Journal of Agricultural Science and Technology ›› 2022, Vol. 24 ›› Issue (1): 148-156.DOI: 10.13304/j.nykjdb.2020.0679
• BIO-MANUFACTURING & RESOURCE AND ECOLOGY • Previous Articles Next Articles
Zhidan WANG(), Jili LIU, Na WU(
)
Received:
2020-08-03
Accepted:
2020-09-14
Online:
2022-01-15
Published:
2022-01-25
Contact:
Na WU
通讯作者:
吴娜
作者简介:
王志丹 E-mail:2513235089@qq.com;
基金资助:
CLC Number:
Zhidan WANG, Jili LIU, Na WU. Effects of Fenlong Tillage on Photosynthetic Physiological Characteristics and Yield of Sweet Sorghum[J]. Journal of Agricultural Science and Technology, 2022, 24(1): 148-156.
王志丹, 刘吉利, 吴娜. 粉垄耕作对甜高粱光合生理特性及产量的影响[J]. 中国农业科技导报, 2022, 24(1): 148-156.
Add to citation manager EndNote|Ris|BibTeX
URL: https://nkdb.magtechjournal.com/EN/10.13304/j.nykjdb.2020.0679
处理 Treatment | 株高 Plant height/m | 茎粗 Stem stick/cm | 茎节数 Node number | 干物质量 Dry matter content/(t·hm-2) | 糖含量 Sugar content/(t·hm-2) |
---|---|---|---|---|---|
CK | 2.25±0.04 b | 2.32±0.48.b | 12.5±1.2 c | 16.02±0.23 c | 5.07±0.09 c |
FL30 | 3.28±0.07 a | 2.15±0.37 c | 14.8±1.6 a | 18.32±0.71 b | 7.52±0.11 a |
FL50 | 3.37±0.05 a | 2.39±0.29 a | 15.6±1.9 a | 21.63±0.15 a | 7.92±0.21 a |
DT40 | 3.33±0.06 a | 2.17±0.41 c | 13.9±1.4 b | 19.35±0.31 b | 6.47±0.19 b |
Table 1 Agronomic traits of sweet sorghum under different tillage modes
处理 Treatment | 株高 Plant height/m | 茎粗 Stem stick/cm | 茎节数 Node number | 干物质量 Dry matter content/(t·hm-2) | 糖含量 Sugar content/(t·hm-2) |
---|---|---|---|---|---|
CK | 2.25±0.04 b | 2.32±0.48.b | 12.5±1.2 c | 16.02±0.23 c | 5.07±0.09 c |
FL30 | 3.28±0.07 a | 2.15±0.37 c | 14.8±1.6 a | 18.32±0.71 b | 7.52±0.11 a |
FL50 | 3.37±0.05 a | 2.39±0.29 a | 15.6±1.9 a | 21.63±0.15 a | 7.92±0.21 a |
DT40 | 3.33±0.06 a | 2.17±0.41 c | 13.9±1.4 b | 19.35±0.31 b | 6.47±0.19 b |
Fig.1 Yield of sweet sorghum under different tillage modesNote: Different small letters indicate significant difference between treatments at P<0.05 level.
株高 Plant height | 茎粗 Stem stick | 茎节数 Node number | 干物质含量 Dry matter content | 糖含量 Sugar content | 籽粒产量 Grain yield | |
---|---|---|---|---|---|---|
茎粗Stem stick | -0.357 | |||||
茎节数Node number | 0.866** | -0.002 | ||||
干物质含量Dry matter content | 0.848** | 0.182 | 0.884** | |||
糖含量Sugar content | 0.498** | 0.000 | 0.939** | 0.830** | ||
籽粒产量Grain yield | 0.812** | 0.063 | 0.992** | 0.862** | 0.942** | |
生物产量Biological yield | 0.946** | -0.212 | 0.755** | 0.839** | 0.691** | 0.691** |
Table 2 Correlation analysis of agronomic characters and yield of sweet sorghum
株高 Plant height | 茎粗 Stem stick | 茎节数 Node number | 干物质含量 Dry matter content | 糖含量 Sugar content | 籽粒产量 Grain yield | |
---|---|---|---|---|---|---|
茎粗Stem stick | -0.357 | |||||
茎节数Node number | 0.866** | -0.002 | ||||
干物质含量Dry matter content | 0.848** | 0.182 | 0.884** | |||
糖含量Sugar content | 0.498** | 0.000 | 0.939** | 0.830** | ||
籽粒产量Grain yield | 0.812** | 0.063 | 0.992** | 0.862** | 0.942** | |
生物产量Biological yield | 0.946** | -0.212 | 0.755** | 0.839** | 0.691** | 0.691** |
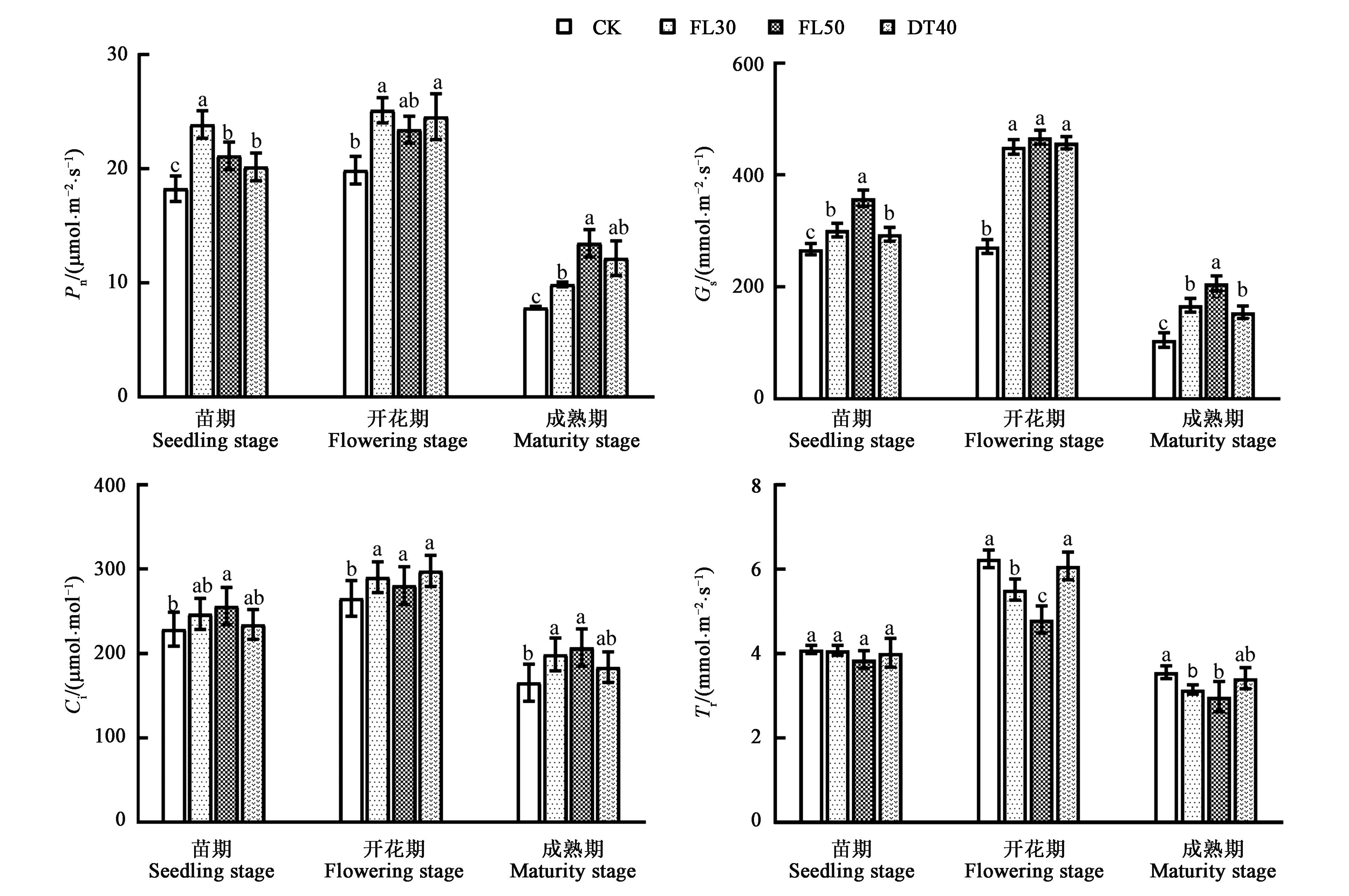
Fig.2 Photosynthetic parameters of sweet sorghum under different tillage modesNote: Different small letters indicate significant difference between treatments at P<0.05 level.
Fig.3 Leaf water use efficiency (WUEL) of sweet sorghum under different tillage modesNote: Different small letters indicate significant difference between treatments at P<0.05 level.
Fig.4 Activity of POD and SOD in leaf of sweet sorghum under different tillage modesNote: Different small letters indicate significant difference between treatments at P<0.05 level.
Fig.5 MDA content in sweet sorghum under different tillage modesNote: Different small letters indicate significant difference between treatments at P<0.05 level.
Fig.6 Content of proline and soluble protein in leaf of sweet sorghum under different tillage modesNote: Different small letters indicate significant difference between treatments at P<0.05 level.
主成分 Principal component | 特征值 Eigen value | 方差贡献率 Variance contribution rate/% | 累计贡献率 Cumulative contribution rate/% |
---|---|---|---|
1 | 8.30 | 83.02 | 83.02 |
2 | 1.26 | 12.61 | 95.64 |
Table 3 Principal component analysis of photosynthetic physiological index of sweet sorghum
主成分 Principal component | 特征值 Eigen value | 方差贡献率 Variance contribution rate/% | 累计贡献率 Cumulative contribution rate/% |
---|---|---|---|
1 | 8.30 | 83.02 | 83.02 |
2 | 1.26 | 12.61 | 95.64 |
处理Treatment | PC1 | PC2 | 综合值Comprehensive value | 排名Ranking |
---|---|---|---|---|
CK | 0.06 | -1.09 | -0.14 | 4 |
FL30 | 0.62 | 0.61 | 0.11 | 2 |
FL50 | 0.75 | 1.24 | 0.20 | 1 |
DT40 | -1.43 | 0.35 | -0.03 | 3 |
Table 4 Principal component value and comprehensive ranking of sweet sorghum under each treatment
处理Treatment | PC1 | PC2 | 综合值Comprehensive value | 排名Ranking |
---|---|---|---|---|
CK | 0.06 | -1.09 | -0.14 | 4 |
FL30 | 0.62 | 0.61 | 0.11 | 2 |
FL50 | 0.75 | 1.24 | 0.20 | 1 |
DT40 | -1.43 | 0.35 | -0.03 | 3 |
1 | WORLEY J W, CUNDIFF J S, VAUGHAN, D H, et al.. Influence of sweet sorghum spacing on stalk pith yield [J]. Biores. Technol., 1991, 36(21):133-139. |
2 | 闫鸿雁,付立中,胡国宏,等.国内外甜高梁研究现状及应用前景分析[J].吉林农业科学,2006,31(5):63-65. |
3 | NAKATSU S, HIGASHIDA S, SAWAZAKI A. Easy estimation method for plow pan and effect of improved pan-breaking [J]. Jpn. J. Soil Sci. Plant Nutr., 2004, 75(2):265-268. |
4 | ZHANG X Y, SHAO L W, SUN H Y, et al.. Incorporation of soil bulk density in simulating root distribution of winter wheat and maize in two contrasting soils [J]. Soil Sci. Soc. Am. J., 2012, 76(2):638-647. |
5 | 聂胜委,张玉亭,汤丰收,等.粉垄耕作对潮土冬小麦生长及产量的影响初探[J].河南农业科学,2015,44(2):19-21. |
NIE S W, ZHANG Y T, TANG F S, et al.. Effects of smashing ridge tillage on growth and yield of winter wheat in fluvo-aquic soil region [J]. J. Henan Agric. Sci., 2015, 44(2):19-21. | |
6 | 韦本辉,甘秀芹,申章佑,等.粉垄栽培甘蔗试验增产效果[J].中国农业科学,2011,44(21):4544-4550. |
WEI B H, GAN X Q, SHEN Z R, et al.. Yield increase of smash-ridging cultivation of sugarcane [J]. Sci. Agric. Sin., 2011, 44(21):4544-4550. | |
7 | 韦本辉,甘秀芹,陈耀福,等.稻田粉垄冬种马铃薯试验[J].中国马铃薯,2011,25(6):342-344. |
WEI B H, GAN X Q, CHEN Y F, et al.. Planting winter potato in rice field by using smash-ridging technique [J]. Chin. Potato J., 2011, 25(6):342-344. | |
8 | 靳晓敏,杜军,沈润泽,等.宁夏引黄灌区粉垄栽培对玉米生长和产量的影响[J].农业科学研究,2013,34(1):50-53. |
JIN X M, DU J, SHEN R Z, et al.. The effection of sumash-ridging cultivation technology on the growth and yield of corn in yellow river irrigation district of Ningxia [J]. J. Agric. Sci., 2013, 34(1):50-53. | |
9 | 甘秀芹,韦本辉,申章佑,等.桑树粉垄栽培的根系、植株及产量性状表现[J].浙江农业科学,2011(3):705-707. |
GAN X Q, WEI B H, SHEN Z R, et al.. Roots, plants and yield of mulberry by smash-ridging cultivation [J]. J. Zhejiang Agric. Sci., 2011(3):705-707. | |
10 | 甘秀芹,韦本辉,刘斌,等.粉垄后第6季稻田土壤变化与水稻产量品质分析[J].南方农业学报,2014,45(9):1603-1607. |
GAN X Q, WEI B H, LIU B, et al.. Effects of smash-ridging cultivation on soil properties, yield and quality of the sixth season of rice [J]. J. Southern Agric., 2014, 45(9):1603-1607. | |
11 | 刘波,吴礼树,鲁剑巍,等.不同耕作方式对土壤理化性质影响研究进展[J].耕作与栽培,2010(2):55-58,65. |
12 | 吕婧娴,陈占飞,田帅,等.榆林市风沙草滩区粉垄耕作对玉米根系及产量的影响[J].现代农业科技,2017,(2):5-7. |
13 | 唐茂艳,王强,陈雷,等.水稻粉垄耕作生长及生理特性研究[J].湖北农业科学,2015,54(16):3854-3856. |
TANG M Y, WANG Q, CHEN L, et al.. On the growth and physiological characteristics of rice under smashing ridge tillage [J]. Hubei Agric. Sci., 2015, 54(16):3854-3856. | |
14 | 聂胜委,张玉亭,汤宁,等.粉垄耕作后效对夏玉米生长及产量的影响[J].山西农业科学,2015,43(7):837-839,873. |
NIE S W, ZHANG Y T, TANG N, et al.. Effects of effect of tillage on growth and yield of summer corn [J]. J. Shanxi Agric. Sci., 2015,43(7):837-839,873. | |
15 | 韦本辉,申章佑,甘秀芹,等.粉垄栽培对旱地作物产量品质的影响[J].中国农业科技导报,2012,14(4):101-105. |
WEI B H, SHEN Z Y, GAN X Q, et al.. Effects of powder ridge cultivation on yield quality of dry land crops [J]. J. Agric. Sci. Technol., 2012, 14(4):101-105. | |
16 | 李合生.植物生理生化实验原理和技术[M].北京:高等教育出版社,2000:184-261. |
17 | 韦本辉.旱地作物粉垄栽培技术研究简报[J].中国农业科学, 2010, 43(20):4330. |
18 | 赖洪敏,林北森,罗刚.粉垄耕作对烤烟生长发育的影响[J].浙江农业科学,2017,58(5):736-738. |
19 | 王奇,陈培赛,周佳,等.粉垄耕作对甘蔗农艺性状及产量的影响[J].江苏农业科学,2019,47(4):65-68. |
20 | 韦本辉,甘秀芹,陈保善,等.粉垄整地与传统整地方式种植玉米和花生效果比较[J].安徽农业科学,2011,39(6):3216-3219. |
WEI B H, GAN X Q, CHEN B S, et al.. Comparison of the cultivation of maize and peanuts by smash-riding and traditional land preparation methods [J]. J. Anhui Agric. Sci., 2011, 39(6):3216-3219. | |
21 | 邹剑秋,宋仁本,卢庆善,等.新型绿色可再生能源作物——甜高粱及其育种策略[J].杂粮作物,2003,23(3):134-135. |
ZOU J Q, SONG E B, LU Q S, et al.. A new green renewable energy crop—sweet sorghum and its breeding tactics [J]. Rain Fed Crops, 2003, 23(3):134-135. | |
22 | 陈仕林,胡钧铭,黄忠华,等.粉垄耕作对平地和坡耕地蔗田土壤有机碳矿化和结构的影响[J].中国农业气象,2020,41(5):299-307. |
CHEN S L, HU J M, HUANG Z H, et al.. Effects of smash ridging on soil organic carbon mineralization and structure of sugarcane field in flat and slope farmland [J].Chin. J. Agrometeorol., 2020, 41(5):299-307. | |
23 | 韦本辉.中国粉垄活土增粮生态[M].北京:中国农业出版社,2013:86-87. |
24 | 李华,逄焕成,任天志,等.深旋松耕作法对东北棕壤物理性状及春玉米生长的影响[J].中国农业科学,2013,46(3):647-656. |
LI H, FENG H C, REN T Z, et al.. Effects of deep rotary-subsoiling tillage method on brown physical properties and maize growth in northeast of China [J]. Sci. Agric. Sin., 2013, 46(3):647-656. |
[1] | Zhenfei ZHANG, An YAN, Jing GUO, Yuhang ZHAO, Yilin YUAN, Peng LIU, Zuohao QU, Chuan YUAN. Research on Apple Yield Estimation Model Based on Unmanned Aerial Vehicle Remote Sensing [J]. Journal of Agricultural Science and Technology, 2025, 27(9): 110-119. |
[2] | Jianfeng ZHANG, Wenfeng HOU, Yongqing WU, Kaixu LI, Xiaokun LI. Effects of Nitrogen Fertilizer and Density Interactions on Occurrence of Diseases and Insect Pests and Grain Yield of Rice [J]. Journal of Agricultural Science and Technology, 2025, 27(9): 145-154. |
[3] | Wen HU, Pengpeng ZHANG, Liping ZHUANG, Pengli WANG, Yangjun ZOU. Effects of Clover Mulch on Soil Physical and Chemical Properties and Leaf Physiological Characteristics in Dryland Apple Orchards [J]. Journal of Agricultural Science and Technology, 2025, 27(9): 193-203. |
[4] | Caixia LYU, Yongfu LI, Huinan XIN, Na LI, Ning LAI, Qinglong GENG, Shuhuang CHEN. Effects of Slow Release Nitrogen Fertilizer on Yield of Winter Wheat and Soil Nitrate/Ammonium Nitrogen Under Drip Irrigation [J]. Journal of Agricultural Science and Technology, 2025, 27(8): 179-186. |
[5] | Xueqing LIU, Jing WANG, Yi YANG, Huiqin WU, Yanhong WANG, Luyao WANG, Jiawei LU, Kaixuan ZHANG, Yuan ZHAI, Yan CHENG. Effect of Exogenous Ethephon on Defoliation and Yield of Pigmented Pepper [J]. Journal of Agricultural Science and Technology, 2025, 27(8): 36-46. |
[6] | Qi ZHOU, Qiang LIU, Jing ZHANG, Chaochao DENG, Zhenlong WANG, Yang LIU, Fang WU, Hao CHANG, Yanfang ZHOU, Cuicui SU, Zhiguo SHI, Zhengrui GAO, Fengjie MA. Effects of Organic Fertilizer Replacing Chemical Fertilizer on Yield and Soil Biological Characteristics of Pumpkin [J]. Journal of Agricultural Science and Technology, 2025, 27(7): 190-203. |
[7] | Shichao CHEN, Ju WANG, Fuqiang GUO, Rui HAO, Jianping SHI. Effects of Different Water and Nitrogen Coupling on Physiological Indexes and Yield of Protein Mulberry [J]. Journal of Agricultural Science and Technology, 2025, 27(6): 240-249. |
[8] | Lijun DUAN, Xianhua DING, Weiqin LI, Shuangdui YAN. Investigation of Co-pyrolysis Behavior and Pyrolysis Product Analysis of Oak Bark and Corn Stalks [J]. Journal of Agricultural Science and Technology, 2025, 27(5): 164-172. |
[9] | Guiqian ZHANG, Li ZHANG, Qian WANG, Caiyun LIU. Effect of Astragalus Polysaccharides on Colony Development and Honey Production in Honeybees [J]. Journal of Agricultural Science and Technology, 2025, 27(5): 72-80. |
[10] | Yan WU, Leping ZOU, Huijie SONG, Dandan HU, Kailou LIU, Wanli LIANG. Effect of Controlled-release Nitrogen Fertilizer Combined Urea on Ammonium Nitrogen of Surface Water and Early Rice Yield [J]. Journal of Agricultural Science and Technology, 2025, 27(4): 192-200. |
[11] | Xiaodan WU, Li GAO, Tiangeng GONG, Xiangfeng KONG, Yuzhou JIANG, Guixia JIA. Effects of Microbial Fertilizer and Humic Acid Compound Fertilizer on Growth and Photosynthetic Characteristics of Lilium [J]. Journal of Agricultural Science and Technology, 2025, 27(4): 221-229. |
[12] | ling QIN, Yanke WANG, Erying CHEN, Yanbing YANG, Feifei LI, Mengyuan ZHANG, Yanan GUAN. Analysis of Physiological Characteristics About ABA Alleviating Foxtail Millet Seedling Stage Under Drought Stress [J]. Journal of Agricultural Science and Technology, 2025, 27(4): 36-44. |
[13] | Darong LI, Xiaoling LI, Wuxian ZHOU, Meide ZHANG, Xiaogang JIANG, Jinwen YOU, Hua WANG. Effects of Partial Substitution of Chemical Fertilizer with Organic Fertilizer on Growth and Soil Properties of Fritillaria hupehensis [J]. Journal of Agricultural Science and Technology, 2025, 27(3): 216-226. |
[14] | Junya DUAN, Yuanyuan ZHAO, Tingting WANG, Jianyu WEI, Zheng WANG, Dexun WANG, Juan LI, Hongzhi SHI. Effects of Nitrogen Reduction Combined with Polyaspartic Acid on Nitrogen Utilization, Yield and Quality of Flue-cured Tobacco [J]. Journal of Agricultural Science and Technology, 2025, 27(3): 227-238. |
[15] | Yanxia MA, Jingru CHEN, Xiaowei WANG, Yuxin ZHANG, Junfeng ZHANG, Jialin KUAI. Effects of Irrigation Lower Limit and Fertilizer Application Amount on Water Consumption and Photosynthetic Characteristics of Mini Chinese Cabbage Under Drip Irrigation [J]. Journal of Agricultural Science and Technology, 2025, 27(3): 239-249. |
Viewed | ||||||
Full text |
|
|||||
Abstract |
|
|||||