b |
T1 | 1.39 e | 0.97 d | 3.04 e | 1.81 d | 0.42 d | 1.23 d | 30.10 a | 40.46 ab | 43.06 b | 67.97 ab |
T2 | 1.71 b | 1.15 b | 4.06 d | 2.41 c | 0.56 b | 1.65 c | 32.57 a | 40.73 ab | 48.31 a | 68.98 ab |
T3 | 1.76 a | 1.18 a | 5.00 a | 2.90 a | 0.58 a | 2.11 a | 32.78 a | 42.06 a | 48.77 a | 72.67 a |
T4 | 1.69 c | 1.14 b | 4.60 b | 2.74 b | 0.54 b | 1.86 b | 32.09 a | 40.47 ab | 47.26 a | 67.99 ab |
T5 | 1.53 d | 1.04 c | 4.16 c | 2.54 c | 0.49 c | 1.62 c | 31.88 a | 38.92 ab | 46.81 a | 63.73 ab |
Table 1 Zinc translocation and contribution rate in maize stems and leaves under different treatments
处理 Treatment | 茎中锌素/ (mg·株-1) Zn in leaf/ (mg·plant-1) | 叶中锌素/ (mg·株-1) Zn in stem/ (mg·plant-1) | 锌素转移量/(mg·株-1) Zn transfer quantity/ (mg·plant-1) | 转移率 Transport rate/% | 贡献率 Contribution rate/% | |||||
---|---|---|---|---|---|---|---|---|---|---|
抽雄期Tasseling period | 成熟期Maturation period | 抽雄期Tasseling period | 成熟期Maturation period | 茎 Stem | 叶 Leaf | 茎 Stem | 叶 Leaf | 茎 Stem | 叶 Leaf | |
T0 | 1.16 f | 0.8 e | 2.24 f | 1.38 e | 0.36 e | 0.86 e | 30.73 b | 38.22 b | 44.38 b | 61.86 b |
T1 | 1.39 e | 0.97 d | 3.04 e | 1.81 d | 0.42 d | 1.23 d | 30.10 a | 40.46 ab | 43.06 b | 67.97 ab |
T2 | 1.71 b | 1.15 b | 4.06 d | 2.41 c | 0.56 b | 1.65 c | 32.57 a | 40.73 ab | 48.31 a | 68.98 ab |
T3 | 1.76 a | 1.18 a | 5.00 a | 2.90 a | 0.58 a | 2.11 a | 32.78 a | 42.06 a | 48.77 a | 72.67 a |
T4 | 1.69 c | 1.14 b | 4.60 b | 2.74 b | 0.54 b | 1.86 b | 32.09 a | 40.47 ab | 47.26 a | 67.99 ab |
T5 | 1.53 d | 1.04 c | 4.16 c | 2.54 c | 0.49 c | 1.62 c | 31.88 a | 38.92 ab | 46.81 a | 63.73 ab |
处理 Treatment | 穗长 Ear length/cm | 穗粗 Ear coarse/cm | 秃尖 Bald tip/cm | 行粒数 kernel number | 穗行数 Row number | 穗数 Ear number | 穗粒数 Grain number | 百粒重 100-grain weight/g | 产量 Yield/ (kg·hm-2) |
---|---|---|---|---|---|---|---|---|---|
T0 | 17.83 b | 47.82 b | 1.71 a | 36.40 b | 14.40 b | 6.81 a | 509.33 b | 33.98 b | 10 025.54 b |
T1 | 18.58 ab | 48.54 ab | 1.37 ab | 38.10 ab | 15.00 ab | 6.89 a | 549.56 ab | 34.82 ab | 11 162.63 b |
T2 | 19.23 ab | 49.15 a | 1.13 b | 39.08 ab | 15.40 ab | 6.92 a | 577.33 a | 35.00 ab | 11 874.61 b |
T3 | 19.47 a | 49.46 a | 0.96 b | 41.00 a | 16.00 a | 6.90 a | 592.89 a | 35.37 a | 12 433.86 a |
T4 | 18.67 ab | 48.71 ab | 1.16 b | 39.80 ab | 15.20 ab | 6.86 a | 552.22 ab | 34.78 ab | 11 222.41 ab |
T5 | 18.53 ab | 48.69 ab | 1.67 a | 38.60 ab | 15.00 ab | 6.80 a | 516.22 b | 34.64 ab | 10 349.42 b |
Table 2 Maize yield and compose factor of maize yield under different treatment
处理 Treatment | 穗长 Ear length/cm | 穗粗 Ear coarse/cm | 秃尖 Bald tip/cm | 行粒数 kernel number | 穗行数 Row number | 穗数 Ear number | 穗粒数 Grain number | 百粒重 100-grain weight/g | 产量 Yield/ (kg·hm-2) |
---|---|---|---|---|---|---|---|---|---|
T0 | 17.83 b | 47.82 b | 1.71 a | 36.40 b | 14.40 b | 6.81 a | 509.33 b | 33.98 b | 10 025.54 b |
T1 | 18.58 ab | 48.54 ab | 1.37 ab | 38.10 ab | 15.00 ab | 6.89 a | 549.56 ab | 34.82 ab | 11 162.63 b |
T2 | 19.23 ab | 49.15 a | 1.13 b | 39.08 ab | 15.40 ab | 6.92 a | 577.33 a | 35.00 ab | 11 874.61 b |
T3 | 19.47 a | 49.46 a | 0.96 b | 41.00 a | 16.00 a | 6.90 a | 592.89 a | 35.37 a | 12 433.86 a |
T4 | 18.67 ab | 48.71 ab | 1.16 b | 39.80 ab | 15.20 ab | 6.86 a | 552.22 ab | 34.78 ab | 11 222.41 ab |
T5 | 18.53 ab | 48.69 ab | 1.67 a | 38.60 ab | 15.00 ab | 6.80 a | 516.22 b | 34.64 ab | 10 349.42 b |
指标 Index | 秃尖 Bald tip | 穗长 Ear length | 穗粗 Ear coarse | 穗行数 Row number | 行粒数 Kernel number | 穗数 Ear number | 穗粒数 Grain number per ear | 百粒重 100-kernel weight |
---|---|---|---|---|---|---|---|---|
穗长Ear length | -0.209 | |||||||
穗粗Ear coarse | -0.448 | 0.711** | ||||||
穗行数Ear rows | -0.249 | 0.339 | 0.107 | . | ||||
行粒数Line grain | -0.513* | 0.205 | 0.515* | -0.070 | ||||
穗数Ear number | -0.411 | -0.034 | 0.243 | 0.245 | 0.413 | |||
穗粒数Kernel number per ear | -0.612** | 0.447 | 0.607** | 0.472* | 0.795** | 0.463 | ||
百粒重100-kernel weight | -0.493* | 0.549* | 0.667** | 0.321 | 0.337 | 0.198 | 0.521* | |
产量Yield | -0.658** | 0.464 | 0.664** | 0.471* | 0.768** | 0.578* | 0.972** | 0.655** |
Table 3 Correlation between maize yields and compose factors
指标 Index | 秃尖 Bald tip | 穗长 Ear length | 穗粗 Ear coarse | 穗行数 Row number | 行粒数 Kernel number | 穗数 Ear number | 穗粒数 Grain number per ear | 百粒重 100-kernel weight |
---|---|---|---|---|---|---|---|---|
穗长Ear length | -0.209 | |||||||
穗粗Ear coarse | -0.448 | 0.711** | ||||||
穗行数Ear rows | -0.249 | 0.339 | 0.107 | . | ||||
行粒数Line grain | -0.513* | 0.205 | 0.515* | -0.070 | ||||
穗数Ear number | -0.411 | -0.034 | 0.243 | 0.245 | 0.413 | |||
穗粒数Kernel number per ear | -0.612** | 0.447 | 0.607** | 0.472* | 0.795** | 0.463 | ||
百粒重100-kernel weight | -0.493* | 0.549* | 0.667** | 0.321 | 0.337 | 0.198 | 0.521* | |
产量Yield | -0.658** | 0.464 | 0.664** | 0.471* | 0.768** | 0.578* | 0.972** | 0.655** |
1 | 沈汀兰.我国玉米产业发展与粮食安全[J].农经,2021(5): 44-49. |
2 | 李新,许志斌,佘奎军,等.宁夏玉米产业的现状和发展[J].种子,2009,28(9):104-106. |
LI X, XU Z B, SHE K J, et al.. Status and development of maize industry in Ningxia province [J]. Seed, 2009, 28(9): 104-106. | |
3 | 李成军,吴宏亮,康建宏,等.宁夏中部干旱区玉米种植保护性耕作及覆盖措施研究[J].农业科学研究,2009,30(4):6-10. |
LI C J, WU H L, KANG J H, et al.. Study on protective tilling and plastic mulching technique to maize planting in the drought zone of middle Ningxia [J]. J.Agric. Sci., 2009,30(4): 6-10. | |
4 | 黄建成,陈国栋,李鹏.宁夏引黄灌区土壤盐渍化现状与改良[J].水土保持研究,2008,15(6):256-258. |
HANG J C, CHEN G D, LI P. Present situation and improvement of soil Salinity in directly yellow-irrigated areas of Ningxia [J]. Res. Soil Water Convers., 2008, 15(6): 256-258. | |
5 | 刘学军,刘平,蒋正文.宁夏扬黄灌区土壤盐渍化防治对策[J].宁夏农林科技,2018,59(9): 54-58. |
LIU X J, LIU P, JIANG Z W. Control of soil salinization in irrigation area of yellow river in Ningxia [J]. J. Ningxia For. Agric. Sci. Technol., 2018, 59(9):54-58. | |
6 | 孙文涛,汪仁,安景文,等.平衡施肥技术对玉米产量影响的研究[J].玉米科学,2008(3):109-111. |
SUN W T, WANG R, AN J W, et al.. Study on effect of balanced fertilization technology on the yield of corn [J].J. Maize Sci., 2008, 16(3):109-111. | |
7 | 孙建华.玉米施锌吸收积累及有效化调控机理的研究[D].长春:吉林农业大学,2013. |
SUN J H. Studies on influence of zinc fertilizer on the absorption and accumulation of zinc content and the regulatory mechanism of zinc availability [D].Changchun: Jilin Agricultual University, 2013. | |
8 | 张金尧,汪洪.锌肥施用与人体锌素营养健康[J].肥料与健康,2020,47(1):11-16, 36. |
ZHANG J Y, WANG H. Zinc fertilizer application and human Zinc nutrition health [J]. Fert. Health, 2020, 47(1): 11-16, 36. | |
9 | 李淑云,董小坤.论锌对人体健康的重要性[J].胜利油田师范专科学校学报,2000(4):52-53. |
10 | ISMAIL C. Tansley review No. 111: possible roles of zinc in protecting plant cells from damage by reactive oxygen species [J]. New Phytol., 2000, 146(2): 185-205. |
11 | LAMBERS H, BRUNDRETT M C, RAVEN J A, et al.. Plant mineral nutrition in ancient landscapes: high plant species diversity on infertile soils is linked to functional diversity for nutritional strategies [J]. Plant Soil, 2011, 348(1-2):7-27. |
12 | 李文宗,张兰,徐妙云,等.富锌玉米的筛选及叶面喷施锌肥对玉米籽粒中矿物元素的影响分析[J]. 中国农业科技导报, 2018,20(1):47-54. |
LI W Z, ZHANG L, XU M Y, et al.. Screening of zinc rich corn and the investigation of mineral element in corn grain sprayed with zinc fertilizer [J]. J. Agric. Sci. Tech., 2018, 20(1):47-54. | |
13 | ALLOWAY B J. Soil factors associated with zinc deficiency in crops and humans[J]. Environ. Geochem. Health, 2009, 31(5):537-548. |
14 | 王子腾,耿元波.国内外主要粮食作物对施用锌肥响应的研究进展[J].植物营养与肥料学报,2018,24(3):805-816. |
WANG Z T, GENG Y B. Research advances on the response of main food crops to zinc fertilization at China and abroad [J]. J. Plant Nutr. Fert., 2018, 24(3): 805-816. | |
15 | SHIVAY Y S, KUMAR D, PRASAD R, et al.. Relative yield and zinc uptake by rice from zinc sulphate and zinc oxide coatings onto urea [J]. Nutr. Cycl. Agroecosyst.,2008,80(2): 181-188. |
16 | 尚清芳,董莉丽,张建明,等.宁夏银北平原灌淤土耕层土壤微量元素的空间变异性研究[J].安徽农业科学,2010,38(32): 18173-18176. |
SHANG Q F, DONG L F, ZHANG J M, et al.. Spatial variability of trace elements in irrigation-silted soil in north of yinchuan plain of Ningxia [J]. J. Anhui Agric. Sci., 2010, 38(32): 18173-18176. | |
17 | 曹婷,代惠萍.锌胁迫对4种紫花苜蓿叶片生理特性的影响[J].湖北农业科学,2014(10):2365-2367. |
CAO T, DAI H P. Biochemical characteristics of different alfalfa leaves under zinc stress [J]. Hubei Agric. Sci., 2014(10): 2365-2367. | |
18 | 王兴义.锌、铁肥种子处理对玉米生长发育及光合特性的影响[D].杨凌:西北农林科技大学,2016. |
WANG X Y. Effect of seed treatment of zinc and iron fertilizer on the growth and photosynthetic characteristics of maize [D]. Yangling: Northwest A & F University, 2016. | |
19 | 杨建肖,杨国航,孙世贤,等.硫酸锌处理对玉米种子萌发的生理效应[J].植物营养与肥料学报,2009(2): 410-415. |
YANG J X, YANG G H, SUN S X, et al.. Physiological effects of zinc sulphate on maize seed germination [J]. J. Plant Nutr. Fert., 2009(2): 410-415. | |
20 | 孙建华,李志洪,李辛,等.高量施锌肥对玉米Zn吸收和积累及产量的影响[J].水土保持学报,2012,26(4):212-215. |
SUN J H, LI Z H, LI X, et al.. Influence of high-application of Zinc fertilizers on absorption and accumulation of Zn content and maize yield [J]. J. Soil Water Conser., 2012, 26(4): 212-215. | |
21 | 鲁如坤.土壤农业化学分析方法[M].北京:中国农业科技出版社,2000:335-336. |
22 | 李合生.植物生理生化实验原理和技术[M].北京:高等教育出版社,2000:164-178. |
23 | 李超, 唐海明, 汪柯,等. 栽培模式对南方丘陵红壤旱地春玉米生理生化特性及产量的影响[J].华南农业大学学报,2016,37(4): 13-17. |
LI C H, TANG H M, WANG K, et al.. Effects of cultivation models on physiological and biochemical characteristics and yield of spring maize in hilly red soil upland of southern China [J]. J. South China Agric. Univ., 2016, 37(4): 13-17. | |
24 | 黄骥,王建飞,张红生.植物C2H2型锌指蛋白的结构与功能[J].遗传,2004(3): 414-418. |
HUANG J, WANG J F, ZHANG H S.Structure and function of plant C2H2 type zinc finger protein [J]. Hereditas, 2004(3): 414-418. | |
25 | 蔡鑫鑫,杨克军,王玉凤,等.锌肥对寒地春玉米生理生化指标的影响[J].耕作与栽培,2013(5):13-15. |
CAI X X, YANG K J, WANG Y F, et al.. Effects of zinc on physiological and biochemical indexes of spring maize in cold areas [J]. Tillage Cultiv., 2013(5): 13-15. | |
26 | 黄伟东.锌-硼喷施对寒地玉米生理特性及产量品质的影响[D].大庆:黑龙江八一农垦大学,2020. |
HUANG W D. Effects of zinc-boron spraying on physiological characteristics, yield and quality of maize in cold region [D]. Daqing: Heilongjiang Bayi Agriculture University, 2020. | |
27 | 李萌.不同栽培模式和锌肥对干旱半干旱地区夏玉米抗旱性的影响[D].杨凌:西北农林科技大学,2008. |
LI M. Effect of different cultivation patterns and zinc fertilization on the drought resistance of summer maize in arid and semiarid region [D]. Yangling: Northwest A & F University, 2008. | |
28 | 李靖,张玉喜,姜雯.不同基因型旱稻早期锌吸收与利用差异研究[J].中国农学通报,2014,30(27): 229-233. |
LI J, ZHANG Y X, JIANG W. Study on difference of zinc uptake and utilization in early stage of upland rice with different genotypes [J].Chin. Agric. Sci. Bull., 2014, 30(27): 229-233. | |
29 | ERENOGLU B, NIKOLIC M, ROMHELD V, et al... Uptake and transport of foliar applied zinc (65Zn) in bread and durum wheat cultivar differing in zinc efficiency [J]. Plant Soil, 2002, 241: 251-257. |
30 | CAKMANK I, PFEIFFER W H, MCCLAFFERTY B. Bio-fortification of durum wheat with zinc and iron [J]. Cereal Chem., 2010, 87: 10-20. |
31 | 毛晖.锌肥与水分对旱地缺锌区玉米生长及品质的影响[D].杨凌:西北农林科技大学,2013. |
KANG H. Effect of zinc fertilizer and water on maize growth and quality in zinc different area of dryland [D]. Yangling: Northwest A & F University, 2013. | |
32 | 康蓉,牛建彪,陈政仁,等.不同锌肥组合处理对玉米农艺性状和产量的影响[J].大麦与谷类科学,2019,36(4): 35-38. |
KANG R, NIU J B, CHEN Z R, et al.. Effects of different zinc-fertilizer combinations on the agronomic characters and yield of maize [J]. Barley Cereal Sci., 2019, 36(4): 35-38. | |
33 | 曹殿云.硫、锌肥对玉米生长发育、元素吸收及产量的影响[D].沈阳:沈阳农业大学,2017. |
CAO D Y. Effect of sulfur and zinc fertilizer on growth, element absorption and yield of maize [D]. Shenyang: Shenyang Agricultural University, 2017. |
[1] | Wen HU, Pengpeng ZHANG, Liping ZHUANG, Pengli WANG, Yangjun ZOU. Effects of Clover Mulch on Soil Physical and Chemical Properties and Leaf Physiological Characteristics in Dryland Apple Orchards [J]. Journal of Agricultural Science and Technology, 2025, 27(9): 193-203. |
[2] | Haitao XU, Hongzhen MA, Wenwen WANG, Wenxiang FAN, Bo XU, Jungang ZHANG, Haibin GUO, Youhua WANG. Research on Dynamic Development and Accumulated Temperature Model of Maize Plant Height and Stem Diameter Based on Effective Accumulated Temperature [J]. Journal of Agricultural Science and Technology, 2025, 27(8): 187-201. |
[3] | Xiang SUN, Liyang ZHANG, Jiying YIN, Kaiyi WANG, Meirong GUO, Heju HUAI. Problems and Countermeasures of Digital Transformation of Maize Seed Production Base [J]. Journal of Agricultural Science and Technology, 2025, 27(8): 8-17. |
[4] | Taotao MAO, Xiaoqiang ZHAO, Xiaodong BAI, Bin YU. Effect of Low Temperature Stress on Photosynthetic Performance, Antioxidant Enzyme System and Related Gene Expression in Maize Seedlings [J]. Journal of Agricultural Science and Technology, 2025, 27(5): 49-60. |
[5] | Saisai HOU, Shanshan TONG, Pengqi WANG, Bingxue XIE, Ruifang ZHANG, Xinxin WANG. Effects of Biochar and Straw on Growth Characteristics and Nutrient Uptake of Different Crops [J]. Journal of Agricultural Science and Technology, 2025, 27(4): 179-191. |
[6] | Zihao WANG, Xue ZHOU, Donghan ZHANG, Hongyi LIANG, Yan WANG, Ziang ZHAO, Qing CHEN. Effect of Water-soluble Fertilizers Containing Humic-acids on Maize Seedlings Growth and Soil Properties [J]. Journal of Agricultural Science and Technology, 2025, 27(4): 209-220. |
[7] | ling QIN, Yanke WANG, Erying CHEN, Yanbing YANG, Feifei LI, Mengyuan ZHANG, Yanan GUAN. Analysis of Physiological Characteristics About ABA Alleviating Foxtail Millet Seedling Stage Under Drought Stress [J]. Journal of Agricultural Science and Technology, 2025, 27(4): 36-44. |
[8] | Shixu QU, Yu SUN, Yizhen SUO, Haipeng YUAN, Yuhong ZHANG. Effects of Exogenous Calcium on Physiological Characteristics and Secondary Metabolites of Cannabis sativa L. Under Salt Stress [J]. Journal of Agricultural Science and Technology, 2025, 27(2): 80-88. |
[9] | Zhichao REN, Yaohui MU, Xuyang YAO, Shue LI, Yongfeng ZHANG, Tianbao REN, Guoshun LIU, Quanyu YIN. Physiological Response of Tobacco Infected by Phytophthora to Trichoderma harzianum Inoculation Sequence [J]. Journal of Agricultural Science and Technology, 2025, 27(1): 155-164. |
[10] | Yumang ZHANG, Guijuan CHEN, Hongyan CHANG, Yongheng WANG, Shuxia LIU, Yunxiu YING. Effect of New Degradable Soil Water-retaining Agent on Growth and Development of Maize Seedlings Under Water Stress at Seedling Stage [J]. Journal of Agricultural Science and Technology, 2025, 27(1): 201-210. |
[11] | Wenxuan SHI, Jinfang TAN, Qian ZHANG, Lantao LI, Yilun WANG. Effect of One-off Fertilization on Yield and Nitrogen Fertilizer Efficiency of Summer Maize in Different Ecological Regions [J]. Journal of Agricultural Science and Technology, 2024, 26(9): 193-202. |
[12] | Mei WU, Jinzhu ZHANG, Zhenhua WANG, Jian LIU, Yue WEN, Xuanzhi LI. Effects of Water and Air Interaction on Physiological Growth and Yield of Maize Under Mulched Drip Irrigation [J]. Journal of Agricultural Science and Technology, 2024, 26(8): 189-200. |
[13] | Hongshuo ZHAO, Hongyu CAO, Guanglei GAO, Zhe SUN, Ying ZHANG, Guodong DING. Effects of Sand Fixation Using Microbially Induced Carbonate Precipitation on Leaf Traits and Physiological Characteristics of Typical Psammophytes [J]. Journal of Agricultural Science and Technology, 2024, 26(6): 170-182. |
[14] | Zhongxiang LIU, Wenqi ZHOU, Yongsheng LI, Xiaojuan WANG, Yanzhong YANG, Xiaorong LIAN, Haijun HE, Yuqian ZHOU. Phenotypic Identification and Genetic Analysis of a Dwarf Mutant 20F421 inMaize [J]. Journal of Agricultural Science and Technology, 2024, 26(6): 22-29. |
[15] | Yan CAO, Yantao YANG, Guogang WANG. Spatial-temporal Pattern Evolution and Matching Analysis of Maize Production and Consumption in China [J]. Journal of Agricultural Science and Technology, 2024, 26(5): 1-10. |
Viewed | ||||||
Full text |
|
|||||
Abstract |
|
|||||