Journal of Agricultural Science and Technology ›› 2024, Vol. 26 ›› Issue (9): 224-233.DOI: 10.13304/j.nykjdb.2022.0926

• BIO-MANUFACTURING & RESOURCE AND ECOLOGY • Previous Articles    

Effects of Microorganisms from Different Sources on the Composting Process of Grape Branches and Pig Manure

Jiping WANG(), Tiedong LU, Zhiheng LIANG, Ye ZHANG(), Tianming SU, Tieguang HE   

  1. Guangxi Key Laboratory of Arable Land Conservation;Agricultural Resources and Environment Research Institute,Guangxi Academy of Agricultural Sciences,Nanning 530007,China
  • Received:2022-10-28 Accepted:2022-12-26 Online:2024-09-15 Published:2024-09-13
  • Contact: Ye ZHANG

不同来源微生物对葡萄枝条猪粪共堆肥过程的影响

王吉平(), 卢铁东, 梁芷姮, 张野(), 苏天明, 何铁光   

  1. 广西壮族自治区农业科学院农业资源与环境研究所,广西耕地保育重点实验室,南宁 530007
  • 通讯作者: 张野
  • 作者简介:王吉平 E-mail:jpwang0110@163.com
  • 基金资助:
    广西壮族自治区农业科学院科技发展基金项目(桂农科2021JM53);广西壮族自治区农业科学院基本业务经费(桂农科2021YT038);科技先锋队“强农富民”“六个一”专项行动项目(桂农科盟202213)

Abstract:

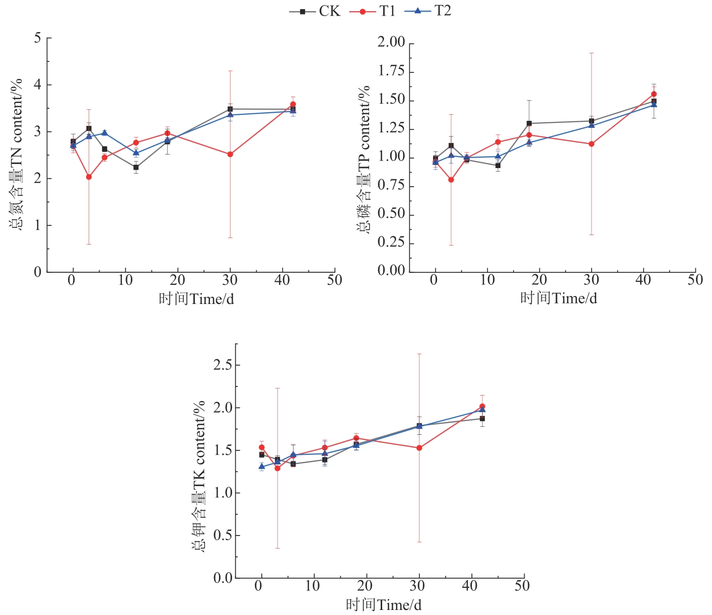
In order to explore the influence of microorganisms from different sources on the composting process of grape branch and pig manure, 3 treatments were set including no external microorganisms (CK), inoculated biogas slurry (T1), and inoculated microbial inoculum (T2). The temperature, moisture content, pH, electrical conductivity (EC), total nitrogen (TN), total phosphorus (TP), total potassium (TK), seed germination index (GI), bacterial and fungal communities were analyzed during the composting process to determine the key microbial in the composting process. The results showed that the temperature of T1 was higher than that of T2 treatment in the early stage of composting with over 45 ℃ at the 3rd day, and the maximum temperature all reached 60 ℃ in 3 treatments. The changes of moisture, pH, EC and nutrient content of compost in each treatment were consistent, and the contents of TN, TP and TK were 3.43%~3.59%, 1.46%~1.56% and 1.87%~2.02%, respectively. The moisture content, pH and EC of compost in T2 were higher than those in other treatments after composted. The germination indexes of CK and T1 treatment exceeded 70% on the 30th day, and reached the organic fertilizer standard faster than T2 treatment. The results of microbial community analysis showed that the relative abundance of Proteobacteria and Firmicutes exceeded 75% in the early stage, Firmicutes was the dominant phylum in the middle stage, and the relative abundances of Bacteroides and Deinococcus-Thermus increased in the middle and final stages, and their final proportions exceeded 20%. There were significant correlations between Firmicutes, Bacteroides, Deinococcus-Thermus and indicators of composting. The analysis of contribution degree showed that the total contribution degree of microbial community to composting was 33.90%, and the contribution degree of Gemmatimonadetes was 80.80%. Above results provided a reference for further research and screening of special antioxidant resistant microorganism inoculants.

Key words: grape branches, microorganism inoculants, biogas slurry, compost, microbial community

摘要:

为探讨不同来源微生物对葡萄枝条猪粪共堆肥过程的影响,以不添加外源微生物为对照(CK),分别设置接种沼液(T1)和微生物菌剂(T2)处理,分析不同处理堆肥过程中的堆体温度、水分、pH、电导率、总氮磷钾含量、种子发芽指数及细菌和真菌群落的变化情况,以确定堆肥过程中的关键微生物种类。结果表明,T1处理在第3天时堆体温度已超过45 ℃,较T2处理前期升温更快,3种处理的最高堆体温度均达到60 ℃。各处理堆肥的水分、pH、电导率和养分含量变化一致,总氮、总磷、总钾含量分别为3.43%~3.59%、1.46%~1.56%、1.87%~2.02%,其中,T2处理发酵结束后,堆肥的水分、pH和电导率较其他处理更高。堆肥过程中,CK和T1处理第30天物料的种子发芽指数超过70%,较T2处理更快地达到有机肥料标准。微生物群落分析表明,各处理堆肥发酵前期变形杆菌门和厚壁菌门的相对丰度超过75%;发酵中期厚壁菌门为优势菌群;发酵中后期拟杆菌门和异常球菌-栖热菌门的相对丰度上升,最终占比均超过20%。相关分析表明,厚壁菌门、拟杆菌门和异常球菌-栖热菌门3种细菌门类与堆肥各项指标呈显著相关。贡献度分析表明,微生物群落对堆肥的总贡献度为33.90%, 其中芽单胞菌门的贡献度达80.80%。以上研究结果为进一步研究筛选专用型耐受抗氧化物的发酵菌剂提供了参考依据。

关键词: 葡萄枝条, 微生物菌剂, 沼液, 堆肥, 微生物群落

CLC Number: