Journal of Agricultural Science and Technology ›› 2024, Vol. 26 ›› Issue (3): 146-154.DOI: 10.13304/j.nykjdb.2022.0826

• BIO-MANUFACTURING & RESOURCE AND ECOLOGY • Previous Articles     Next Articles

Effects of Microbial Agents on Leaf Vegetable Wastes During Composting

Furong CHEN1(), Weiyi XIONG2, Jiao YIN1, Xiaozhuo ZHANG3, Yu HAN1, Yishu DENG4()   

  1. 1.College of Resource and Environment, Yunnan Agricultural University, Kunming 650201, China
    2.R&D Center of Yunnan Yuntianhua Co. , Ltd. , Kunming 650228, China
    3.Kunming Nongjiale Compound Fertilizer Co. , Ltd. , Kunming 654110, China
    4.College of Architectural Engineering, Yunnan Agricultural University, Kunming 650201, China
  • Received:2022-09-29 Accepted:2023-01-11 Online:2024-03-15 Published:2024-03-07
  • Contact: Yishu DENG

微生物菌剂对叶菜废弃物堆肥过程的影响

陈芙蓉1(), 熊伟仡2, 尹娇1, 张小卓3, 韩宇1, 邓毅书4()   

  1. 1.云南农业大学资源与环境学院,昆明 650201
    2.云南云天化股份有限公司研发中心,昆明 650228
    3.昆明农家乐复合肥有限责任公司,昆明 654110
    4.云南农业大学建筑工程学院,昆明 650201
  • 通讯作者: 邓毅书
  • 作者简介:陈芙蓉 E-mail:2465118913@qq.com
  • 基金资助:
    云南省重大科技专项计划项目(202002AE320005)

Abstract:

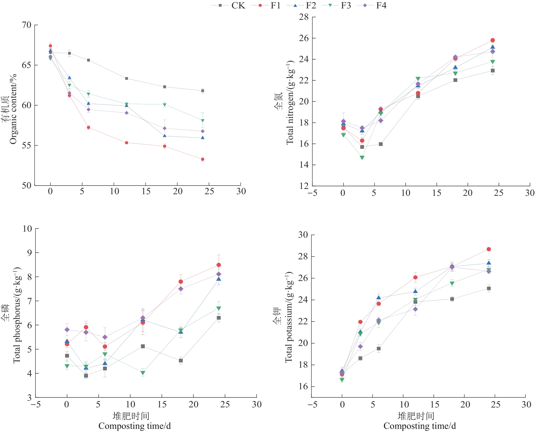
In order to study the influence of microbial agents on the dynamic changes among relevant physicochemical indicators in the process of composting leafy vegetable waste, leafy vegetable waste was used as the main material and corn straw as the auxiliary material, and 4 exogenous microbial agents, VT-1000, Qunlin fermenting bacteria, Reactor special strain 001 and SUKAAgre-C3009/C, were added for fermentation, with no added bacteria agent as control, and the relevant indicators were measured and analyzed for comprehensive comparison. The results showed that at 24 d of fermentation, all the piles reached complete decomposition, and the seed germination index(GI)of the treatment with the addition of bacterium was significantly higher than that of the treatment without the addition of bacterium, among which the pile with the addition of VT-1000 microbial agents had the highest GI of 113%. The piles with added bacterium could all warm up to above 60 ℃ at 2 d, and could maintain a high temperature period (≥50 ℃) for 6~8 d, 3~5 d more than without added bacterium, of which the highest temperature was 69.9 ℃ with the addition of VT-1000 microbial agents, and the high temperature lasted for 8 d, effectively solving the problem of high water content of leafy vegetables affecting the quality of compost. Combining the nutrient contents of each treatment showed that the organic matter degradation rate and total nitrogen content were the highest with the addition of VT-1000 bacterial agent, which were 21.0% and 25.8 g·kg-1, respectively. The application of self-made organic fertilizer with added VT-1000 microbial agents could significantly increase soil organic matter and total nutrient content, effectively improve soil physical and chemical properties, and the cost of self-made organic fertilizer was the lowest, which only about 1/10 of the other 2 fertilizers. Above results showed that the addition of microbial agent could promote compost maturation, increase the temperature of the pile, prolong the duration of the high temperature period, and improve the quality of compost. On the whole, the addition of VT-1000 microbial agents had the best effect.

Key words: leaf vegetable wastes, microbial agent, compost rotten, composting quality

摘要:

为研究微生物菌剂对叶菜废弃物堆肥过程中相关理化指标之间的动态变化的影响,以叶菜废弃物为主料,玉米秸秆为辅料,添加VT-1000、群林发酵菌、反应堆专用菌种001、SUKAAgre-C3009/C 共4种外源微生物菌剂进行发酵,以不添加菌剂为对照,测定相关指标并进行综合对比分析。结果表明,发酵第24天时,所有堆体均达到完全腐熟,添加菌剂处理的堆体种子发芽指数(germination index,GI)均明显高于对照处理,其中,添加VT-1000菌剂的堆体GI最高,为113%;添加菌剂的堆体在第2天均可升温至60 ℃以上,且可保持6~8 d的高温期(≥50 ℃),比对照组多3~5 d,其中,添加VT-1000菌剂的温度最高,达69.9 ℃,高温持续时间为8 d,有效解决了叶菜含水率高影响堆肥品质的问题;各处理养分含量分析表明,添加VT-1000菌剂处理的有机质降解率和全氮含量最高,分别为21.0%和25.8 g·kg-1。施用添加VT-1000菌剂的自制有机肥能显著提高土壤有机质和全效养分含量,可以有效改善土壤的理化性质,且自制有机肥的成本最低,仅为其他2种肥料的1/10左右。以上结果表明,添加微生物菌剂能促进堆肥腐熟,提高堆体温度,延长高温期持续时间,提升堆肥品质。综合来看,添加VT-1000菌剂的效果最好。

关键词: 叶菜废弃物, 微生物菌剂, 堆肥腐熟, 堆肥品质

CLC Number: