中国农业科技导报 ›› 2024, Vol. 26 ›› Issue (6): 30-44.DOI: 10.13304/j.nykjdb.2023.0900
鲁一薇1(), 夏雪岩1(
), 赵宇1, 崔纪菡1, 刘猛1, 黄玫红1, 褚程1, 刘建军2, 李顺国1(
)
收稿日期:
2023-12-07
接受日期:
2024-03-04
出版日期:
2024-06-15
发布日期:
2024-06-12
通讯作者:
夏雪岩,李顺国
作者简介:
鲁一薇E-mail: 1604425941@qq.com基金资助:
Yiwei LU1(), Xueyan XIA1(
), Yu ZHAO1, Jihan CUI1, Meng LIU1, Meihong HUANG1, Cheng CHU1, Jianjun LIU2, Shunguo LI1(
)
Received:
2023-12-07
Accepted:
2024-03-04
Online:
2024-06-15
Published:
2024-06-12
Contact:
Xueyan XIA,Shunguo LI
摘要:
钾是作物生长不可缺少的元素,挖掘提高作物钾吸收能力的基因,增强作物对缺钾的耐受性具有重要的意义。以‘冀谷45’为供试材料,幼苗长至6叶期时进行缺钾胁迫7 d,通过农艺指标及转录组分析挖掘缺钾胁迫的相关基因。结果表明,缺钾胁迫影响谷子的生长发育,株高、叶宽、叶长、茎粗、苗期地上部干重及叶绿素含量低于CK,而根长、根表面积显著增加。转录组分析显示,缺钾胁迫后217个基因表达上调,38个基因表达下调。GO功能富集发现,差异表达基因主要富集于核糖体的结构成分、有机氮化合物代谢过程、蛋白质代谢过程、细胞蛋白质代谢过程、无膜细胞器等类别。KEGG功能富集结果表明,差异表达基因主要富集于核糖体、植物激素信号转导、谷胱甘肽代谢等19个通路。进而筛选出35个与激素表达显著相关的基因,19个氧化应激相关差异表达基因,10个转录因子家族及11个与转导信号相关的基因,1个与氨基酸及核苷酸的糖代谢相关的基因。候选基因Seita.9G193900属于CYP45084A亚家族,调控S型木质素合成的关键酶;Seita.5G365500属于WRKY家族,调控抗病响应基因PAD3等基因的表达;Seita.3G216900是RNA聚合酶Ⅱ转录亚基37E相关介质——HSPA1s辅助蛋白;Seita.4G286000为几丁内质内切酶基因CHIB,调控糖的合成与酵解。以上结果初步揭示了谷子缺钾胁迫相关基因的转录调控,为谷子耐缺钾相关基因的克隆与功能验证奠定基础。
中图分类号:
鲁一薇, 夏雪岩, 赵宇, 崔纪菡, 刘猛, 黄玫红, 褚程, 刘建军, 李顺国. 缺钾胁迫下谷子转录组分析及相关基因挖掘[J]. 中国农业科技导报, 2024, 26(6): 30-44.
Yiwei LU, Xueyan XIA, Yu ZHAO, Jihan CUI, Meng LIU, Meihong HUANG, Cheng CHU, Jianjun LIU, Shunguo LI. Transcriptome Profiling and Gene Mining of Millet Response to Potassium Deficiency Stress[J]. Journal of Agricultural Science and Technology, 2024, 26(6): 30-44.
成分Component | 对照 Control | 缺钾 Potassium deficiency |
---|---|---|
1.0 mol·L-1 Ca(NO3)2·4H2O | 5 | 5 |
1.0 mol·L-1 KNO3 | 5 | — |
1 mol·L-1 NaH2PO4 | — | 1 |
1.0 mol·L-1 NaNO3 | — | 5 |
1.0 mol·L-1 MgSO4·7H2O | 2 | 2 |
1.0 mol·L-1 KH2PO4 | 1 | — |
0.5% Fe-EDTA | 1 | 1 |
微量元素母液 Trace element mother liquor | 1 | 1 |
ddH2O | 985 | 985 |
总体积 Total volume | 1 000 | 1 000 |
表1 不同处理营养液配方 (mL)
Table 1 Nutrient solution formula for nitrogen deficiency treatment
成分Component | 对照 Control | 缺钾 Potassium deficiency |
---|---|---|
1.0 mol·L-1 Ca(NO3)2·4H2O | 5 | 5 |
1.0 mol·L-1 KNO3 | 5 | — |
1 mol·L-1 NaH2PO4 | — | 1 |
1.0 mol·L-1 NaNO3 | — | 5 |
1.0 mol·L-1 MgSO4·7H2O | 2 | 2 |
1.0 mol·L-1 KH2PO4 | 1 | — |
0.5% Fe-EDTA | 1 | 1 |
微量元素母液 Trace element mother liquor | 1 | 1 |
ddH2O | 985 | 985 |
总体积 Total volume | 1 000 | 1 000 |
引物名称 Primer name | 引物序列 Primer sequence (5'-3 ') |
---|---|
Seita.9G193900-F2 | ATGTTTGGCGGGACGGAGAC |
Seita.9G193900-R2 | CCGATGGCCCAGACGTTGA |
Seita.5G299700-F | GCGGGAGGACTTCGTGATGC |
Seita.5G299700-R | CGGTGACGGGAATGCTGGA |
Seita.5G365500-F1 | CGGCCCTCCTCACCTCCAGTAT |
Seita.5G365500-R1 | CGCGTCCATGCCTTGTTGC |
Seita.3G216900-F | ACCCGTCCGTGCAGAGTGA |
Seita.3G216900-R | GGCAGTGGGCTCGTTGATT |
Seita.7G222200-F1 | GGTGGTGGAGGTCTTCGTC |
Seita.7G222200-R1 | TGTTGCCACTGTGCTTGATG |
Seita.4G286000-F2 | GACGCCACCATCGCCTTCA |
Seita.4G286000-R2 | GTTGGACCCGTAGCTGACCC |
Seita.2G285600-F | TGCACGTCCACTGCCACATC |
Seita.2G285600-R | CACGAACGCCTTCAGAACCAC |
SiActin-F | GGCAAACAGGGAGAAGATGA |
SiActin-R | GAGGTTGTCGGTAAGGTCACG |
表 2 谷子差异表达基因 qRT-PCR 引物信息
Table 2 Information of primers used in qRT-PCR of differentially expressed genes in foxtail millet
引物名称 Primer name | 引物序列 Primer sequence (5'-3 ') |
---|---|
Seita.9G193900-F2 | ATGTTTGGCGGGACGGAGAC |
Seita.9G193900-R2 | CCGATGGCCCAGACGTTGA |
Seita.5G299700-F | GCGGGAGGACTTCGTGATGC |
Seita.5G299700-R | CGGTGACGGGAATGCTGGA |
Seita.5G365500-F1 | CGGCCCTCCTCACCTCCAGTAT |
Seita.5G365500-R1 | CGCGTCCATGCCTTGTTGC |
Seita.3G216900-F | ACCCGTCCGTGCAGAGTGA |
Seita.3G216900-R | GGCAGTGGGCTCGTTGATT |
Seita.7G222200-F1 | GGTGGTGGAGGTCTTCGTC |
Seita.7G222200-R1 | TGTTGCCACTGTGCTTGATG |
Seita.4G286000-F2 | GACGCCACCATCGCCTTCA |
Seita.4G286000-R2 | GTTGGACCCGTAGCTGACCC |
Seita.2G285600-F | TGCACGTCCACTGCCACATC |
Seita.2G285600-R | CACGAACGCCTTCAGAACCAC |
SiActin-F | GGCAAACAGGGAGAAGATGA |
SiActin-R | GAGGTTGTCGGTAAGGTCACG |
性状 Trait | 对照 Control | 缺钾 Potassium deficiency |
---|---|---|
株高 Plant height /cm | 12.43 | 9.36* |
倒一叶叶宽 Top 1 leaf width /cm | 0.80 | 0.67 |
倒一叶叶长 Top 1 leaf length /cm | 20.75 | 17.75* |
倒二叶叶宽 Top 2 leaf width /cm | 0.80 | 0.67 |
倒二叶叶长 Top 2 leaf length/ cm | 19.63 | 19.50 |
倒三叶叶宽 Top 3 leaf width/cm | 0.80 | 0.60 |
倒三叶叶长 Top 3 leaf length /cm | 18.05 | 16.55* |
茎宽 Stem width /cm | 3.31 | 2.51 |
苗期地上部干重 Seedling stage aboveground dry weight/g | 0.07 | 0.06 |
苗期地下部干重 Seedling stage underground dry weight /g | 0.01 | 0.02 |
表3 缺钾胁迫谷子幼苗农艺性状的差异分析
Table 3 Analysis of differences in agronomic traits of millet seedlings under potassium deficiency stress
性状 Trait | 对照 Control | 缺钾 Potassium deficiency |
---|---|---|
株高 Plant height /cm | 12.43 | 9.36* |
倒一叶叶宽 Top 1 leaf width /cm | 0.80 | 0.67 |
倒一叶叶长 Top 1 leaf length /cm | 20.75 | 17.75* |
倒二叶叶宽 Top 2 leaf width /cm | 0.80 | 0.67 |
倒二叶叶长 Top 2 leaf length/ cm | 19.63 | 19.50 |
倒三叶叶宽 Top 3 leaf width/cm | 0.80 | 0.60 |
倒三叶叶长 Top 3 leaf length /cm | 18.05 | 16.55* |
茎宽 Stem width /cm | 3.31 | 2.51 |
苗期地上部干重 Seedling stage aboveground dry weight/g | 0.07 | 0.06 |
苗期地下部干重 Seedling stage underground dry weight /g | 0.01 | 0.02 |
图2 缺钾胁迫对谷子幼苗叶绿素含量的影响注:*表示差异在P<0.05 水平显著。
Fig. 2 Effect of potassium deficiency stress on chlorophyll content in millet seedlingsNote: * means significant difference at P<0.05 level.
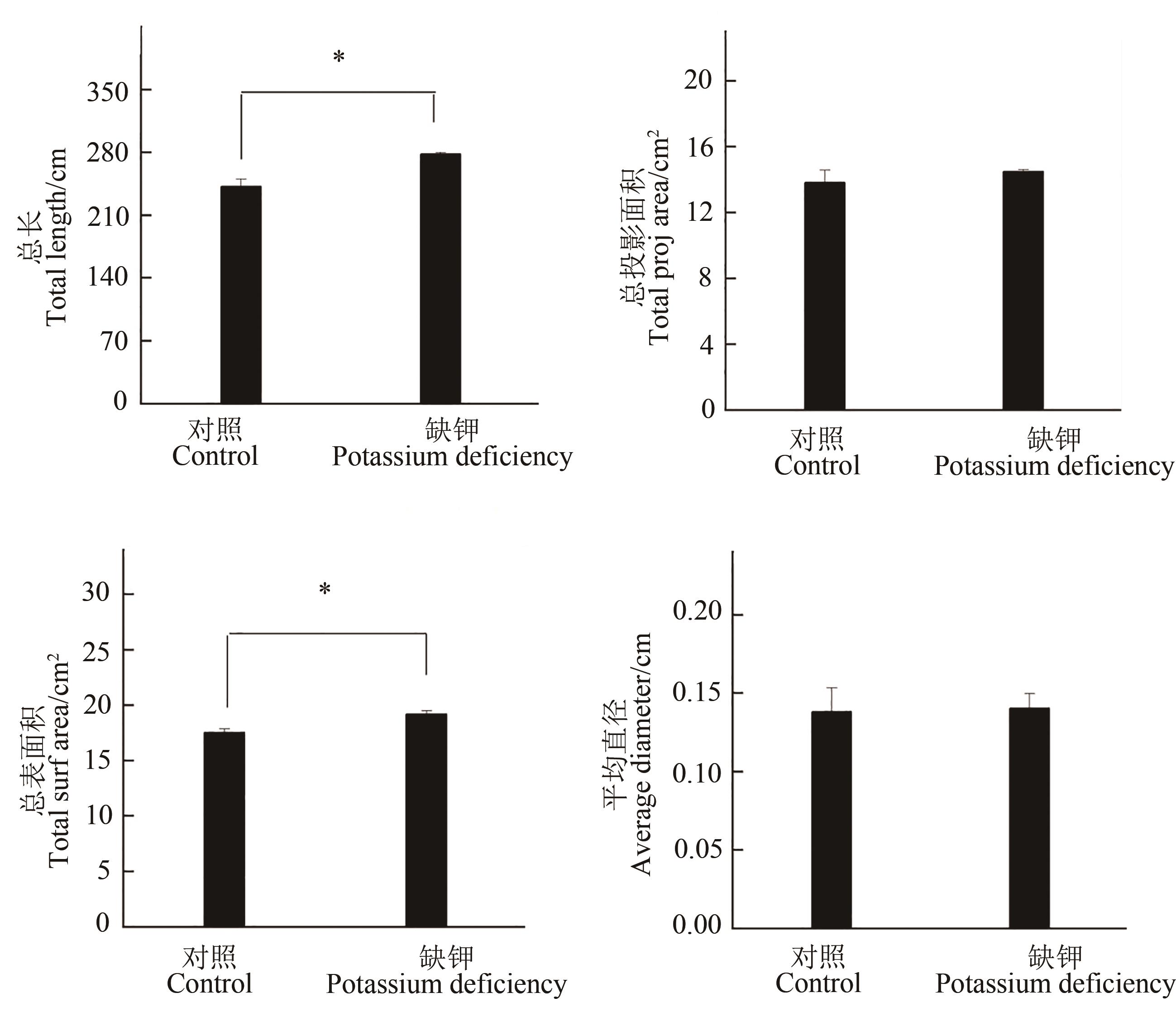
图3 缺钾胁迫对谷子幼苗根系性状的影响注:*表示差异在P<0.05水平显著。
Fig. 3 Effects of potassium deficiency stress on root traits of millet seedlingsNote: * means significant difference at P<0.05 level.
图4 缺钾胁迫对谷子幼苗叶片抗氧化指标的影响注:*表示差异在 P<0.05 水平显著。
Fig. 4 Effect of potassium deficiency stress on antioxidant indexes in leaves of foxtail millet seedlingsNote: * means significant difference at P<0.05 level.
样品 Sample | 原始读数 Raw reads | 过滤读数 Clean reads | 碱基含量 GC content/% | 多个映射 Multiple mapped | 唯一映射 Uniquely mapped | 映射比率 Mapping Ratio/% | |
---|---|---|---|---|---|---|---|
对照 Control | CK-1 | 46 868 802 | 46 106 644 | 49.45 | 2 097 694 | 40 095 522 | 86.97 |
CK-2 | 44 338 374 | 43 789 738 | 49.98 | 2 111 597 | 38 217 463 | 87.28 | |
CK-3 | 45 196 350 | 44 462 108 | 50.03 | 2 855 499 | 37 291 700 | 83.88 | |
缺钾Potassium deficiency | QK-1 | 45 814 604 | 44 963 384 | 49.28 | 3 083 637 | 38 025 162 | 84.58 |
QK-2 | 42 927 104 | 42 284 578 | 50.06 | 2 059 902 | 37 037 265 | 87.60 | |
QK-3 | 51 831 874 | 51 061 668 | 56.00 | 2 097 363 | 45 595 390 | 89.30 |
表4 测序数据质量评估
Table 4 Summary of the sequencing data quality
样品 Sample | 原始读数 Raw reads | 过滤读数 Clean reads | 碱基含量 GC content/% | 多个映射 Multiple mapped | 唯一映射 Uniquely mapped | 映射比率 Mapping Ratio/% | |
---|---|---|---|---|---|---|---|
对照 Control | CK-1 | 46 868 802 | 46 106 644 | 49.45 | 2 097 694 | 40 095 522 | 86.97 |
CK-2 | 44 338 374 | 43 789 738 | 49.98 | 2 111 597 | 38 217 463 | 87.28 | |
CK-3 | 45 196 350 | 44 462 108 | 50.03 | 2 855 499 | 37 291 700 | 83.88 | |
缺钾Potassium deficiency | QK-1 | 45 814 604 | 44 963 384 | 49.28 | 3 083 637 | 38 025 162 | 84.58 |
QK-2 | 42 927 104 | 42 284 578 | 50.06 | 2 059 902 | 37 037 265 | 87.60 | |
QK-3 | 51 831 874 | 51 061 668 | 56.00 | 2 097 363 | 45 595 390 | 89.30 |
途径 Pathway | 基因数量 Gene number |
---|---|
核糖体Ribosome | 74 |
植物激素信号转导Plant hormone signal transduction | 35 |
谷胱甘肽代谢Glutathione metabolism | 28 |
信号通路-植物MAPK signaling pathway-plant MAPK | 27 |
丙氨酸天冬氨酸和谷氨酸代谢Alanine, aspartate and glutamate metabolism | 15 |
丝氨酸甘氨酸和苏氨酸代谢Glycine, serine and threonine metabolism | 13 |
真核生物的核糖体合成Ribosome biogenesis in eukaryotes | 13 |
精氨酸生物合成Arginine biosynthesis | 10 |
苯丙氨酸、酪氨酸、色氨酸生物合成Phenylalanine, tyrosine and tryptophan biosynthesis | 10 |
酪氨酸代谢Tyrosine metabolism | 10 |
苯丙胺酸代谢Phenylalanine metabolism | 9 |
异喹啉类生物碱的生物合成Isoquinoline alkaloid biosynthesis | 8 |
氮代谢Nitrogen metabolism | 8 |
玉米素生物合成Zeatin biosynthesis | 8 |
泛醌和其他萜醌的合成Ubiquinone and other terpenoid-quinone biosynthesis | 8 |
脂肪酸的降解Fatty acid degradation | 8 |
精氨酸和脯氨酸代谢Arginine and proline metabolism | 8 |
莨菪烷哌啶和吡啶碱的生物合成Tropane, piperidine and pyridine alkaloid biosynthesis | 7 |
β-氨基丙酸代谢β-alanine metabolism | 7 |
表5 差异基因KEGG通路显著富集列表
Table 5 The significant enriched KEGG pathways of DEGs
途径 Pathway | 基因数量 Gene number |
---|---|
核糖体Ribosome | 74 |
植物激素信号转导Plant hormone signal transduction | 35 |
谷胱甘肽代谢Glutathione metabolism | 28 |
信号通路-植物MAPK signaling pathway-plant MAPK | 27 |
丙氨酸天冬氨酸和谷氨酸代谢Alanine, aspartate and glutamate metabolism | 15 |
丝氨酸甘氨酸和苏氨酸代谢Glycine, serine and threonine metabolism | 13 |
真核生物的核糖体合成Ribosome biogenesis in eukaryotes | 13 |
精氨酸生物合成Arginine biosynthesis | 10 |
苯丙氨酸、酪氨酸、色氨酸生物合成Phenylalanine, tyrosine and tryptophan biosynthesis | 10 |
酪氨酸代谢Tyrosine metabolism | 10 |
苯丙胺酸代谢Phenylalanine metabolism | 9 |
异喹啉类生物碱的生物合成Isoquinoline alkaloid biosynthesis | 8 |
氮代谢Nitrogen metabolism | 8 |
玉米素生物合成Zeatin biosynthesis | 8 |
泛醌和其他萜醌的合成Ubiquinone and other terpenoid-quinone biosynthesis | 8 |
脂肪酸的降解Fatty acid degradation | 8 |
精氨酸和脯氨酸代谢Arginine and proline metabolism | 8 |
莨菪烷哌啶和吡啶碱的生物合成Tropane, piperidine and pyridine alkaloid biosynthesis | 7 |
β-氨基丙酸代谢β-alanine metabolism | 7 |
激素种类 Hormone kind | 基因识别码 Gene identification code | 基因名称 Gene name | log2(FC) | 描述 Description | |
---|---|---|---|---|---|
赤霉素 Gibberellin | Seita.3G246300 | GID1B | 1.11 | 赤霉素受体 Gibberellin receptor | |
生长素 Auxin | Seita.7G230900 | AUX | 2.20 | 生长素诱导的蛋白 Auxin induced like-protein | |
Seita.1G252000 | AUX | 2.21 | 生长素调节的相关蛋白 Auxin-regulated protein-related | ||
Seita.4G241400 | ARF | 7.17 | 生长素反应蛋白 Auxin responsive protein (auxin_inducible) | ||
Seita.1G345400 | ARF | 2.36 | 生长素反应蛋白 Auxin responsive protein (auxin_inducible) | ||
Seita.1G333600 | ARF | 1.59 | 生长素反应蛋白 Auxin responsive protein (auxin_inducible) | ||
Seita.9G194600 | ARF | 1.93 | 生长素反应蛋白 Auxin responsive protein (auxin_inducible) | ||
Seita.2G375300 | GH3.2 | 4.78 | 吲哚-3-乙酸酰胺合成酶 Indole-3-acetic acid-amido synthetase | ||
Seita.1G075600 | ARF | 2.50 | 生长素反应蛋白 Auxin responsive protein (auxin_inducible) | ||
Seita.7G182000 | AUX | 2.95 | 生长素调节的相关蛋白Auxin-regulated protein-related |
表6 缺钾胁迫响应的激素信号相关基因差异表达分析及注释
Table 6 Analysis and annotation of the hormone signal-related DEGs response to potassium-deficiency
激素种类 Hormone kind | 基因识别码 Gene identification code | 基因名称 Gene name | log2(FC) | 描述 Description | |
---|---|---|---|---|---|
赤霉素 Gibberellin | Seita.3G246300 | GID1B | 1.11 | 赤霉素受体 Gibberellin receptor | |
生长素 Auxin | Seita.7G230900 | AUX | 2.20 | 生长素诱导的蛋白 Auxin induced like-protein | |
Seita.1G252000 | AUX | 2.21 | 生长素调节的相关蛋白 Auxin-regulated protein-related | ||
Seita.4G241400 | ARF | 7.17 | 生长素反应蛋白 Auxin responsive protein (auxin_inducible) | ||
Seita.1G345400 | ARF | 2.36 | 生长素反应蛋白 Auxin responsive protein (auxin_inducible) | ||
Seita.1G333600 | ARF | 1.59 | 生长素反应蛋白 Auxin responsive protein (auxin_inducible) | ||
Seita.9G194600 | ARF | 1.93 | 生长素反应蛋白 Auxin responsive protein (auxin_inducible) | ||
Seita.2G375300 | GH3.2 | 4.78 | 吲哚-3-乙酸酰胺合成酶 Indole-3-acetic acid-amido synthetase | ||
Seita.1G075600 | ARF | 2.50 | 生长素反应蛋白 Auxin responsive protein (auxin_inducible) | ||
Seita.7G182000 | AUX | 2.95 | 生长素调节的相关蛋白Auxin-regulated protein-related |
基因识别码 Gene identification code | 差异倍数 log2 (FC) | 描述 Description |
---|---|---|
Seita.5G155100 | 3.76 | 过氧化物酶Peroxidase |
Seita.7G180100 | 2.09 | 细胞色相关B561 Cytochrome B561-related |
Seita.9G173500 | 5.14 | 细胞色素P450 85A1相关Cytochrome P450 85A1-related |
Seita.5G064800 | 2.68 | 细胞色素P450家族成员Cytochrome P450 family member |
Seita.4G077800 | 1.93 | 相关的NADH氧化还原酶NADH oxidoreductase-related |
Seita.3G298400 | 4.71 | 细胞色素P450 CYP2亚家族Cytochrome P450 CYP2 subfamily |
Seita.9G545600 | 3.39 | 细胞色素P450 CYP4/CYP19/CYP26亚家族Cytochrome P450 CYP4/CYP19/CYP26 subfamilies |
Seita.9G342600 | 2.54 | 氧化还原酶Oxidoreductase |
Seita.3G260700 | 3.27 | 细胞色素P450 CYP4/CYP19/CYP26亚家族Cytochrome P450 CYP4/CYP19/CYP26 subfamilies |
Seita.9G081400 | 4.02 | 过氧化物酶/乳过氧化物酶Peroxidase / Lactoperoxidase |
Seita.5G235200 | 1.23 | 细胞色素P450家族成员Cytochrome P450 family member |
Seita.2G004800 | 2.65 | 过氧化物酶35相关Peroxidase 35-related |
Seita.9G199900 | 1.09 | 细胞色素B561相关Cytochrome B561-related |
Seita.1G117500 | 3.12 | 过氧化氢酶Catalase |
Seita.1G042800 | 2.82 | 细胞色素P450家族成员Cytochrome P450 family member |
Seita.3G226600 | 1.85 | 氧化还原酶Oxidoreductase |
Seita.9G193900 | 4.77 | 细胞色素P450 84A1相关Cytochrome P450 84A1-related |
Seita.5G010100 | 1.87 | 细胞色素P450 CYP2亚家族Cytochrome P450 CYP2 subfamily |
Seita.9G444200 | 1.69 | L-抗坏血酸过氧化物酶L-ascorbate peroxidase |
表7 缺钾胁迫下抗氧化相关基因的表达差异分析及注释
Table 7 Analysis and annotation of the ex antioxidant related DEGs in response to potassium-deficiency
基因识别码 Gene identification code | 差异倍数 log2 (FC) | 描述 Description |
---|---|---|
Seita.5G155100 | 3.76 | 过氧化物酶Peroxidase |
Seita.7G180100 | 2.09 | 细胞色相关B561 Cytochrome B561-related |
Seita.9G173500 | 5.14 | 细胞色素P450 85A1相关Cytochrome P450 85A1-related |
Seita.5G064800 | 2.68 | 细胞色素P450家族成员Cytochrome P450 family member |
Seita.4G077800 | 1.93 | 相关的NADH氧化还原酶NADH oxidoreductase-related |
Seita.3G298400 | 4.71 | 细胞色素P450 CYP2亚家族Cytochrome P450 CYP2 subfamily |
Seita.9G545600 | 3.39 | 细胞色素P450 CYP4/CYP19/CYP26亚家族Cytochrome P450 CYP4/CYP19/CYP26 subfamilies |
Seita.9G342600 | 2.54 | 氧化还原酶Oxidoreductase |
Seita.3G260700 | 3.27 | 细胞色素P450 CYP4/CYP19/CYP26亚家族Cytochrome P450 CYP4/CYP19/CYP26 subfamilies |
Seita.9G081400 | 4.02 | 过氧化物酶/乳过氧化物酶Peroxidase / Lactoperoxidase |
Seita.5G235200 | 1.23 | 细胞色素P450家族成员Cytochrome P450 family member |
Seita.2G004800 | 2.65 | 过氧化物酶35相关Peroxidase 35-related |
Seita.9G199900 | 1.09 | 细胞色素B561相关Cytochrome B561-related |
Seita.1G117500 | 3.12 | 过氧化氢酶Catalase |
Seita.1G042800 | 2.82 | 细胞色素P450家族成员Cytochrome P450 family member |
Seita.3G226600 | 1.85 | 氧化还原酶Oxidoreductase |
Seita.9G193900 | 4.77 | 细胞色素P450 84A1相关Cytochrome P450 84A1-related |
Seita.5G010100 | 1.87 | 细胞色素P450 CYP2亚家族Cytochrome P450 CYP2 subfamily |
Seita.9G444200 | 1.69 | L-抗坏血酸过氧化物酶L-ascorbate peroxidase |
转录因子基因 Transcription factor gene | 基因识别码 Gene identification code | 差异倍数 log2 (FC) |
---|---|---|
ERF | Seita.5G280700 | 2.19 |
WRKY | Seita.2G433600 | 4.98 |
Seita.5G365500 | 3.31 | |
NAC | Seita.3G225400 | 4.91 |
Seita.5G391200 | 1.15 |
表8 缺钾胁迫响应的转录因子基因表达差异分析及注释
Table 8 Analysis and annotation of the transcription factor-related DEGs in response to potassium-deficiency
转录因子基因 Transcription factor gene | 基因识别码 Gene identification code | 差异倍数 log2 (FC) |
---|---|---|
ERF | Seita.5G280700 | 2.19 |
WRKY | Seita.2G433600 | 4.98 |
Seita.5G365500 | 3.31 | |
NAC | Seita.3G225400 | 4.91 |
Seita.5G391200 | 1.15 |
基因识别码 Gene identification code | 差异倍数 log2(FC) | 描述 Description |
---|---|---|
Seita.3G216900 | 1.87 | RNA聚合酶Ⅱ转录亚基37E相关介质 Mediator of RNA polymeraseⅡtranacription subunit 37E-realated |
Seita.9G536800 | -2.03 | Armadillo重复含驱动蛋白样蛋白2 Armadillo repeat-containing kinesin-like protein 2 |
Seita.2G212100 | -1.79 | SF71-磷脂酶D SF71-phospholipase D |
Seita.1G047800 | 1.07 | SF245-ADP-核糖基化因子GTPASE激活蛋白AGD12相关 SF245-ADP-ribosylation factor GTPASE-activating protein AGD12-related |
Seita.2G044300 | 1.66 | 小核核糖核蛋白相关蛋白B和N Small nuclear ribonucleoprotein-associated protein B and N |
Seita.3G065200 | 1.49 | 小核核糖核蛋白SM D2 Small nuclear ribonucleoprotein SM D2 |
Seita.5G376100 | 2.21 | RNA聚合酶Ⅱ转录亚基37E相关介质 Mediator of RNA polymeraseⅡtranacription subunit 37E-realated |
Seita.9G367700 | 1.05 | SF9-小核核糖核蛋白 SF9-Small nuclear ribonucleoprotein |
Seita.2G402800 | 1.37 | RNA结合蛋白RBM8/Tsunagi(RRM超家族) RNA-binding protein RBM8/Tsunagi (RRM superfamily) |
Seita.5G092600 | 2.88 | SF141&小分子热休克蛋白HSP20家族 SF141-Small heat-shock protein HSP20 family |
Seita.J011800 | 1.27 | SF17-BCR相关蛋白 SF17-BCR-associated protein,BAP |
Seita.4G286000 | 6.66 | SF34-碱性内切酶 B SF34-basic endochitinase B |
表9 缺钾胁迫下转导信号与糖代谢相关基因的表达分析及注释
Table 9 Analysis and annotation of the transduction signal related genes in response to potassium-deficiency
基因识别码 Gene identification code | 差异倍数 log2(FC) | 描述 Description |
---|---|---|
Seita.3G216900 | 1.87 | RNA聚合酶Ⅱ转录亚基37E相关介质 Mediator of RNA polymeraseⅡtranacription subunit 37E-realated |
Seita.9G536800 | -2.03 | Armadillo重复含驱动蛋白样蛋白2 Armadillo repeat-containing kinesin-like protein 2 |
Seita.2G212100 | -1.79 | SF71-磷脂酶D SF71-phospholipase D |
Seita.1G047800 | 1.07 | SF245-ADP-核糖基化因子GTPASE激活蛋白AGD12相关 SF245-ADP-ribosylation factor GTPASE-activating protein AGD12-related |
Seita.2G044300 | 1.66 | 小核核糖核蛋白相关蛋白B和N Small nuclear ribonucleoprotein-associated protein B and N |
Seita.3G065200 | 1.49 | 小核核糖核蛋白SM D2 Small nuclear ribonucleoprotein SM D2 |
Seita.5G376100 | 2.21 | RNA聚合酶Ⅱ转录亚基37E相关介质 Mediator of RNA polymeraseⅡtranacription subunit 37E-realated |
Seita.9G367700 | 1.05 | SF9-小核核糖核蛋白 SF9-Small nuclear ribonucleoprotein |
Seita.2G402800 | 1.37 | RNA结合蛋白RBM8/Tsunagi(RRM超家族) RNA-binding protein RBM8/Tsunagi (RRM superfamily) |
Seita.5G092600 | 2.88 | SF141&小分子热休克蛋白HSP20家族 SF141-Small heat-shock protein HSP20 family |
Seita.J011800 | 1.27 | SF17-BCR相关蛋白 SF17-BCR-associated protein,BAP |
Seita.4G286000 | 6.66 | SF34-碱性内切酶 B SF34-basic endochitinase B |
1 | 刁现民.禾谷类杂粮作物耐逆和栽培技术研究新进展[J].中国农业科学, 2019, 52(22): 3943-3949. |
DIAO X M. Progresses in stress tolerance and field cultivation studies of orphan cereals in China [J]. Sci. Agric. Sin., 2019, 52(22): 3943-3949. | |
2 | 王海岗,温琪汾,穆志新,等.山西谷子核心资源群体结构及主要农艺性状关联分析[J].中国农业科学, 2019, 52(22): 4088-4099. |
WANG H G, WEN Q F, MU Z X, et al.. Population structure and association analysis of main agronomic traits of Shanxi core collection in foxtail millet [J]. Sci. Agric. Sin., 2019, 52(22): 4088-4099. | |
3 | 刁现民.中国谷子产业与产业技术体系[M].北京:中国农业科学技术出版社,2011: 1-3. |
DIAO X M. Millet industry and industrial technology system in China [M]. Beijing: China Agricultural Science and Technology Press, 2011: 1-3. | |
4 | 张亚琦.氮、钾肥对杂交谷子产量及耗水规律的影响研究[D].保定:河北农业大学,2014. |
ZHANG Y Q. Study on the effects of nitrogen and potassium fertilizer on yield and water consumption pattern of hybrid millet [D]. Baoding: Hebei Agricultural University, 2014. | |
5 | PETTIGEEW W T. Potassium influences on yield and quality production for maize, wheat, soybean and cotton [J]. Physiol. Plantarum., 2008,133(4):670-681. |
6 | 张亚琦,李淑文,杜雄,等.施钾对杂交谷子水分利用效率和产量的影响[J].河北农业大学学报, 2014, 37(6) :1-6. |
ZHANG Y Q, LI S W, DU X, et al.. Effect of potassium fertilization on water use efficiency and yield of hybrid millet [J]. J. Hebei Agric. Univ., 2014, 37(6) :1-6. | |
7 | 张毓宜.钾素对谷子糖代谢及营养品质的影响[D].太谷:山西农业大学, 2021. |
ZHANG Y Y. Effect of potassium on sugar metabolism and nutritional quality of millet [D]. Taigu: Shanxi Agricultural University, 2021. | |
8 | JIN C, LU C, QU H Y, et al.. Alteration of nutriental lacation and ransportergenes expression in rice under N, P, K and Mg deficiencies [J]. Acta Physiol. Plant, 2012,34(3):939-946. |
9 | VICENTE-AGULLO F, RIGAS S, DESBROSSES G, et al.. Potassium carrier TRH1 is required for auxin transport in Arabidopsis roots [J]. Plant J., 2004, 40(4):523-535. |
10 | 李艳芬,郑君岗,尹美强,等.低钾胁迫对谷子幼苗叶片光合作用的影响[J].西北植物学报, 2022,42(6): 1021-1024. |
LI Y F, ZHENG J G, YIN M Q, et al.. Effect of low potassium stress on leaf photosynthesis of millet seedings [J]. Acta Bot. Boreali-Occidentalia Sin., 2022,42(6): 1021-1024. | |
11 | 何应对.香蕉幼苗根系对缺钾胁迫的响应及分子机制研究[D].武汉:华中农业大学, 2021. |
HE Y D. Response of banana seedling roots to potassium deficiency stress and its molecular mechanism [D]. Wuhan:Huazhong Agricultural University, 2021. | |
12 | 黄文功,姜卫东,姚玉波,等.亚麻响应低钾胁迫转录谱分析[J].作物学报, 2021, 47(6):1070-1081. |
HANG W G, JIANG W D, YAO Y B, et al.. Transcriptome profiling of flax (Linum usttatissimum L.) response to low potassium stress [J]. Acta Agron. Sin., 2021, 47(6):1070-1081. | |
13 | 王婉晶.TOR信号通路通过CIPK23调控马铃薯和拟南芥的钾离子吸收和生长[D].重庆:西南大学, 2017. |
WANG W J. TOR signaling pathway regulated potassium absorption and growth via CIPK23 in potato and Arabidopsis [D]. Chongqing: Southwest University, 2017. | |
14 | GAMBALE F, UOZUMI N. Properties of shaker-type potassium channels in higher plants [J]. J. Membr. Biol., 2006,210(1):1-19. |
15 | LEBAUDY A, VERY A A, SENTENAC H. K+ channel activity in plants: genes, regulations and functions [J]. FEBS Lett., 2007, 581(12): 2357-2366. |
16 | 王学奎,黄见良.植物生理生化实验原理与技术[M].第3版.北京:高等教育出版社, 2015:1-324. |
17 | 王桂芹.硒和VitC对高氟所致氧化应激、DNA损伤及Bcl-2蛋白表达影响研究[D].广州: 广东药科大学, 2011. |
WANG G Q. Studies on the influence of selenium and vitamin C on oxidative stress, DNA damage and Bcl-2 protein expression induced by high fluoride [D]. Guangzhou: Guangdong Pharmaceutical University, 2011. | |
18 | 邹琦.植物生理生化实验指导[M].北京:中国农业出版社, 2003:1-108. |
19 | 李合生. 植物生理生化实验原理和技术[M].北京: 高等教育出版社, 2000: 1-279. |
20 | 王岳.甘蓝型油菜pol CMS温度敏感性的分子机制研究[D]. 武汉:华中农业大学, 2018. |
WANG Y. Molecular mechanism of temperature sensitivity of pol CMS in Brassica napus L. [D]. Wuhan: Huazhong Agricultural University,2018. | |
21 | 吴雪霞,朱月林,朱为民,等.外源一氧化氮对NaCl胁迫下番茄幼苗生理影响[J].中国农业科学, 2006, 39(3):575-581. |
WU X X, ZHU Y L, ZHU W M,et al.. Physilolgical effects of exogenous nitric oxide in tomato seedings under NaCl stress [J]. Sci. Agric. Sin., 2006, 39(3):575-581. | |
22 | 万凯旋.谷子耐低钾品种筛选及其生理生化研究[D].太谷:山西农业大学,2020. |
WAN K X. Screening of foxtail foxtail millet varieties with tolerance to low-potassium and study on its physiological and biochemical mechanis [D]. Taigu:Shanxi Agricultural University, 2020. | |
23 | 董轲, 许亚萍, 崔冰, 等.盐胁迫下不同钾素水平对海滨锦葵生长和光合作用的影响[J]. 植物生理学报, 2015, 51(10):1649-1657. |
DONG K, XU Y P, CUI B, et al.. Effects of different potassium levels on the growth and photosynthesis of Kostelezkya virginica under salt stress [J]. Plant Physiol. J., 2015, 51 (10): 1649-1657. | |
24 | HU W, JIANG N, YANG J S, et al.. Potassium (K) supply affects K accumulation and photosynthetic physiology in two cotton (Gossypium hirsutum L.) cultivars with different K sensitivities [J]. Field Crops Res., 2016, 196:51-63. |
25 | 杨然, 郭树勋, 杨小慧, 等.硅对低钾胁迫下番茄幼苗生长及生理特性的影响[J]. 山东农业科学, 2022, 54(9): 55-63. |
YANG R, GUO S L, YANG X H, et al.. Effects of silicon on growth and physiological characteristics of tomato seedlings under low potassium stress [J]. Shandong Agric. Sci., 2022, 54(9): 55-63. | |
26 | 田晓莉, 王刚卫, 杨富强, 等.棉花不同类型品种耐低钾能力的差异[J]. 作物学报, 2008, 34(10): 1770-1780. |
TIAN X L, WANG G W, YANG F Q, et al.. Differences in tolerance to low-potassium supply among different types of cultivars in cotton (Gossypium hirsutum L.) [J]. Acta Agron. Sin., 2008, 34(10): 1770-1780. | |
27 | 王鲲娇. 油菜响应缺钾胁迫的转录组分析及其CPA家族差异表达基因的鉴定[D].武汉:华中农业大学, 2021. |
WANG K J. Transcriptome analysis of Oilseed rape in response to potassium deficiency stress and identification of diffentially express genes in the CPA family [D]. Wuhan: Huazhong Agricultural University, 2021. | |
28 | QIAO J Y, JIANG H Z, LIN Y Q, et al.. A novel miR167a-OsARF6-OsAUX3 module regulates grain length and weight in rice [J]. Mol. Plant, 2021, 14(10): 1683-1698. |
29 | FAN L S, Li R L, PAN J W, et al.. Endocytosis and its regulation in plants[J]. Trends in Plant Sci.,2015,20(6):388-397. |
30 | REYNOLDS G D, WANG C, PAN J W, et al.. Inroads into internalization: five years of endocytic exploration[J]. Plant Physiol., 2018,176(1): 208-218. |
31 | HALUSKOVA L, VALENTOVICOVA K, HUTTOVA J, et al.. Effect of abiotic stresses on glutathione peroxidase and glutathione S-transferase activity in barley root tips [J]. Plant Physiol. Biochem., 2009, 47(11/12):1069-1074. |
32 | 王航辉. 小麦响应钾离子胁迫的转录组学分析及候选基因TaHAK25的功能鉴定[D].郑州:河南农业大学, 2022. |
WANG H H. Transcriptome analysis of wheat in response to potassium stress and functional identification of the candidate gene TaHAK25 [D]. Zhengzhou: Henan Agricultural University, 2022. | |
33 | ZHANG X Q, JIANG H, WANG H, et al.. Transcriptome analysis of rice seedling roots in response to potassium deficiency [J/OL]. Sci. Rep., 2017,7(1):5523 [2024-04-01]. . |
34 | THORNBURG T E, LIU J, LI Q, et al.. Potassium deficiency significantly affected plant growth and development as well as microRNA-mediated mechanism in wheat (Triticum aestivum L.) [J/OL]. Front. Plant Sci., 2020, 11:1219 [2024-04-01]. . |
35 | BENCKE-MALATO M, CABREIRA C, WIEBKE-STROHM B, et al.. Genome-wide annotation of the soybean WRKY family and functional characterization of genes involved in response to Phakopsora pachyrhizi infection [J/OL]. BMC Plant Biol., 2014, 14: 236 [2024-04-01]. . |
36 | QIU J L, FIIl B K, PETERSEN K, et al.. Arabidopsis MAP kinase 4 regulates gene expression through transcription factor release in the nucleus [J]. EMBO J., 2008,27(16):2214-2221. |
[1] | 薛新伟, 刘丹, 张姼, 韩雯毓, 穆安康, 于智坤, 杨帆, 温雅辉, 张家林, 张永平, 王显瑞. 86份谷子种质资源萌发期抗旱性综合评价及筛选[J]. 中国农业科技导报, 2025, 27(6): 39-51. |
[2] | 史硕, 冯宇, 李亮, 孟瑞, 章延泽, 杨秀荣. 印度梨形孢介导小麦抗纹枯病的转录组分析及关键基因筛选[J]. 中国农业科技导报, 2025, 27(5): 133-145. |
[3] | 王昕昕, 吴子薇, 方婷, 牟巧, 王芳, 赵晗, 杜志强, 杨彩侠. 维生素C调节小鼠TM4支持细胞的功能和基因表达[J]. 中国农业科技导报, 2025, 27(5): 81-89. |
[4] | 秦岭, 王艳珂, 陈二影, 杨延兵, 黎飞飞, 张梦媛, 管延安. ABA缓解谷子幼苗干旱胁迫生理特性分析[J]. 中国农业科技导报, 2025, 27(4): 36-44. |
[5] | 刘婷婷, 郝曦煜, 王辉, 冷静文, 宫世航, 刘伟. 吉林西部半干旱地区不同谷子品种产量与农艺性状的分析[J]. 中国农业科技导报, 2025, 27(1): 50-60. |
[6] | 张倩, 门丽娜, 李一然, 刘巧, 胡晓雯, 张宇宏, 张志伟, 张伟. 桃蛀果蛾雌雄虫不同发育时期嗅觉基因的表达水平差异[J]. 中国农业科技导报, 2024, 26(8): 151-162. |
[7] | 蒋沛含, 杨晓楠, 杨晨旭, 张爱军. 基于偏最小二乘回归的谷子冠层氮素含量高光谱估测研究[J]. 中国农业科技导报, 2024, 26(6): 91-101. |
[8] | 徐佳睿, 王逸茹, 赵绍赓, 李坤, 郑军. 玉米木质素合成途径基因ZmCCoAOMT1功能研究及转录组分析[J]. 中国农业科技导报, 2024, 26(5): 30-43. |
[9] | 李双, 王爱英, 焦浈, 池青, 孙昊, 焦涛. 盐胁迫下不同抗性小麦幼苗生理生化特性及转录组分析[J]. 中国农业科技导报, 2024, 26(2): 20-32. |
[10] | 赵展, 王晓婷, 张黎凤, 赵津禾, 于玉红, 李军华, 吴占清. 西瓜对低氮胁迫响应的转录组分析[J]. 中国农业科技导报, 2024, 26(12): 30-38. |
[11] | 陈永孜, 王化, 王维轩. 空间转录组学的发展及其应用进展[J]. 中国农业科技导报, 2024, 26(11): 23-31. |
[12] | 夏雪岩, 崔纪菡, 黄玫红, 郭帅, 刘猛, 赵宇, 鲁一薇, 赵文庆, 王京新, 李顺国. 谷子苗期氮高效转录组分析与基因挖掘[J]. 中国农业科技导报, 2024, 26(10): 41-57. |
[13] | 冀薇, 樊莹, 黄家兴, 杨慧鹏, 徐进, 李小英, 郭岳琴, 吴跃国, 李继莲, 姚军. 不同授粉强度对蓝莓柱头响应机制的转录组分析[J]. 中国农业科技导报, 2024, 26(10): 71-82. |
[14] | 徐皖菁, 彭芳, 赵豆豆, 罗姣姣, 陶珊, 廖海浪, 毛常清, 吴宇, 朱秀, 徐正君, 张超. 基于转录组和代谢组解析川芎对镉胁迫的响应机制[J]. 中国农业科技导报, 2024, 26(10): 98-109. |
[15] | 李相吴, 刘自扬, 徐玉俊, 祝建波, 吴燕民. 真菌诱导子调控紫草素合成的分子机制探究[J]. 中国农业科技导报, 2024, 26(1): 78-88. |
阅读次数 | ||||||
全文 |
|
|||||
摘要 |
|
|||||