中国农业科技导报 ›› 2022, Vol. 24 ›› Issue (8): 18-24.DOI: 10.13304/j.nykjdb.2021.0740
收稿日期:
2021-08-26
接受日期:
2021-11-22
出版日期:
2022-08-15
发布日期:
2022-08-22
通讯作者:
陈茹梅
作者简介:
杨文竹 E-mail:yangwenzhu@caas.cn;
基金资助:
Received:
2021-08-26
Accepted:
2021-11-22
Online:
2022-08-15
Published:
2022-08-22
Contact:
Rumei CHEN
摘要:
花青素是自然界广泛存在的水溶性色素,也是常见的抗氧化物质。近年来,花青素在抗炎、防衰老等方面的保健功能逐渐得到关注和认可,随着甜、糯类型鲜食玉米市场需求和种植面积的逐年增加,富含花青素的鲜食玉米格外受消费者的欢迎。除了鲜食,花青素玉米还可以作为原材料进行工业提取,提取的花青素应用广泛。近几年,花青素玉米的育种发展迅速,并且在基因工程育种方面也取得了突破性进展。从玉米花青素的合成代谢调控途径、用途和市场前景、常规品种选育及基因工程研究进展等方面进行阐述,为花青素玉米未来的开发、育种方向选择提供借鉴。
中图分类号:
杨文竹, 陈茹梅. 花青素玉米的育种进展[J]. 中国农业科技导报, 2022, 24(8): 18-24.
Wenzhu YANG, Rumei CHEN. Breeding Progress of Anthocyanin Corn[J]. Journal of Agricultural Science and Technology, 2022, 24(8): 18-24.
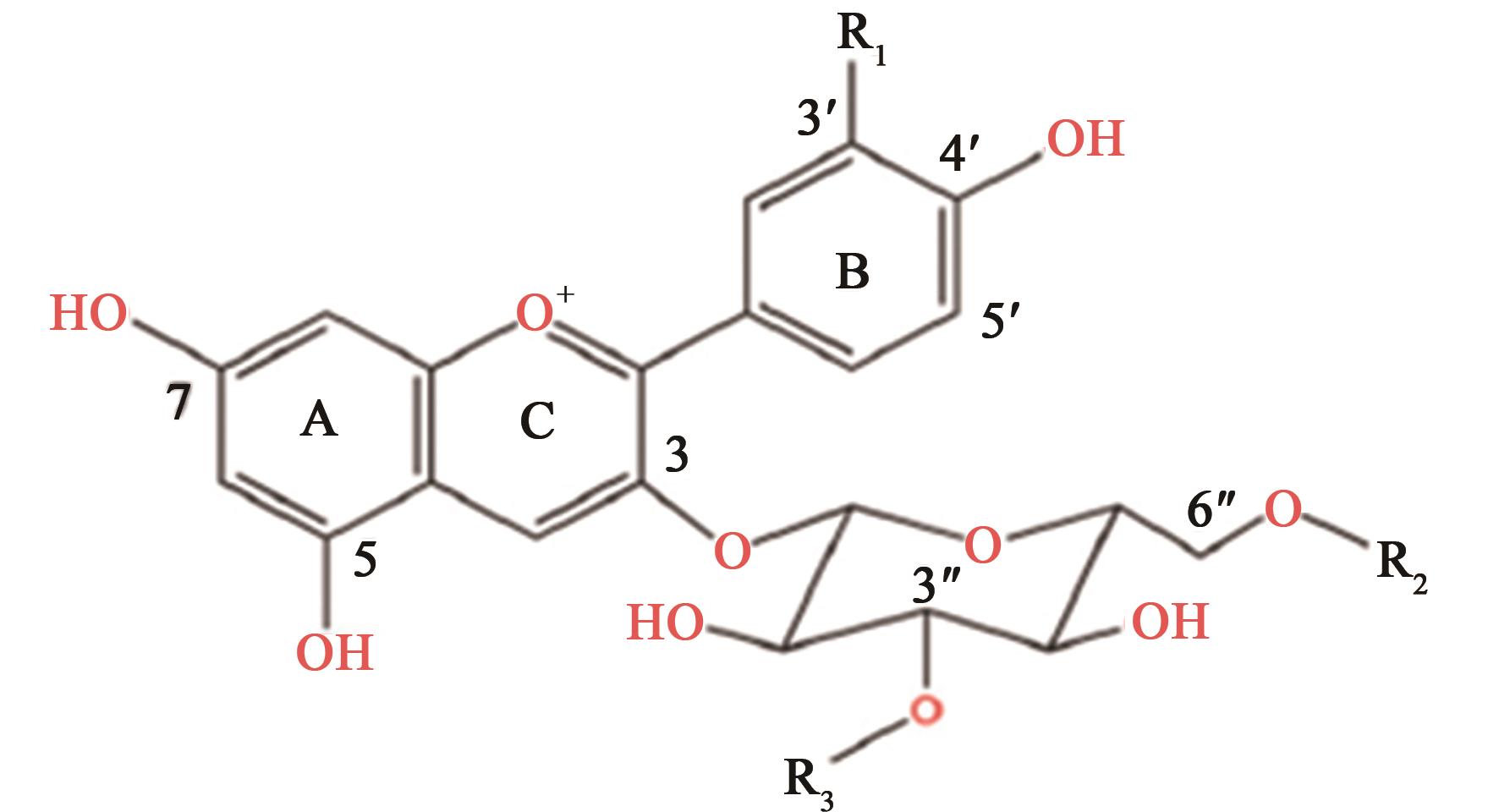
名称 Name | 缩写 Abbr | R基团R base | ||
---|---|---|---|---|
R1 | R2 | R3 | ||
天竺葵素-3-葡萄糖苷 Pelargonidin-3-glucoside | Pg3G | H | H | H |
矢车菊素-3-葡萄糖苷 Cyanidin-3-glucoside | C3G | OH | H | H |
芍药素-3-葡萄糖苷 Peonidin-3-glucoside | Pn3G | CH3 | H | H |
天竺葵素-3-(6’-丙二酰)葡萄糖苷 Pelargonidin-3- (6’- malonyl)glucoside | Pg3MG | H | 丙二酰Malonyl | H |
矢车菊素-3-(6’-丙二酰)葡萄糖苷 Cyanidin-3- (6’- malonyl) glucoside | C3MG | OH | 丙二酰Malonyl | H |
芍药素-3-(6’-丙二酰)葡萄糖苷 Peonidin-3- (6’- malonyl) glucoside | Pn3MG | CH3 | 丙二酰Malonyl | H |
天竺葵素-3-(3’,6’-二丙二酰)葡萄糖苷 Pelargonidin-3- (3’,6’-dimalonyl) glucoside | Pg3DMG | H | 丙二酰Malonyl | 丙二酰Malonyl |
矢车菊素-3-(3’,6’-二丙二酰)葡萄糖苷 Cyanidin-3- (3’,6’-dimalonyl) glucoside | C3DMG | OH | 丙二酰Malonyl | 丙二酰Malonyl |
芍药素-3-(3’,6’-二丙二酰)葡萄糖苷 Peonidin-3- (3’,6’-dimalonyl) glucoside | Pn3DMG | CH3 | 丙二酰Malonyl | 丙二酰Malonyl |
表1 玉米中常见的花青苷形式[6]
Table 1 Common anthocyanin molecules in maize[6]
名称 Name | 缩写 Abbr | R基团R base | ||
---|---|---|---|---|
R1 | R2 | R3 | ||
天竺葵素-3-葡萄糖苷 Pelargonidin-3-glucoside | Pg3G | H | H | H |
矢车菊素-3-葡萄糖苷 Cyanidin-3-glucoside | C3G | OH | H | H |
芍药素-3-葡萄糖苷 Peonidin-3-glucoside | Pn3G | CH3 | H | H |
天竺葵素-3-(6’-丙二酰)葡萄糖苷 Pelargonidin-3- (6’- malonyl)glucoside | Pg3MG | H | 丙二酰Malonyl | H |
矢车菊素-3-(6’-丙二酰)葡萄糖苷 Cyanidin-3- (6’- malonyl) glucoside | C3MG | OH | 丙二酰Malonyl | H |
芍药素-3-(6’-丙二酰)葡萄糖苷 Peonidin-3- (6’- malonyl) glucoside | Pn3MG | CH3 | 丙二酰Malonyl | H |
天竺葵素-3-(3’,6’-二丙二酰)葡萄糖苷 Pelargonidin-3- (3’,6’-dimalonyl) glucoside | Pg3DMG | H | 丙二酰Malonyl | 丙二酰Malonyl |
矢车菊素-3-(3’,6’-二丙二酰)葡萄糖苷 Cyanidin-3- (3’,6’-dimalonyl) glucoside | C3DMG | OH | 丙二酰Malonyl | 丙二酰Malonyl |
芍药素-3-(3’,6’-二丙二酰)葡萄糖苷 Peonidin-3- (3’,6’-dimalonyl) glucoside | Pn3DMG | CH3 | 丙二酰Malonyl | 丙二酰Malonyl |
图2 玉米中花青素合成途径注: PAL—苯丙氨酸酶;C4H—肉桂酸-4-羟化酶;4CL—4-香豆酸辅酶A连接酶;CHS—苯基苯乙烯酮合酶;CHI—查尔酮异构酶;F3H—黄酮3-羟化酶;F3’H—类黄酮-3’-羟化酶;DFR—二氢黄酮醇-4-还原酶;ANS—花青素合成酶;UFGT—类黄酮糖基转移酶;GST—谷胱甘肽S移换酶。
Fig. 2 Schematic representation of the anthocyanin pathway in maizeNote: PAL—Phenylalaninammo-nialyase; C4H—Cinnamate 4-hydroxylase; 4CL—4-coumarate coenzyme A ligase; CHS—Chalconesynthase; CHI—Chalcone isomerase; F3H—Flavanone-3-hydroxylase; F3’H—Flavonoid-3-hydroxylase; DFR—Dihydroflavonol-4-reductase; ANS—Anthocyanidin synthase; UFGT—UDP-glycose flavonoid glycosyltransferase; GST—Glutathione S-transferase.
图3 我国花青素玉米品种审定趋势数据来源:中华人民共和国农业农村部公告。
Fig. 3 Trend of variety approval of anthocyanin maize in ChinaData source: Announcement of the Ministry of Agriculture and Rural Affairs of the People’s Republic of China.
年份 Year | 国审号 National No. | 品种名称 Variety | 申请单位 Applicant | 籽粒颜色 Kernel color |
---|---|---|---|---|
2003 | 2003064 | 西星赤糯1号Xixingchinuo 1 | 山东登海种业股份有限公司 Shandong Denghai Seeds Co.,Ltd. | 红色 Red |
2003 | 2003065 | 郑黑糯1号 Zhengheinuo 1 | 河南省农业科学院粮食作物研究所 Cereal Crops Institute,Henan Academy of Agricultural Sciences | 黑紫色 Dark purple |
2004 | 2004035 | 西星黑糯1号 Xixingheinuo 1 | 山东登海种业股份有限公司 Shandong Denghai Seeds Co.,Ltd. | 紫色 Purple |
2005 | 2005039 | 京紫糯218 Jingzinuo 218 | 北京市农林科学院玉米研究中心 Maize Research Center, Beijing Academy of Agriculture and Forestry Sciences | 紫色 Purple |
2006 | 2006067 | 郑黑糯2号 Zhengheinuo 2 | 河南省农业科学院粮食作物研究所 Cereal Crops Institute,Henan Academy of Agricultural Sciences | 紫黑色 Purple black |
2009 | 2009013 | 莱农糯10号 Lainongnuo 10 | 青岛农业大学 Qingdao Agricultural University | 浅紫色 Light purple |
2019 | 20190391 | 黑糯690 Heinuo 690 | 重庆市农业科学院 Chongqing Academy of Agricultural Sciences | 紫黑色 Purple black |
2019 | 20190384 | 晋糯20号 Jinnuo 20 | 山西大丰种业有限公司 Shanxi Dafeng Seeds Co.,Ltd. | 紫色 Purple |
2020 | 20200486 | 斯达糯44 Sidanuo 44 | 北京中农斯达农业科技开发有限公司 Beijing Zhongnong Sida Agricultural Science and Technology Development Co., Ltd. | 紫色 Purple |
2020 | 20200493 | 斯达31 Sida 31 | 北京中农斯达农业科技开发有限公司 Beijing Zhongnong Sida Agricultural Science and Technology Development Co., Ltd. | 紫黑色 Purple black |
2020 | 20200524 | 黑糯660 Heinuo 660 | 重庆市农业科学院 Chongqing Academy of Agricultural Sciences | 紫黑色 Purple black |
2020 | 20200525 | 珍珠糯8号 Zhenzhunuo 8 | 安徽省农业科学院烟草研究所 Tobacco Research Institute,Anhui Academy of Agricultural Sciences | 紫色 Purple |
2020 | 20200542 | 黑甜玉8号 Heitianyu 8 | 成都农业科技职业学院 Chengdu Agricultural College | 紫黑色 Purple black |
2020 | 20200544 | 黑糯715 Heinuo 715 | 重庆市农业科学院 Chongqing Academy of Agricultural Sciences | 紫黑色 Purple black |
表2 富含花青素的国审玉米品种
Table 2 Anthocyanin maize variety approved by the National Crop Variety Approval Committee of China
年份 Year | 国审号 National No. | 品种名称 Variety | 申请单位 Applicant | 籽粒颜色 Kernel color |
---|---|---|---|---|
2003 | 2003064 | 西星赤糯1号Xixingchinuo 1 | 山东登海种业股份有限公司 Shandong Denghai Seeds Co.,Ltd. | 红色 Red |
2003 | 2003065 | 郑黑糯1号 Zhengheinuo 1 | 河南省农业科学院粮食作物研究所 Cereal Crops Institute,Henan Academy of Agricultural Sciences | 黑紫色 Dark purple |
2004 | 2004035 | 西星黑糯1号 Xixingheinuo 1 | 山东登海种业股份有限公司 Shandong Denghai Seeds Co.,Ltd. | 紫色 Purple |
2005 | 2005039 | 京紫糯218 Jingzinuo 218 | 北京市农林科学院玉米研究中心 Maize Research Center, Beijing Academy of Agriculture and Forestry Sciences | 紫色 Purple |
2006 | 2006067 | 郑黑糯2号 Zhengheinuo 2 | 河南省农业科学院粮食作物研究所 Cereal Crops Institute,Henan Academy of Agricultural Sciences | 紫黑色 Purple black |
2009 | 2009013 | 莱农糯10号 Lainongnuo 10 | 青岛农业大学 Qingdao Agricultural University | 浅紫色 Light purple |
2019 | 20190391 | 黑糯690 Heinuo 690 | 重庆市农业科学院 Chongqing Academy of Agricultural Sciences | 紫黑色 Purple black |
2019 | 20190384 | 晋糯20号 Jinnuo 20 | 山西大丰种业有限公司 Shanxi Dafeng Seeds Co.,Ltd. | 紫色 Purple |
2020 | 20200486 | 斯达糯44 Sidanuo 44 | 北京中农斯达农业科技开发有限公司 Beijing Zhongnong Sida Agricultural Science and Technology Development Co., Ltd. | 紫色 Purple |
2020 | 20200493 | 斯达31 Sida 31 | 北京中农斯达农业科技开发有限公司 Beijing Zhongnong Sida Agricultural Science and Technology Development Co., Ltd. | 紫黑色 Purple black |
2020 | 20200524 | 黑糯660 Heinuo 660 | 重庆市农业科学院 Chongqing Academy of Agricultural Sciences | 紫黑色 Purple black |
2020 | 20200525 | 珍珠糯8号 Zhenzhunuo 8 | 安徽省农业科学院烟草研究所 Tobacco Research Institute,Anhui Academy of Agricultural Sciences | 紫色 Purple |
2020 | 20200542 | 黑甜玉8号 Heitianyu 8 | 成都农业科技职业学院 Chengdu Agricultural College | 紫黑色 Purple black |
2020 | 20200544 | 黑糯715 Heinuo 715 | 重庆市农业科学院 Chongqing Academy of Agricultural Sciences | 紫黑色 Purple black |
1 | SILVA S, COSTA E M, CALHAU C, et al.. Anthocyanin extraction from plant tissues: a review [J]. Critical Rev. Food Sci. Nutr., 2017, 57(14): 3072-3083. |
2 | LAURA A C, JAY E H, JOHN A J. A natural colorant system from corn: flavone-anthocyanin copigmentation for altered hues and improved shelf life [J/OL]. Food Chem., 2020, 310(25): 125734 [2021-06-21]. . |
3 | NOMI Y, IWASAKI K K, MATSUMOTO H. Therapeutic effects of anthocyanins for vision and eye health [J/OL]. Molecules, 2019, 24(18):3311 [2021-06-21]. . |
4 | LEE Y M, YOON Y, YOON H, et al.. Dietary anthocyanins against obesity and inflammation [J/OL]. Nutrients, 2017, 9(10):1089 [2021-06-21]. . |
5 | CASSIDY A, MUKAMAL K J, LIU L, et al.. High anthocyanin intake is associated with a reduced risk of myocardial infarction in young and middle-aged women [J]. Circulation, 2013, 127:188-196. |
6 | YOLANDA S M, GRISELDA S S, DAVID R H, et al.. Characterization of anthocyanin extracts from maize kernels [J]. J. Chromatogr. Sci., 2005, 43(9):483-487. |
7 | WANG H, CAO G H, PRIOR R L. Oxygen radical absorbing capacity of anthocyanins [J]. J. Agric. Food Chem., 1997, 45:304-309. |
8 | NAKAYAMA T, SUZUKI H, NISHINO T. Anthocyanin acyltransferases: specificities, mechanism, phylogenetics, and applications [J]. J. Mol. Catalysis B: Enzymatic, 2003, 23:117-132. |
9 | DOONER H K, ROBBINS T P, JORGENSEN R A. Genetic and developmental control of anthocyanin biosynthesis [J]. Annu. Rev. Genet., 1991, 25:173-199. |
10 | PAOLO P, ANTONIA P, GARETH I J, et al.. Members of the c1/pl1 regulatory gene family mediate the response of maize aleurone and mesocotyl to different light qualities and cytokinins1 [J]. Plant Physiol., 2002, 128:1077-1086. |
11 | KENGO M, MARÍA I C, LORENA F F, et al.. A genome-wide regulatory framework identifies maize pericarp color1 controlled genes [J]. Plant Cell, 2012, 24: 2745-2764. |
12 | BISMA R, HAIQIANG C, JING W, et al.. Overexpression of maize ZmC1 and ZmR transcription factors in wheat regulates anthocyanin biosynthesis in a tissue-specific manner [J/OL]. Int. J. Mol. Sci. 2019, 20(22):5806 [2021-06-21]. . |
13 | CHANDLER V L, RADICELLA J P, ROBBINS T P, et al.. Two regulatory genes of the maize anthocyanin pathway are homologous: isolation of B utilizing R genomic sequences [J]. Plant Cell, 1990, 1:1175-1183. |
14 | CAREY C C, STRAHLE J T, SELINGER D A, et al.. Mutations in the pale aleurone color1 regulatory gene of the Zea mays anthocyanin pathway have distinct phenotypes relative to the functionally similar TRANSPARENT TESTA GLABRA1 gene in Arabidopsis thaliana [J]. Plant Cell, 2004, 16:450-464. |
15 | CHATHAM L A, WEST L, BERHOW M A, et al.. Unique flavanol-anthocyanin condensed forms in apache red purple corn [J]. J. Agric. Food Chem., 2018, 66(41):10844-10854. |
16 | 汪文忠.花青素在饲料上的应用探析[J].广东饲料,2017,26(4):30-31. |
17 | 周迪,王胤晨,田兴舟,等.花青素增强反刍动物抗氧化性能作用机制的研究[J].畜牧兽医学报,2019,50(8):1536-1544. |
ZHOU D, WANG Y C, TIAN X Z, et al.. Study of the mechanism of anthocyanins enhancing antioxidant capacity in ruminants [J]. Acta Vet. Zootechnica Sin., 2019,50(8):1536-1544. | |
18 | 宫硖, 杨凤萍, 薛静,等.花青素合成转录因子基因在玉米中的表达研究: 一种新型基因可视化跟踪表达系统[J].科学通报,2012,57(24):2285-2291. |
19 | 巴超杰,薛静,陈绪清,等.利用花青素可视化跟踪表达系统快速筛选表达 Cry1Ab/c基因的转基因玉米[J].植物学报,2013,48(1):59-64. |
20 | HE Y B, ZHU M, WU J H, et al.. Repurposing of anthocyanin biosynthesis for plant transformation and genome editing [J/OL]. Front. Genome, 2020, 2: 607982 [2022-06-21]. . |
21 | 徐丽,赵久然,卢柏山,等.我国鲜食玉米种业现状及发展趋势[J].中国种业,2020(10):14-18. |
22 | KATIA P, ROBERTO P, CHIARA T. Anthocyanins in corn: a wealth of genes for human health [J]. Planta, 2014, 240:901-911. |
23 | 蔡士兵.超黑糯玉米薪品种淮科糯2号[J].中国种业,2012(2):65. |
24 | 周素英.黑糯玉米新品种濉黑糯3号的选育及高产栽培技术[J].粮食作物,2010(8):137-138. |
25 | TIMOTHY A H, EDWINA C C. Genetics and biochemistry of ant hocyanin biosynthesis [J]. Plant Cell, 1995, 7:1071-1083. |
26 | LIU X Q, LI S Z, YANG W Z, et al.. Synthesis of seed-specific bidirectional promoters for metabolic engineering of anthocyanin-rich maize [J]. Plant Cell Physiol., 2018, 59(10):1942-1955. |
27 | LIU X Q, YANG W Z, MU B N, et al.. Engineering of ‘purple embryo maize’ with a multigene expression system derived from a bidirectional promoter and self-cleaving 2A peptides [J]. Plant Biotechnol. J., 2018, 16(6):1107-1109. |
[1] | 谭华强, 李丽平, 铁曼曼, 杨家勤, 郑晓云, 潘绍坤, 唐有万. 紫色辣椒花青素降解相关基因的挖掘与分析[J]. 中国农业科技导报, 2025, 27(9): 79-91. |
[2] | 史敏, 徐珍艳, 罗建. 基于学科交叉的未来产业识别研究[J]. 中国农业科技导报, 2025, 27(7): 10-19. |
[3] | 蒋国斌. 我国农业植物新品种保护现状与发展趋势分析[J]. 中国农业科技导报, 2025, 27(3): 1-11. |
[4] | 杨大兵, 胡亮, 杜雪树, 万丙良, 夏明元, 戚华雄, 李进波. CRISPR/Cas9基因编辑技术创制水稻雄性不育系的研究进展[J]. 中国农业科技导报, 2025, 27(3): 24-34. |
[5] | 贾倩, 叶飒, 张辉, 串丽敏, 赵静娟. 基于核心专利识别视角的作物生物育种核心技术研究[J]. 中国农业科技导报, 2025, 27(3): 35-48. |
[6] | 刘徐冬雨, 郭潇潇, 付晨青, 韩蕊, 李国辉, 王秀萍. 基于RGB和CIELab预测紫苏叶片花青素含量[J]. 中国农业科技导报, 2024, 26(7): 103-110. |
[7] | 顿国强, 吴星澎, 纪欣鑫, 张福利, 纪文义, 杨永振. 双摆盘式大豆小区排种器的仿真优化[J]. 中国农业科技导报, 2024, 26(6): 82-90. |
[8] | 翟虎渠, 曹兵, 顾爽, 夏志强, 夏志辉, 龚家建, 尹航, 李立, 李卫, 任杰. 电子加速器诱变育种材料进展初报[J]. 中国农业科技导报, 2024, 26(12): 210-216. |
[9] | 史亚兴, 董会, 徐丽, 樊艳丽, 刘辉, 史亚民, 俞嫒年, 高宁, 赵久然, 卢柏山, 王荣焕. 基于电子鼻和GC-IMS技术分析不同类型鲜食玉米的风味差异[J]. 中国农业科技导报, 2024, 26(11): 143-156. |
[10] | 杨皓森. 中国大豆生物育种产业化对贸易依存度的影响[J]. 中国农业科技导报, 2024, 26(11): 15-22. |
[11] | 韦海龙, 程乙, 宋碧, 邹军, 左晋, 李蕾, 张军, 刘代铃, 曾涛, 付敬锋, 魏盛. 不同播期下鲜食糯玉米籽粒灌浆特性及其与气象因子的关系[J]. 中国农业科技导报, 2023, 25(4): 45-55. |
[12] | 郭静利, 张宇宏, 盛彩娇. 有序推进我国生物育种产业化应用的对策与建议[J]. 中国农业科技导报, 2023, 25(12): 1-5. |
[13] | 卢柏山, 董会, 赵久然, 徐丽, 樊艳丽, 史亚兴, 王荣焕. 不同鲜食玉米品种适采期氨基酸含量分析[J]. 中国农业科技导报, 2023, 25(11): 132-142. |
[14] | 王帅, 宋伟, 王荣焕, 赵久然. 我国玉米生物学研究进展[J]. 中国农业科技导报, 2022, 24(7): 23-31. |
[15] | 孙正文, 谷淇深, 张艳, 王省芬, 马峙英. 棉花基因发掘与分子育种研究进展[J]. 中国农业科技导报, 2022, 24(7): 32-38. |
阅读次数 | ||||||
全文 |
|
|||||
摘要 |
|
|||||