中国农业科技导报 ›› 2025, Vol. 27 ›› Issue (6): 39-51.DOI: 10.13304/j.nykjdb.2024.0515
薛新伟1,2(), 刘丹2, 张姼2, 韩雯毓1,3, 穆安康2, 于智坤2, 杨帆2, 温雅辉2, 张家林2, 张永平1(
), 王显瑞2(
)
收稿日期:
2024-06-25
接受日期:
2024-08-21
出版日期:
2025-06-15
发布日期:
2025-06-23
通讯作者:
张永平,王显瑞
作者简介:
薛新伟 E-mail: xuexinwei@163.com
基金资助:
Xinwei XUE1,2(), Dan LIU2, Shi ZHANG2, Wenyu HAN1,3, Ankang MU2, Zhikun YU2, Fan YANG2, Yahui WEN2, Jialin ZHANG2, Yongping ZHANG1(
), Xianrui WANG2(
)
Received:
2024-06-25
Accepted:
2024-08-21
Online:
2025-06-15
Published:
2025-06-23
Contact:
Yongping ZHANG,Xianrui WANG
摘要:
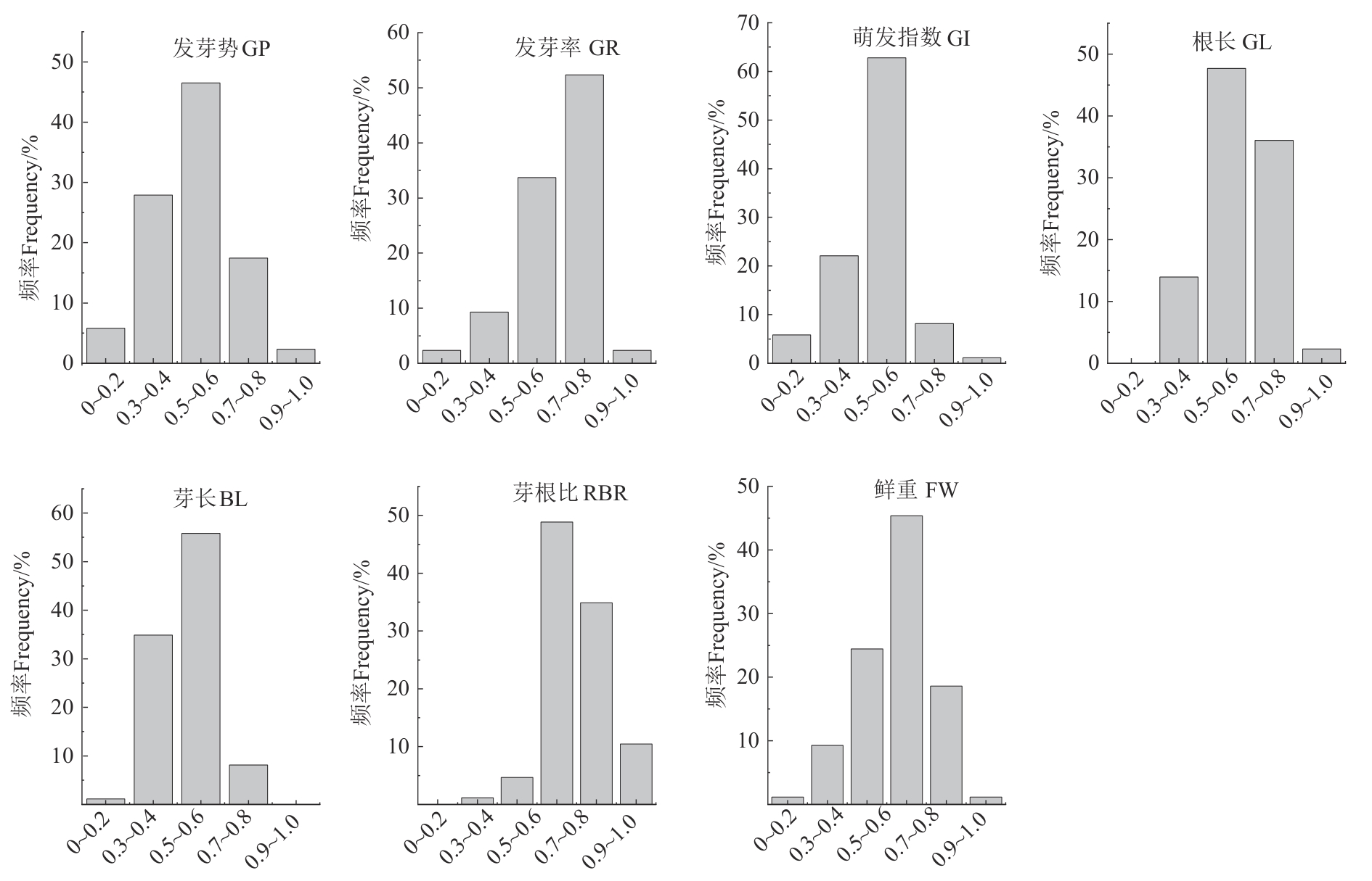
种子萌发阶段是对外界环境最敏感阶段。为筛选萌发期具有较强抗旱性的谷子种质资源,以内蒙古地区86份谷子种质为研究对象,分别设置质量体积分数0%和20% PEG-6000干旱胁迫处理,测定不同处理下各种质萌发期的发芽势、发芽率、萌发指数、根长、芽长、芽根比、鲜重共7个性状,并采用综合评价法对不同谷子种质萌发期的抗旱性进行评价。结果表明,干旱胁迫影响谷子种子萌发,7个性状的变异系数为4.00%~37.44%,抗旱系数的变异系数为20.06%~33.84%;各指标的抗旱系数间均呈现出一定的相关性,其中萌发指数与发芽率的相关性最强,相关系数为0.92。主成分分析提取出5个主成分,累计贡献率达99.25%。聚类分析将86份谷子种质划分为5个类群,筛选出高抗旱种质12份,分别为CMG01、CMG04、CMG05、CMG20、CMG30、CMG37、赤谷K9、公谷2号、金苗K10、CMG58、CMG60、CMG62。通过逐步回归分析建立谷子萌发期抗旱性评价预测模型为:Y=-0.225+0.838x3+0.170x4+0.219x5+0.116x6,x3、x4、x5、x6分别为萌发指数、根长、芽长、鲜重,这4个性状可作为谷子萌发期抗旱性的鉴定指标。以上研究结果为谷子抗旱新品种培育和抗旱机理研究提供种质基础和理论参考。
中图分类号:
薛新伟, 刘丹, 张姼, 韩雯毓, 穆安康, 于智坤, 杨帆, 温雅辉, 张家林, 张永平, 王显瑞. 86份谷子种质资源萌发期抗旱性综合评价及筛选[J]. 中国农业科技导报, 2025, 27(6): 39-51.
Xinwei XUE, Dan LIU, Shi ZHANG, Wenyu HAN, Ankang MU, Zhikun YU, Fan YANG, Yahui WEN, Jialin ZHANG, Yongping ZHANG, Xianrui WANG. Comprehensive Evaluation and Screening of Drought Resistance of 86 Millet Germplasm Resources During Germination Period[J]. Journal of Agricultural Science and Technology, 2025, 27(6): 39-51.
品种编号 Variety ID | 品种名称 Variety name | 来源 Origin | 品种编号Variety ID | 品种名称Variety name | 来源 Origin |
---|---|---|---|---|---|
JMK4 | 金苗K4 Jinmiao K4 | 赤峰市农牧科学研究院 Chifeng Academy of Agricultural and Animal Husbandry Sciences | JMK2 | 金苗K2 Jinmiao K2 | 赤峰市农牧科学研究院 Chifeng Academy of Agricultural and Animal Husbandry Sciences |
JMK11 | 金苗K11 Jinmiao K11 | 赤峰市农牧科学研究院 Chifeng Academy of Agricultural and Animal Husbandry Sciences | JMK6 | 金苗K6 Jinmiao K6 | 赤峰市农牧科学研究院 Chifeng Academy of Agricultural and Animal Husbandry Sciences |
LG37 | 龙谷37 Longgu37 | 黑龙江省农业科学院 Heilongjiang Academy of Agricultural Sciences | FHG | 峰红谷 Fenghonggu | 赤峰市农牧科学研究院 Chifeng Academy of Agricultural and Animal Husbandry Sciences |
JMK7 | 金苗K7 Jinmiao K7 | 赤峰市农牧科学研究院 Chifeng Academy of Agricultural and Animal Husbandry Sciences | CG6 | 赤谷6 Chigu 6 | 赤峰市农牧科学研究院 Chifeng Academy of Agricultural and Animal Husbandry Sciences |
ZZG13 | 张杂谷13 Zhangzagu13 | 张家口市农业科学院 Zhangjiakou Academy of Agricultural Sciences | CGK 9 | 赤谷K9 Chigu K9 | 赤峰市农牧科学研究院 Chifeng Academy of Agricultural and Animal Husbandry Sciences |
JMK9 | 金苗K9 Jinmiao K9 | 赤峰市农牧科学研究院 Chifeng Academy of Agricultural and Animal Husbandry Sciences | CGK 6 | 赤谷K6 Chigu K6 | 赤峰市农牧科学研究院 Chifeng Academy of Agricultural and Animal Husbandry Sciences |
ZG19 | 中谷19 Zhonggu19 | 中国农业科学院作物科学研究所 Insitute of Crop Sciences, Chinese Academy of Agricultural Sciences | JG39 | 冀谷39 Jigu 39 | 河北省农林科学院谷子研究所 Insititute of Millet Crops, Hebei Academy of Agriculture and Forestry Sciences |
ZG9 | 中谷9 Zhonggu 9 | 中国农业科学院作物科学研究所 Insitute of Crop Sciences, Chinese Academy of Agricultural Sciences | DG1 | 吨谷1号Dungu 1 | 山西Shanxi |
CGK3 | 赤谷K3 Chigu K3 | 赤峰市农牧科学研究院 Chifeng Academy of Agricultural and Animal Husbandry Sciences | GA2 | 公矮2号 Gongai 2 | 吉林Jilin |
JMK8 | 金苗K8 Jinmiao K8 | 赤峰市农牧科学研究院 Chifeng Academy of Agricultural and Animal Husbandry Sciences | LNG1 | 绿糯谷1号Lyunuogu 1 | 赤峰市农牧科学研究院 Chifeng Academy of Agricultural and Animal Husbandry Sciences |
JMK1 | 金苗K1 Jinmiao K1 | 赤峰市农牧科学研究院 Chifeng Academy of Agricultural and Animal Husbandry Sciences | FH2H | 峰红2号Fenghong 2 | 赤峰市农牧科学研究院 Chifeng Academy of Agricultural and Animal Husbandry Sciences |
HJG | 黄金谷 Huangjingu | 赤峰市农牧科学研究院 Chifeng Academy of Agricultural and Animal Husbandry Sciences | JMK10 | 金苗K10 Jinmiao K10 | 赤峰市农牧科学研究院 Chifeng Academy of Agricultural and Animal Husbandry Sciences |
表1 24份谷子主栽品种名称及来源
Table 1 Name and source of 24 main cultivated varieties of millet
品种编号 Variety ID | 品种名称 Variety name | 来源 Origin | 品种编号Variety ID | 品种名称Variety name | 来源 Origin |
---|---|---|---|---|---|
JMK4 | 金苗K4 Jinmiao K4 | 赤峰市农牧科学研究院 Chifeng Academy of Agricultural and Animal Husbandry Sciences | JMK2 | 金苗K2 Jinmiao K2 | 赤峰市农牧科学研究院 Chifeng Academy of Agricultural and Animal Husbandry Sciences |
JMK11 | 金苗K11 Jinmiao K11 | 赤峰市农牧科学研究院 Chifeng Academy of Agricultural and Animal Husbandry Sciences | JMK6 | 金苗K6 Jinmiao K6 | 赤峰市农牧科学研究院 Chifeng Academy of Agricultural and Animal Husbandry Sciences |
LG37 | 龙谷37 Longgu37 | 黑龙江省农业科学院 Heilongjiang Academy of Agricultural Sciences | FHG | 峰红谷 Fenghonggu | 赤峰市农牧科学研究院 Chifeng Academy of Agricultural and Animal Husbandry Sciences |
JMK7 | 金苗K7 Jinmiao K7 | 赤峰市农牧科学研究院 Chifeng Academy of Agricultural and Animal Husbandry Sciences | CG6 | 赤谷6 Chigu 6 | 赤峰市农牧科学研究院 Chifeng Academy of Agricultural and Animal Husbandry Sciences |
ZZG13 | 张杂谷13 Zhangzagu13 | 张家口市农业科学院 Zhangjiakou Academy of Agricultural Sciences | CGK 9 | 赤谷K9 Chigu K9 | 赤峰市农牧科学研究院 Chifeng Academy of Agricultural and Animal Husbandry Sciences |
JMK9 | 金苗K9 Jinmiao K9 | 赤峰市农牧科学研究院 Chifeng Academy of Agricultural and Animal Husbandry Sciences | CGK 6 | 赤谷K6 Chigu K6 | 赤峰市农牧科学研究院 Chifeng Academy of Agricultural and Animal Husbandry Sciences |
ZG19 | 中谷19 Zhonggu19 | 中国农业科学院作物科学研究所 Insitute of Crop Sciences, Chinese Academy of Agricultural Sciences | JG39 | 冀谷39 Jigu 39 | 河北省农林科学院谷子研究所 Insititute of Millet Crops, Hebei Academy of Agriculture and Forestry Sciences |
ZG9 | 中谷9 Zhonggu 9 | 中国农业科学院作物科学研究所 Insitute of Crop Sciences, Chinese Academy of Agricultural Sciences | DG1 | 吨谷1号Dungu 1 | 山西Shanxi |
CGK3 | 赤谷K3 Chigu K3 | 赤峰市农牧科学研究院 Chifeng Academy of Agricultural and Animal Husbandry Sciences | GA2 | 公矮2号 Gongai 2 | 吉林Jilin |
JMK8 | 金苗K8 Jinmiao K8 | 赤峰市农牧科学研究院 Chifeng Academy of Agricultural and Animal Husbandry Sciences | LNG1 | 绿糯谷1号Lyunuogu 1 | 赤峰市农牧科学研究院 Chifeng Academy of Agricultural and Animal Husbandry Sciences |
JMK1 | 金苗K1 Jinmiao K1 | 赤峰市农牧科学研究院 Chifeng Academy of Agricultural and Animal Husbandry Sciences | FH2H | 峰红2号Fenghong 2 | 赤峰市农牧科学研究院 Chifeng Academy of Agricultural and Animal Husbandry Sciences |
HJG | 黄金谷 Huangjingu | 赤峰市农牧科学研究院 Chifeng Academy of Agricultural and Animal Husbandry Sciences | JMK10 | 金苗K10 Jinmiao K10 | 赤峰市农牧科学研究院 Chifeng Academy of Agricultural and Animal Husbandry Sciences |
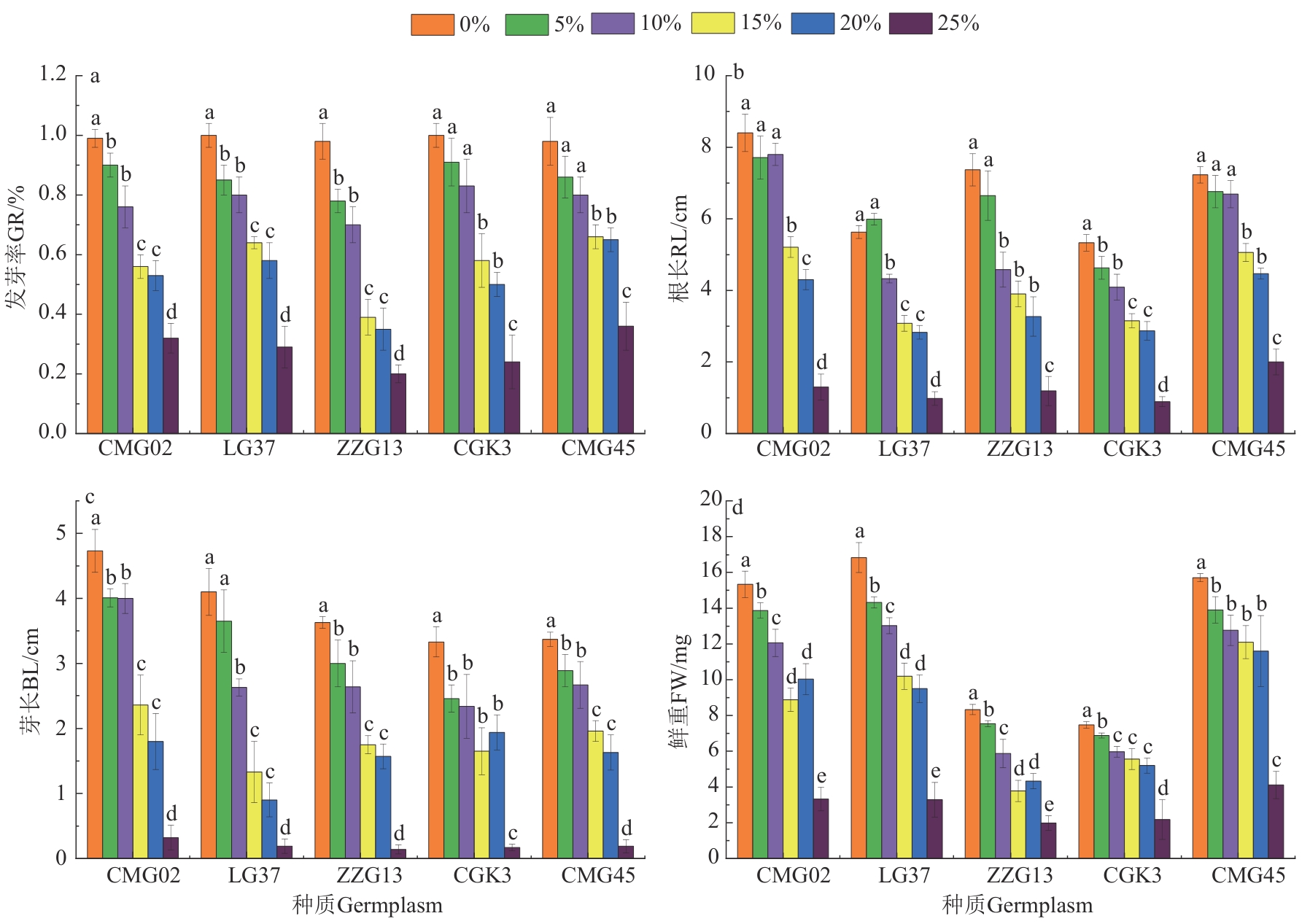
图1 不同PEG-6000处理下谷子的发芽率、根长、芽长和鲜重注:不同小写字母表示不同处理间在P<0.05水平差异显著。
Fig. 1 GR, RL, BL and FW of millet under different PEG-6000 treatmentsNote: Different lowercase letters indicate significant differences between different treatments at P<0.05 level.
处理 Treatment | 参数 Parameter | 发芽势 GP/% | 发芽率 GR/% | 萌发指数 GI/% | 根长 RL/cm | 芽长 BL/cm | 根芽比 RBR | 鲜重 FW/mg |
---|---|---|---|---|---|---|---|---|
对照CK | 最大值Max | 1.00 | 1.00 | 1.00 | 9.40 | 7.00 | 1.30 | 19.97 |
最小值Min | 0.33 | 0.78 | 0.54 | 3.27 | 2.57 | 0.37 | 5.00 | |
均值Ave | 0.91 a | 0.96 a | 0.91 a | 6.55 a | 3.98 a | 0.63 a | 13.07 a | |
标准差SD | 0.10 | 0.04 | 0.08 | 1.30 | 0.79 | 0.17 | 3.29 | |
变异系数CV/% | 11.30 | 4.00 | 9.24 | 19.78 | 19.72 | 26.74 | 25.13 | |
干旱 Drought | 最大值Max | 0.73 | 0.83 | 0.68 | 6.23 | 3.43 | 1.08 | 16.03 |
最小值Min | 0.05 | 0.13 | 0.08 | 1.10 | 0.73 | 0.23 | 0.97 | |
均值Ave | 0.43 b | 0.57 b | 0.42 b | 3.60 b | 1.74 b | 0.50 b | 8.48 b | |
标准差SD | 0.14 | 0.15 | 0.12 | 0.92 | 0.56 | 0.17 | 3.18 | |
变异系数CV/% | 33.86 | 25.68 | 28.74 | 25.49 | 32.14 | 33.05 | 37.44 |
表2 不同处理下谷子种质的萌发指标
Table 2 Germination index of millet under different treatments
处理 Treatment | 参数 Parameter | 发芽势 GP/% | 发芽率 GR/% | 萌发指数 GI/% | 根长 RL/cm | 芽长 BL/cm | 根芽比 RBR | 鲜重 FW/mg |
---|---|---|---|---|---|---|---|---|
对照CK | 最大值Max | 1.00 | 1.00 | 1.00 | 9.40 | 7.00 | 1.30 | 19.97 |
最小值Min | 0.33 | 0.78 | 0.54 | 3.27 | 2.57 | 0.37 | 5.00 | |
均值Ave | 0.91 a | 0.96 a | 0.91 a | 6.55 a | 3.98 a | 0.63 a | 13.07 a | |
标准差SD | 0.10 | 0.04 | 0.08 | 1.30 | 0.79 | 0.17 | 3.29 | |
变异系数CV/% | 11.30 | 4.00 | 9.24 | 19.78 | 19.72 | 26.74 | 25.13 | |
干旱 Drought | 最大值Max | 0.73 | 0.83 | 0.68 | 6.23 | 3.43 | 1.08 | 16.03 |
最小值Min | 0.05 | 0.13 | 0.08 | 1.10 | 0.73 | 0.23 | 0.97 | |
均值Ave | 0.43 b | 0.57 b | 0.42 b | 3.60 b | 1.74 b | 0.50 b | 8.48 b | |
标准差SD | 0.14 | 0.15 | 0.12 | 0.92 | 0.56 | 0.17 | 3.18 | |
变异系数CV/% | 33.86 | 25.68 | 28.74 | 25.49 | 32.14 | 33.05 | 37.44 |
参数 Parameter | 发芽势 GP | 发芽率 GR | 萌发指数 GI | 根长 RL | 芽长 BL | 芽根比 RBR | 鲜重 FW |
---|---|---|---|---|---|---|---|
最大值 Max | 0.92 | 0.89 | 0.83 | 0.85 | 0.67 | 1.27 | 1.06 |
最小值 Min | 0.05 | 0.14 | 0.10 | 0.25 | 0.19 | 0.38 | 0.19 |
均值 Ave | 0.47 | 0.59 | 0.47 | 0.56 | 0.44 | 0.80 | 0.65 |
标准差 SD | 0.16 | 0.15 | 0.14 | 0.13 | 0.12 | 0.16 | 0.19 |
变异系数 CV/% | 33.84 | 25.83 | 30.27 | 22.81 | 26.44 | 20.06 | 29.09 |
表3 谷子各指标的抗旱系数
Table 3 DC of different indicators of millet
参数 Parameter | 发芽势 GP | 发芽率 GR | 萌发指数 GI | 根长 RL | 芽长 BL | 芽根比 RBR | 鲜重 FW |
---|---|---|---|---|---|---|---|
最大值 Max | 0.92 | 0.89 | 0.83 | 0.85 | 0.67 | 1.27 | 1.06 |
最小值 Min | 0.05 | 0.14 | 0.10 | 0.25 | 0.19 | 0.38 | 0.19 |
均值 Ave | 0.47 | 0.59 | 0.47 | 0.56 | 0.44 | 0.80 | 0.65 |
标准差 SD | 0.16 | 0.15 | 0.14 | 0.13 | 0.12 | 0.16 | 0.19 |
变异系数 CV/% | 33.84 | 25.83 | 30.27 | 22.81 | 26.44 | 20.06 | 29.09 |
性状 Trait | 发芽势 GP | 发芽率 GR | 萌发指数 GI | 根长 RL | 芽长 BL | 根芽比 RBR |
---|---|---|---|---|---|---|
发芽率GR | 0.736** | |||||
萌发指数GI | 0.916** | 0.885** | ||||
根长RL | 0.556** | 0.633** | 0.616** | |||
芽长BL | 0.386** | 0.621** | 0.488** | 0.690** | ||
根芽比RBR | -0.092 | 0.099 | -0.033 | 0.216* | 0.536** | |
鲜重FW | 0.522** | 0.698** | 0.599** | 0.613** | 0.711** | 0.263* |
表4 不同指标抗旱系数的相关性分析
Table 4 Correlation analysis of drought tolerance coefficients of different indicators
性状 Trait | 发芽势 GP | 发芽率 GR | 萌发指数 GI | 根长 RL | 芽长 BL | 根芽比 RBR |
---|---|---|---|---|---|---|
发芽率GR | 0.736** | |||||
萌发指数GI | 0.916** | 0.885** | ||||
根长RL | 0.556** | 0.633** | 0.616** | |||
芽长BL | 0.386** | 0.621** | 0.488** | 0.690** | ||
根芽比RBR | -0.092 | 0.099 | -0.033 | 0.216* | 0.536** | |
鲜重FW | 0.522** | 0.698** | 0.599** | 0.613** | 0.711** | 0.263* |
指标 Index | 关联度 γD(DC vs D) | 排序 Ranking | 权重系数 Weight | 关联度 γWDC(DC vs WDC) | 排序 Ranking |
---|---|---|---|---|---|
发芽势GP | 0.827 | 3 | 0.147 | 0.752 | 6 |
发芽率GR | 0.848 | 2 | 0.151 | 0.866 | 1 |
萌发指数GI | 0.887 | 1 | 0.158 | 0.812 | 2 |
根长RL | 0.782 | 5 | 0.139 | 0.809 | 3 |
芽长BL | 0.778 | 6 | 0.138 | 0.809 | 4 |
根芽比RBR | 0.717 | 7 | 0.127 | 0.735 | 7 |
鲜重FW | 0.791 | 4 | 0.140 | 0.809 | 5 |
表5 谷子种质各指标DC与D、WDC的关联度分析
Table 5 Correlation analysis of DC with D and WDC for different metrics of various textures in millet
指标 Index | 关联度 γD(DC vs D) | 排序 Ranking | 权重系数 Weight | 关联度 γWDC(DC vs WDC) | 排序 Ranking |
---|---|---|---|---|---|
发芽势GP | 0.827 | 3 | 0.147 | 0.752 | 6 |
发芽率GR | 0.848 | 2 | 0.151 | 0.866 | 1 |
萌发指数GI | 0.887 | 1 | 0.158 | 0.812 | 2 |
根长RL | 0.782 | 5 | 0.139 | 0.809 | 3 |
芽长BL | 0.778 | 6 | 0.138 | 0.809 | 4 |
根芽比RBR | 0.717 | 7 | 0.127 | 0.735 | 7 |
鲜重FW | 0.791 | 4 | 0.140 | 0.809 | 5 |
指标Index | 第1主成分 PC1 | 第2主成分 PC2 | 第3主成分 PC3 | 第4主成分 PC4 | 第5主成分 PC5 |
---|---|---|---|---|---|
发芽势GP | 0.396 3 | -0.2892 | 0.411 6 | 0.168 1 | 0.586 2 |
发芽率GR | 0.443 4 | -0.052 0 | 0.199 4 | -0.076 0 | -0.765 3 |
萌发指数GI | 0.435 2 | -0.224 2 | 0.359 9 | 0.113 4 | -0.069 3 |
根长RL | 0.387 5 | -0.162 9 | -0.641 2 | 0.276 7 | 0.072 0 |
芽长BL | 0.377 5 | 0.435 6 | -0.313 3 | 0.364 6 | 0.031 5 |
根芽比RBR | 0.066 6 | 0.777 7 | 0.354 3 | 0.167 3 | 0.083 7 |
鲜重FW | 0.399 9 | 0.205 4 | -0.162 7 | -0.845 9 | 0.229 6 |
特征根Characteristic root | 4.253 | 1.452 | 0.712 | 0.319 | 0.211 |
贡献率 Contribution rate/% | 59.94 | 20.74 | 10.18 | 4.56 | 3.01 |
累计贡献率Cumulative contribution rate/% | 60.76 | 81.50 | 91.67 | 96.24 | 99.25 |
因子权重 Factor weight/% | 60.39 | 20.90 | 10.25 | 4.60 | 3.03 |
表6 各指标抗旱系数的主成分分析
Table 6 PC analysis of DC of different indicators
指标Index | 第1主成分 PC1 | 第2主成分 PC2 | 第3主成分 PC3 | 第4主成分 PC4 | 第5主成分 PC5 |
---|---|---|---|---|---|
发芽势GP | 0.396 3 | -0.2892 | 0.411 6 | 0.168 1 | 0.586 2 |
发芽率GR | 0.443 4 | -0.052 0 | 0.199 4 | -0.076 0 | -0.765 3 |
萌发指数GI | 0.435 2 | -0.224 2 | 0.359 9 | 0.113 4 | -0.069 3 |
根长RL | 0.387 5 | -0.162 9 | -0.641 2 | 0.276 7 | 0.072 0 |
芽长BL | 0.377 5 | 0.435 6 | -0.313 3 | 0.364 6 | 0.031 5 |
根芽比RBR | 0.066 6 | 0.777 7 | 0.354 3 | 0.167 3 | 0.083 7 |
鲜重FW | 0.399 9 | 0.205 4 | -0.162 7 | -0.845 9 | 0.229 6 |
特征根Characteristic root | 4.253 | 1.452 | 0.712 | 0.319 | 0.211 |
贡献率 Contribution rate/% | 59.94 | 20.74 | 10.18 | 4.56 | 3.01 |
累计贡献率Cumulative contribution rate/% | 60.76 | 81.50 | 91.67 | 96.24 | 99.25 |
因子权重 Factor weight/% | 60.39 | 20.90 | 10.25 | 4.60 | 3.03 |
因变量 Dependent variable | 多元逐步回归方程 Multiple stepwise regression equation | 决定系数 R2 | F 值 F value | P 值 P value | 统计量 Statistics |
---|---|---|---|---|---|
DC | Y=-0.130+0.167x1+0.143x2+0.213x3+0.590x5+0.172x7 | 0.998 | 9 862.49 | 0.000 1 | 1.755 |
D | Y=-0.225+0.838x3+0.170x4+0.219x5+0.116x6 | 0.991 | 4 833.97 | 0.000 1 | 2.300 |
WDC | Y=0.030+0.119x1+0.198x2+0.238x3+0.351x5+0.104x7 | 0.996 | 3 129.92 | 0.000 1 | 1.758 |
表8 谷子萌发期DC、D、WDC的模型预测
Table 8 Model prediction of DC, D and WDC of millet in germination stage
因变量 Dependent variable | 多元逐步回归方程 Multiple stepwise regression equation | 决定系数 R2 | F 值 F value | P 值 P value | 统计量 Statistics |
---|---|---|---|---|---|
DC | Y=-0.130+0.167x1+0.143x2+0.213x3+0.590x5+0.172x7 | 0.998 | 9 862.49 | 0.000 1 | 1.755 |
D | Y=-0.225+0.838x3+0.170x4+0.219x5+0.116x6 | 0.991 | 4 833.97 | 0.000 1 | 2.300 |
WDC | Y=0.030+0.119x1+0.198x2+0.238x3+0.351x5+0.104x7 | 0.996 | 3 129.92 | 0.000 1 | 1.758 |
1 | 刁现民.禾谷类杂粮作物耐逆和栽培技术研究新进展[J].中国农业科学,2019,52(22):3943-3949. |
DIAO X M. Progresses in stress tolerance and field cultivation studies of orphan cereals in china [J]. Sci. Agric. Sin., 2019, 52(22):3943-3949. | |
2 | 李君霞,马小倩,代书桃,等.谷子品质性状研究进展[J].河南农业科学,2023,52(9):14-23. |
LI J X, MA X Q, DAI S T, et al.. Research progress on quality traits of foxtail millet [J]. Henan Agric. Sci., 2023, 52(9):14-23. | |
3 | 董扬.不同品种谷子饲草产量、营养品质及饲用品质的综合评价[J].黑龙江畜牧兽医,2023(9):87-93, 99. |
DONG Y. Comprehensive evaluation of forage yield, nutritional quality and feed quality of different foxtail millet varieties [J]. Heilongjiang Anim. Husb. Vet. Med., 2023(9):87-93, 99. | |
4 | SHI W, WANG M, LIU Y. Crop yield and production responses to climate disasters in China [J/OL]. Sci. Total Environ., 2021, 750:141147 [2024-05-30]. . |
5 | TOULOTTE J M, PANTAZOPOULOU C K, SANCLEMENTE M A, et al.. Water stress resilient cereal crops:lessons from wild relatives [J]. J. Integr. Plant Biol., 2022, 64(2):412-430. |
6 | HUANG J, YU H, DAI A, et al.. Drylands face potential threat under 2 ℃ global warming target [J]. Nat. Climate Change, 2017, 7(6):417-422. |
7 | 马柱国,符淙斌,杨庆,等.关于我国北方干旱化及其转折性变化[J].大气科学,2018,42(4):951-961. |
MA Z G, FU Z B, YANG Q, et al.. Drying trend in norther China and its shift during 1951—2016 [J]. Chin. J. Atomospheric Sci., 2018, 42(4): 951-961. | |
8 | 赵凌暄,王靖,李扬,等.基于CWDI蒙冀半干旱区近60a谷子干旱时空变化特征 [J]. 中国农业气象,2024,45(4):419-430. |
ZHAO L X, WANG J, LI Y, et al.. Spatial and temporal variation characteristics of millet drought in semi-arid region of inner mongolia and hebei based on CWDI in recent 60 years [J]. Chin. J. Agrom., 2024, 45(4):419-430. | |
9 | 裴宏伟,李雅丽,李赟,等.RZWQM2模型对河北坝上地区大白菜模拟适用性评价[J].节水灌溉,2022(2):66-70, 74. |
PEI H W, LI Y L, LI Y, et al.. Applicability assessment of RZWQM2 model for chinese cabbage in bashang region of hebei province [J]. Water Saving Irri., 2022(2):66-70, 74. | |
10 | 肖继兵,刘志,辛宗绪,等.基于GGE双标图的谷子种质资源耐旱性鉴定[J].华北农学报,2022,37(5):87-96. |
XIAO J B, LIU Z, XIN Z X, et al.. Drought tolerance identification of foxtail millet germplasm resources based on GGE biplot [J]. Acta Agric. Boreali-Sin., 2022, 37(5):87-96. | |
11 | 常利芳,乔彦玮,陈芳,等.小偃麦衍生系萌发期和成株期抗旱性综合评价[J].植物遗传资源学报,2023,24(5):1321-1333. |
CHANG L F, QIAO Y W, CHEN F, et al.. Comprehensive rvaluation on drought resistance of wheat-Thinopyrum intermedium introgression lines at germination and adult stages [J]. J. Plant Genetic Resour., 2023, 24(5):1321-1333. | |
12 | 白金顺,王雪翠,王艳秋.箭筈豌豆种质资源萌发期抗旱指标筛选及抗旱性评价[J].植物营养与肥料学报,2020,26(12):2253-2263. |
BAI J S, WANG X C, WANG Y Q. Screening of drought-resistance index and drought-resistance evaluation of common vetch (Vicia sativa L.) germplasms at germination stage [J]. Plant Nutr. Fert. Sci., 2020, 26(12):2253-2263. | |
13 | 张海平,张俊峰,陈妍,等.大豆种质资源萌发期耐旱性评价[J].植物遗传资源学报,2021,22(1):130-138. |
ZHANG H P, ZHANG J F, CHEN Y, et al.. Identification and evaluation of soybean germplasm resources for drought tolerance during germination stage [J]. J. Plant Genetic Resour., 2021, 22(1):130-138. | |
14 | 朱丽丽,张发玉,安宁,等.116份藜麦种质资源萌发期抗旱性综合评价[J].干旱地区农业研究,2024,42(1):23-31. |
ZHU L L, ZHANG F Y, AN N, et al. Comprehensive evaluation of drought resistance of 116 quinoa germplasm resources during germination [J]. Agric. Res. Arid Areas, 2024, 42(1):23-31. | |
15 | 王洋,杜会石,鲍庆晗.藜麦种质资源萌发期抗旱性综合评价及抗旱指标筛选[J].江苏农业科学,2023,51(19):62-68. |
16 | 王焱,沙柏平,李明雨,等.苜蓿种质资源萌发期抗旱指标筛选及抗旱性综合评价[J].植物遗传资源学报,2019,20(3):598-609, 623. |
WANG Y, SHA B P, LI M Y, et al.. Indices Screening and comprehensive evaluation of drought resistance in alfalfa germplasm resources at germinating stage [J]. J. Plant Genetic Resour., 2019, 20(3):598-609, 623. | |
17 | 侯瑞虹,杜柯,黄伟业,等.10份不同种源野生花苜蓿材料种子萌发期抗旱性评价[J].草地学报,2024,32(2):489-494. |
HOU R H, DU K, HUANG W Y, et al.. Evaluation on drought resistance of 10 wild Medicago ruthenica L. materials from different provenances at germination period [J]. Acta Agrestia Sin., 2024, 32(2):489-494. | |
18 | 汪灿,周棱波,张国兵,等.薏苡种质资源萌发期抗旱性鉴定及抗旱指标筛选[J].植物遗传资源学报,2017,18(5):846-859. |
WANG C, ZHOU L B, ZHANG G B, et al.. Identification and indices screening of drought resistance in Job’s tears germplasm resources at germination stage [J]. J. Plant Genetic Resour., 2017, 18(5):846-859. | |
19 | 岳丽,山其米克,王卉,等.新疆高粱种质资源萌发期抗旱性综合评价[J].草地学报,2024,32(2):553-561. |
YUE L, SHAN Q M K, WANG H, et al.. Comprehensive evaluation of drought resistance of sorghum germplasm resources during germination in xinjiang [J]. Acta Agrestia Sin., 2017, 18(5):846-859. | |
20 | 王兴荣,李玥,张彦军,等.青稞种质资源成株期抗旱性鉴定及抗旱指标筛选[J].作物学报,2022,48(5):1279-1287. |
WANG X R, LI Y, ZHANG Y J, et al.. Drought resistance identification and drought resistance indexes screening of Tibetan hulless barley resources at adult stage [J]. Acta Agron. Sin., 2022, 48(5):1279-1287. | |
21 | 刘爽,李珅,王东梅,等.基于大刍草渗入系的玉米抗旱优异等位基因挖掘[J].作物学报,2024,50(8):1896-1906. |
LIU S, LI K, WANG D M, et al.. Superior allele genes mining for drought tolerance in maize based on introgression line from a cross between maize and teosinte [J]. Acta Agron. Sin., 2024, 50(8):1896-1906. | |
22 | 董舒超,洪骏,凌嘉怡,等.番茄抗旱性的全基因组关联分析[J].园艺学报,2024,51(2):229-238. |
DONG S C, HONG J, LING J Y, et al. Genome-wide association studies of drought tolerance in tomato [J]. Acta. Hortic. Sci., 2024, 51(2):229-238. | |
23 | 陈雷,杨明达,贺群岭,等.基于不同生育时期干旱对花生抗旱性的综合评定[J].花生学报, 2024,53(2):31-38, 46. |
CHEN L, YANG M D, HE Q L, et al.. Comprehensive evaluation on drought resistance of peanuts at different growth stages [J]. J. Peanut Sci., 2024, 53(2):31-38, 46. | |
24 | 张彦军,苟作旺,王兴荣,等.胡麻种质萌发期抗旱性综合评价[J].植物遗传资源学报,2015,16(3):520-527. |
ZHANG Y J, GOU Z W, WANG X R, et al.. Comprehensive valuation of drought resistance of flax germplasm in germination [J]. J. Plant Genetic Resour., 2015, 16(3):520-527. | |
25 | 张军,魏国,彭彦珉,等.8份强筋小麦品种抗旱性评价[J].麦类作物学报,2024, 44(4):442-452. |
ZHANG J, WEI G, PENG Y M, et al.. Drought resistance evaluation of eight strong gluten wheat varieties [J]. J. Triticeae Crops, 2024, 44(4):442-452. | |
26 | 马越,李玉姗,王帆,等.番茄种质资源萌发期抗旱性综合评价及筛选[J].植物遗传资源学报,2024,25(7):1056-1069. |
MA Y, LI Y S, WANG F, et al.. Comprehensive valuation and screening of srought resistance of tomato germplasm resources during germination period [J]. J. Plant Genetic Resour., 2024,25(7):1056-1069. | |
27 | 孙天国,衣兰,谷新颖,等.外源亚精胺对苜蓿幼苗干旱缓解生理机制分析[J].草地学报,2024,32(7):2099-2105. |
SUN T G, YI L, GU X Y, et al.. Analysis of the physiological mechanism of drought alleviation of alfalfa seedlings by exogenous spermidin [J]. Acta Agrestia Sin., 2024, 32(7):2099-2105. | |
28 | 柏玲,冯国郡,胡相伟,等.不同谷子品种萌发期抗旱鉴定及生理变化[J].新疆农业科学,2023,60(7):1630-1640. |
BAI L, FENG G J, HU X W, et al.. Drought resistance identification and physiological changes of different millet varieties during germination [J]. Xinjiang Agric. Sci., 2023, 60(7):1630-1640. | |
29 | 樊瑀,董淑琦,原向阳,等.谷子种质资源萌发期抗旱性综合评价及抗旱指标筛选[J].中国农业大学学报,2022,27(6):42-54. |
FAN Y, DONG S Q, YUAN X Y, et al.. Comprehensive evaluation of drought resistance of foxtail millet germplasm resources during germination period and drought resistance index screening [J]. J. China Agric. Univ., 2022, 27(6):42-54. | |
30 | 贾卫星.赤峰市耕地占补平衡制度实施调查研究[D].北京:中国地质大学,2018. |
JIA W X. Research on the implementation of the system of farmland occupation and compensation in Chifeng [D]. Beijing: China University of Geosciences, 2018. | |
31 | 孙滨峰,赵红,王效科.基于标准化降水蒸发指数(SPEI)的东北干旱时空特征[J].生态环境学报,2015,24(1):22-28. |
SUN B F, ZHAO H, WANG X K. Otemporal characteristics of drought in northeast china based on SPEI [J]. Ecol. Environ. Sci., 2015, 24(1):22-28. | |
32 | 张继真,姜艳艳,张月.基于遥感技术的东北黑土区水土流失动态监测研究[J].中国水土保持,2024(1):26-29, 69. |
ZHANG J Z, JIANG Y Y, ZHANG Y. Dynamic monitoring of soil erosion and water loss in the black soil area of Northeast China based on remote sensing technology [J]. Soil Water Conserv. China, 2024(1):26-29, 69. | |
33 | 侯森,秦慧彬,李萌,等.山西44份谷子地方品种农艺性状与芽期耐旱性评价[J].干旱地区农业研究,2024,42(2):26-32. |
HOU S, QIN H B, LI M, et al.. Identification of agronomic traits and drought tolerance at germination stage of 44 local foxtail millet varieties from Shanxi province [J]. Agric. Res. Arid Areas, 2024, 42(2):26-32. | |
34 | 邹成林,翟瑞宁,钦洁,等.不同浓度PEG模拟干旱胁迫对玉米种子萌发特性的影响[J].玉米科学,2021,29(6):68-75. |
ZOU C L, ZHAI R N, QIN J, et al.. Effects of simulated drought stress with different concentrations of PEG on germination characteristics of maize seed [J]. J. Maize Sci., 2021, 29(6):68-75. |
[1] | 郑焕斌, 李明, 杨素欣, 吴委林. 大豆种质资源苗期耐碱筛选及评价分析[J]. 中国农业科技导报, 2025, 27(7): 54-71. |
[2] | 秦岭, 王艳珂, 陈二影, 杨延兵, 黎飞飞, 张梦媛, 管延安. ABA缓解谷子幼苗干旱胁迫生理特性分析[J]. 中国农业科技导报, 2025, 27(4): 36-44. |
[3] | 雷刚, 方荣, 周坤华, 陈学军, 袁欣捷, 黄月琴, 李歌歌, 谢媛媛, 宋小民. 辣椒种质资源苗期耐热性综合评价体系的建立[J]. 中国农业科技导报, 2025, 27(3): 60-70. |
[4] | 吴强, 吴聪连, 吴小云, 吴剑, 徐选美, 赖俊声, 胡伟云, 龚榜初, 江锡兵. 不同施肥处理对锥栗产量及果实品质的影响[J]. 中国农业科技导报, 2025, 27(2): 228-237. |
[5] | 王婷, 杜婧含, 张光弟, 王江龙, 贾毅男, 王玉, 包文毅. 宁南山区新优甘蓝品种品质及挥发性物质研究[J]. 中国农业科技导报, 2025, 27(1): 165-180. |
[6] | 刘婷婷, 郝曦煜, 王辉, 冷静文, 宫世航, 刘伟. 吉林西部半干旱地区不同谷子品种产量与农艺性状的分析[J]. 中国农业科技导报, 2025, 27(1): 50-60. |
[7] | 徐雪雯, 王兴鹏, 王洪博, 曹振玺. 鼠李糖脂对盐胁迫下棉花幼苗根系生长的调控作用[J]. 中国农业科技导报, 2025, 27(1): 72-79. |
[8] | 鲁一薇, 夏雪岩, 赵宇, 崔纪菡, 刘猛, 黄玫红, 褚程, 刘建军, 李顺国. 缺钾胁迫下谷子转录组分析及相关基因挖掘[J]. 中国农业科技导报, 2024, 26(6): 30-44. |
[9] | 蒋沛含, 杨晓楠, 杨晨旭, 张爱军. 基于偏最小二乘回归的谷子冠层氮素含量高光谱估测研究[J]. 中国农业科技导报, 2024, 26(6): 91-101. |
[10] | 李江博, 高文举, 运晓东, 赵杰银, 耿世伟, 韩春斌, 陈全家, 陈琴. 不同水分胁迫处理对陆地棉核心种质资源的影响[J]. 中国农业科技导报, 2024, 26(3): 26-39. |
[11] | 曹婷婷, 刘春, 范又维, 马力, 任志雨, 袁素霞, 张军云, 钱遵姚, 杨光炤. 不同氮素供应水平对微型盆栽月季生长发育的影响[J]. 中国农业科技导报, 2024, 26(2): 67-79. |
[12] | 孟盼盼, 何海燕, 曹钰昕, 张丽欣, 吕清豪, 祁瑞林, 张红瑞. 5个栽培类型药菊分枝期抗旱性综合评价[J]. 中国农业科技导报, 2024, 26(2): 90-99. |
[13] | 何源, 谷晓童, 冯莉情, 段会军, 陶勇生. 玉米苗期和萌发期抗旱指数筛选及评价[J]. 中国农业科技导报, 2024, 26(10): 30-40. |
[14] | 夏雪岩, 崔纪菡, 黄玫红, 郭帅, 刘猛, 赵宇, 鲁一薇, 赵文庆, 王京新, 李顺国. 谷子苗期氮高效转录组分析与基因挖掘[J]. 中国农业科技导报, 2024, 26(10): 41-57. |
[15] | 李瑞珍, 姚建民, 王忠祥, 高凤翔, 窦贵新, 杨瑞平, 刘钊, 张继, 张振宇. 全生物降解渗水地膜覆盖冬播谷子产量结构关系分析[J]. 中国农业科技导报, 2023, 25(5): 185-191. |
阅读次数 | ||||||
全文 |
|
|||||
摘要 |
|
|||||